전기차 서스펜션과 댐퍼는 뭐가 다를까?

by SPECAL

서문: 서스펜션과 댐퍼란 무엇이며, 전기차에서 왜 중요한가?


오늘은 서스펜션을 다뤄볼 차례입니다. 사실 서스펜션과 댐퍼는 모든 자동차의 주행 성능, 승차감, 안전성을 결정짓는 요소로, 차량의 차체와 바퀴를 연결하여 도로로부터 발생하는 충격을 흡수하고, 안정적인 주행을 가능하게 하는 시스템입니다.

다운로드.jpg

이 구성요수 하나인 댐퍼(흔히 쇼바로 불림)는 서스펜션의 일부로서, 주행 중 발생하는 진동과 충격을 감쇠하여 차량의 흔들림을 억제하고, 승차감을 크게 향상하는 역할을 합니다.


이러한 댐퍼들도 단순히 기존의 것들을 사용하는 것이 아니라, 주파수감응형 능동형 등 다양한 형태가 개발되었죠 그럼 한번 가봅시다.


서스펜션과 댐퍼의 중요성


이전에 설명드린 적 있지만 전기차는 거대 배터리를 사용함에 따라 무게가 증가하고 무게중심이 변하는 등 기존과는 다른 설계를 해야 한다고 설명드렸습니다.

여기서 아이작 뉴턴이 정의한 고전역학 제1법칙인 ‘관성의 법칙’ 이 등장하는데, 간단하게 설명하자면 "힘이 가해져 상태가 변하지 않는 한 움직이는 물체는 계속 움직이려 하고, 멈춘 물체는 계속 정지상태를 유지한다"라는 법칙으로, 이는 멈춰있는 차를 달리게 하거나 달리는 차를 멈추려 할 때 에너지가 필요하다는 뜻이죠.

5.JPG


사실 차량이 무거워 짐에 따라 더 큰 에너지가 필요한 건 단점 아니냐라고 말씀하신다면 맞는 말씀입니다. 하지만 그로 인한 장점들도 존재하는대요 바로 NVH적 요소에서 이점이 있다는 겁니다. 조금 쉬운 말로 승차감이 좋다라고 표현해도 무방할 정도죠 무게에 따라 영향을 받으니 그만큼 변동성이 좋겠죠


문제는 이러한 무거운 차량들은 승차감이 한번 떨어지기 시작하면 계속 그 상태를 유지하려 하는 관성이 있기에, 기술적으로 최적화를 잘해야 한다 봐도 무방합니다. 그렇기에 전기차로 넘어옴에 따라 중요성이 더욱 부각된 것이죠


결론적으로 서스펜션은 스프링, 링크, 댐퍼 등으로 구성되며, 도로의 불규칙성으로부터 발생하는 진동을 제어함으로써 차량과 탑승자의 안전과 승차감을 보좌하는 기기라 봐도 무방합니다.


특히 댐퍼는 유체의 흐름을 제어해 스프링의 반발력을 조정하며, 차량의 진동을 효과적으로 흡수하기에 점점 더 고급기술이 사용되고 있는 실정이죠. 만약 서스펜션이나 댐퍼가 제대로 설계되지 않았다면, 차량은 충격 흡수 능력이 부족해 안정성을 잃거나, 지나치게 부드러워져 핸들링 성능이 떨어져 사고로 이어질 수 있으니까요.


전기차에서 서스펜션의 중요성이 커지는 이유


전기차 시대로 넘어오면서 왜 서스펜션이 더중요해 졌는데 라는 질문에 대해서 먼저 대답을 하고 갈까요? 이유는 다음과 같습니다.


배터리에 의한 하중 및 무게 배분

7ixN0l2oUXOZjjlD_tE5JJLFzChWBEfIK.jpg


전기차는 대용량 배터리가 차체 중앙 하단에 배치되는 구조입니다. 이는 차량의 전체 무게를 증가시키는 동시에 낮은 무게중심을 형성하고 이는 기존 차량의 무게중심과는 다른 형태로 나타나죠. 결국 이로 인해 서스펜션의 설계를 완전히 다르게 해야 한다는 겁니다. 더 큰 하중을 견디는 동시에 무게 중심의 이동을 제어해야 합사는 점에서 오히려 난이도가 올라간 것이죠. 특히 코너링이나 급가속 상황에서 서스펜션의 설계는 차량의 안전성과 핸들링 성능에 직접적인 영향을 미치기에 목숨이 걸려있는 상황에서는 반드시 연구가 필요한 겁니다.


NVH(소음·진동·불쾌감) 요구사항
여기서 또 구조이야기를 해볼까요? 전기차는 내연기관의 엔진 소음이 없는 만큼, 도로의 충격이나 타이어로부터 전달되는 진동, 그리고 바람 소음이 상대적으로 더 두드러지게 느껴집니다. 이는 조용하다는 강점이 있고 반응속도가 빠르지만 그에 대한 반작용으로 더 잘 들린다는 겁니다 숨겨주는 게 사라진 것이죠. 결국 이러한 소음을 최소화하기 위해 서스펜션과 댐퍼의 설계는 한층 정밀 져야만 했죠.


회생제동에 따른 하중 이동
뿐만 아니라 전기차의 강점인 회생제동은 제동 시 발생하는 에너지를 배터리에 다시 저장합니다. 문제는 이러한 회생제동은 기존의 내연기관 차량 제동 방식과는 다른 하중 이동 패턴을 발생시켜 서스펜션이 이를 효과적으로 대응해야 한다는 것이죠, 다른 방식의 진동이 나올 확률이 생겼다는 것 만으로 머리가 아픈 겁니다.


서스펜션 서스펜션 그러는데 대체이게 뭘까요? Suspension은 라틴어 "suspensio"에서 유래한 단어로, "매달다", "떠받치다", "유지하다"라는 의미에 수 출발한 개념입니다.


일반적으로 "어떤 물체를 지탱하거나 매달아 충격을 흡수하는 장치 또는 상태."라는 단어로 쓰이지만 자동차에서는 "차량의 차체와 바퀴를 연결하는 시스템으로, 도로 표면의 충격과 진동을 흡수하고 안정적인 주행을 가능하게 하는 장치." 정도의 정의를 가지고 있죠


원래는 토션빔부터 출발해서 멀티링크까지 세세하게 다뤄야 하지만 그런 기초이론들은 제 블로그를 참조해 주시길 바라며 뭐가 다르고 왜 달라지는지 한번 봐봅시다.


1. 서스펜션의 주요 구성 요소

img.JPG

지금 보시고 계신 건 맥퍼스 스트럿 서스펜션이라는 녀석입니다. 이론적으로 서스펜션은 크게 스프링, 댐퍼, 컨트롤 암, 스태빌라이저 바, 부싱 및 조인트로 구성되며, 결국의 차량의 승차감을 상승시키는데 목적을 두고 있죠 부품별로 봐봅시다.


(1) 스프링

네 우리가 아는 그 스프링입니다. 도로에서 발생하는 충격을 흡수하고, 차량 차체의 흔들림을 완화하는 녀석이죠 전기차에선 에어 스프링이 많이 사용되는데 아래와 같은 형상이 있다 정도를 이해하시면 됩니다.

433캡처.PNG


코일 스프링: 가장 일반적으로 사용되는 형태로, 콤팩트하면서도 다양한 차량에 적합

리프 스프링: 주로 상용차에 사용되며, 무거운 하중을 견딜 수 있음. 토션 바: 비틀림력을 이용하여 충격을 흡수하며, 일부 고급차나 스포츠카에서 사용됨.

에어 스프링: 공기를 이용해 높이와 강성을 조절할 수 있어 승차감이 우수. 고급 차량, 전기차에서 채택


(2) 댐퍼 (쇼바)


오늘 다룰 메인주제 쇼바입니다. 스프링의 반발력으로 인해 발생하는 지속적인 진동을 억제하여 차량의 흔들림을 최소화하는 장치로 이걸 이제 주파수 감응형으로 할 건지 능동형으로 할 건지가 중요하죠


내부 유체(오일)의 흐름을 제어하며, 오리피스(밸브)를 통해 감쇠력을 발생시키고, 실제 댐퍼의 감쇠 계수는 주행 조건에 따라 고정적(패시브) 일 수도 있고, 전자제어 방식(능동형)으로 조정 가능한데 비싼 차로 갈수록 능동형을 사용하고 사실상 전기차는 능동형을 쓴다 보셔도 무방합니다(아닌 것도 있긴 있어요)

다운로드 (2).jpg

현대차에서 공개한 자료인데 일단은 엄청난 기술이긴 합니다, 좀 더 가고 나서 이야기해 보죠.



(3) 컨트롤 암 (Control Arm)


바퀴의 위치를 정밀하게 제어하며, 차량의 조향 안정성과 충격 흡수 성능을 보조하는 역할로 서스펜션의 구조에 따라 A-암, 링크 암 등으로 구분되며, 재질로는 강철, 알루미늄, 복합 소재 등이 사용됩니다. 아마 서스펜션 구조를 찾아보시면 맥퍼스 스트랫기반 멀티링크라고말을 많이 합니다.

다운로드.png

이게 더블위시본이라는 건데 팔이 두 개라서 더블이라는 이름이 들어간 겁니다 그렇다면 멀티 링크는요?

다운로드 (1).png

말 그대로 팔이 여러 개 멀티링크라는 의미입니다. 일반적으로 전기차는 후륜에 더 강한 하중이 강해지기에 보통 후륜에 더 강한 서스펜션을 사용하곤 합니다. 한번 스펙표를 봐보시면 후륜은 멀티링크 전륜은 듀얼링크나 맥퍼슨만 사용한 경우가 있을 거예요 아니면 전륜에는 맥퍼슨 후륜에는 더블위시본 이런 조합으로 가능 경우도 있고요


(4) 스태빌라이저 바 (Stabilizer Bar) , 부싱 및 조인트

스태빌라이저 바는 차량의 롤링(코너링 시 차체가 기울어지는 현상)을 방지하여 안정성을 유지하는 역할을 합니다. 또한 부싱과 조인트는 서스펜션의 각 부품을 연결하고, 진동과 충격을 흡수하며 소음을 줄이는 녀석입니다.


여긴 이론적으론 중요하지만 오늘의 메인스트림에선 벗어나니 이런 게 있다 정도만을 알고 넘어가죠


서스펜션의 모델링과 계수에 대해서 궁금하시다면 나중에 풀어드리겠지만 일단은 큰 메인스트림 중심으로 가보죠


댐퍼의 기초 이론

사실 모든 구성품이 전부다 영향을 끼치고 각도에 따라 유기적으로 조절을 해야 하는 건 사실입니다. 하지만 그중에서도 핵심은 댐퍼로 위에서 설명한 진동학과 동역학의 기본 원리를 활용하여 차량의 움직임을 제어하는 장치죠, 사실 여기서 댐퍼는 진동 감쇠라는 역할이 가장 중요한 건데, 그냥 충격감쇄효과가 있다 이해하셔도 문제는 없습니다.

_- visual selection.png


실제로 이러한 형태로 감쇄를 하는데 실제 어떤 이론을 가지는지 한번 봐보시죠


1. 질량-스프링-댐퍼 시스템

댐퍼의 기초 이론은 질량-스프링-댐퍼 시스템(Mass-Spring-Damper System)으로 표현됩니다. 이는 2차 미분방정식으로 설명되며, 차량의 서스펜션 시스템을 이상적으로 모델링한 것입니다.


실제 미분방정식의 이론적 표현은 다음과 같고

2damper_equations.png

질량(m): 차량 차체의 무게를 대표.

스프링(k): 서스펜션 스프링으로, 차량이 도로 충격을 받았을 때 복원력을 제공합니다.

댐퍼(c): 쇼바로서, 스프링의 복원력을 제어하며 진동 에너지를 소산 시킵니다.

c: 댐핑 계수 (Ns/m, 단위 시간당 소산 되는 에너지)

k: 스프링 상수 (N/m, 변형에 따른 복원력)

x(t): 시간 t에서의 변위 (m)

F(t): 외부에서 가해지는 힘 (N)

이 방정식을 통해서 산정하죠 결국 외부 충격 F(t)에 의해 발생하는 차량의 진동을 어떻게 감쇠시키는지 이러한 지배방정식 하에서 설명하는 겁니다.


2. 댐퍼의 주요 파라미터


2.1 댐핑 계수(Damping Coefficient, ccc)

위에서 설명한 대로 댐핑 계수는 댐퍼의 에너지 소산 능력을 나타내며, 시스템의 진동을 얼마나 빠르게 억제할 수 있는지를 결정합니다. 결국 이를 산정할 때도 3가지 댐핑 계수에 따라 시스템의 응답을 나눕니다. 한번 보실까요?


과댐 핑(Overdamped)

진동이 매우 느리게 감쇠, 주행 중 안정성은 높지만 승차감은 떨어짐


임계댐핑(Critical Damping)

최적의 댐핑 상태, 진동을 가장 빠르게 감쇠시킵니다. 차량 서스펜션 설계 시 목표로 하는 상태입니다.


소댐핑(Underdamped)

진동이 느리게 줄어들며, 차량의 흔들림이 길게 지속됩니다. 승차감이 저하, 안정성 문제가 발생가능


1d39d94066516199bedfc15960bbee2e.png


대충 이런 그래프 느낌으로 소댐핑일 때는 진동을 하고 임계 일 때는 저런 느낌에 가깝다고 이해하시면 됩니다.

물론 이건 2차 시스템과 선형시스템에 대한 이해가 있어야 정확하지만 우선은 이 정도만 다룹시다.

이걸 고려하는 시스템을 우선 간단하게만 봐보죠


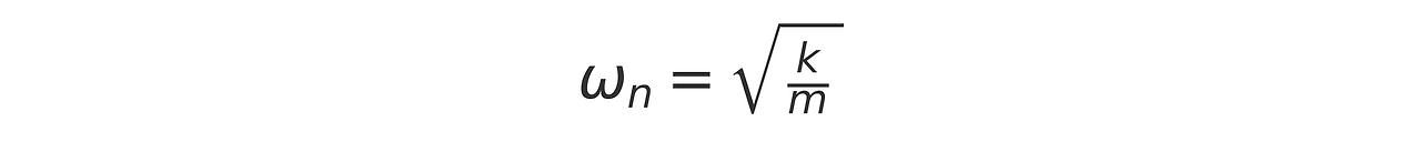
2.2 고유 진동수(Natural Frequency, ωn)

고유 진동수는 시스템이 자유 진동할 때의 주파수로, 다음과 같이 정의됩니다.

damper_equations.png


ωn결국 이 전체 시스템의 진동 특성을 결정하며, 설계 시 이를 고려해 외부 충격에 대한 응답성을 최적화하는 역할을 하죠 쉽게 말해 시스템이 가지는 고유 물성치라 이해하셔도 무방합니다.


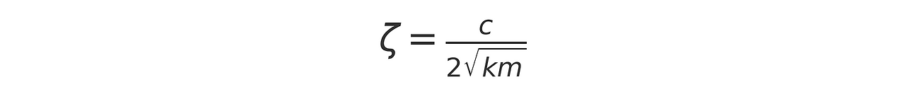
2.3 감쇠비(Damping Ratio, ζ)

감쇠비는 댐핑 계수가 고유 진동수에 비례하여 얼마나 큰지를 나타내는 지표로, 다음과 같이 정의됩니다

3damper_equations.png

결구이 감쇠비에 따라 시스템의 전체 방향성이 결정되는 거고 ζ가 1일 때 임계댐핑, 0~1일 때 소댐핑 상태를 나타냅니다. 너무 높으면 그 거대로 문제고 너무 낮아도 문제니 말 그대로 적정값을 찾아야 하는 것이죠


3. 댐퍼의 감쇠력 생성 메커니즘

종류마다 다르지만 일단 댐퍼는 유체(주로 오일)의 흐름 저항을 통해 감쇠력을 생성합니다. 유압식일 경우에는요 한번 봐볼까요?


압축 스트로크(Compression Stroke) 차량이 충격을 받을 때 피스톤이 아래로 눌리며, 유체가 피스톤 밸브를 통해 이동. 이 과정에서 유체 흐름 저항이 발생하며, 감쇠력이 생성


리바운드 스트로크(Rebound Stroke) 스프링이 원래 길이로 복원되며, 피스톤이 위로 이동, 유체는 리바운드 밸브를 통해 반대 방향으로 흐르며, 추가적인 감쇠력을 제공


이 두 가지 스트로크를 통해 댐퍼는 차량의 진동을 지속적으로 제어합니다.


결국 이러한 이론하에 원리를 다루는 것이죠


전 세계의 전기차들은 어떤 댐퍼를 사용하고 있을까요?


j1r48c8tzr0ps19.png

실제로 테슬라는 고급 트림에서 전자 제어 서스펜션을 사용하고 , 실시간으로 노면 상태를 분석하고 감쇠력 하는 ai까지도 활용하고 있습니다.


BMW는 마그네토레올로지 댐퍼를 사용하는데, 사실 자기를 활용했다는 이름으로 고급스럽게 붙인 거지 전자식이죠 얘들은 자기 이름 붙이는 걸 좋아하니까요, 아우디는 e-Tron에 주파수 감응형 전자식 댐퍼고


현대 아이오닉 5, 기아 EV6 등의 보급형 전기차는 유압식 주파수 감응형 댐퍼를 적용 제네시스 라인에는 전자식 적용하고 있습니다.


좋습니다 그럼 우리가 알아야 하는 건 기초적인 댐퍼 이후의 전자식 댐퍼와 주파수감응형 댐퍼겠네요 한번 이 부분에 대해 이야기해 보죠


주파수 감응형 댐퍼의 원리

다운로드 (2).jpg

주파수 감응형 댐퍼(Frequency Dependent Damper)라곤 하지만 뭐 완전히 새로운 건 아닙니다. 보통 이렇게 2 층형으로 만드는데 차량이 주행하면서 노면에서 발생하는 진동의 주파수를 기준으로 댐퍼의 감쇠력을 동적으로 조절하는 기술이죠. 이 댐퍼는 특정 주파수 대역(저주파수, 고주파수)에 따라 차량의 승차감과 안정성을 최적화하기 위해 설계되었습니다. 어느 정도로 차이가 나냐고요?

1캡처.PNG

국내 제조사인 만도에서 공개한 자료 중 일부인데 꽤나 유의미할 정도로 노면별 소음이 감소함을 알 수 있죠


주파수 감응형 댐퍼의 핵심 개념


1.1 작동 원리

1.1.1 유압식 주파수 감응

유압식 댐퍼는 밸브 시스템을 이용하여 진동 주파수에 따라 유체 흐름을 조절합니다.

낮은 주파수(저속 충격)에서의 작동 피스톤이 천천히 움직이며, 내부 유체가 밸브를 통해 상대적으로 쉽게 흐릅니다. 감쇠력이 작아져 차량이 부드럽게 노면 충격을 흡수하여 승차감을 향상합니다.

높은 주파수(고속 진동)에서의 작동 피스톤이 빠르게 움직이며, 밸브가 유체 흐름을 제한하여 더 큰 저항력을 생성합니다. 감쇠력이 증가하여 차량의 흔들림을 억제하고 안정성을 유지합니다.

이 과정은 댐퍼 내부의 밸브와 유체 특성에 의해 수동적으로 결정되는 것이죠 결국 이걸 전자식으로 제어하면 전자식 유압을 통해 밸브에 따라 상황별 제어해라고 하면 유압식 감응형 댐퍼에 가까운 겁니다.


전자식 프리뷰 서스펜션 개념

d63c09ca5da949eb859d1c9e6810144a (1).jpg


현대차에서 공개한 자료로 130km까지 앞에 있는 걸 제어해 예상후 알아서 댐핑계수를 조절하는 기술입니다.

솔레노이드 밸브의 저항을 1,000분의 1초 간격으로 연속 조절해 감쇠력을 제어하는 방식을 사용하고 있는데 사실 그만큼 연산능력을 적용해야 하기에 빡빡하지만 이런 기술들이 예술에 가까운 거죠 댐퍼로만 조절하는 것이 아니라

f28a38b15d8d47bcaa0f6977f2227c9f.jpg

서스펜션 전체에서 가장 유리한각도로 시나오로 조절한다 보시면 됩니다.

승차감은 확실히 올라가겠지만 그만큼 비싸겠죠? 그래서 현대차 제네시스 라인 혹은 테슬라 모델 S와 모델 X는 어댑티브 에어 서스펜션라는 이름으로 들어가 있는 기술입니다.



참고문헌

[1] 미리 보고 대처한다, 제네시스 GV80의 ‘프리뷰 전자제어 서스펜션’

[2] 아이오닉 6의 이상적인 승차감은 어떻게 탄생했을까?

[3] 경희대학교 산학협력단. (2012). 전기자동차용 경향화 서스펜션 모듈개발 (최종보고서). 중소기업청.

[4] 인게이지. (2010). CAR. DAMPER. SHOCK ABSORBER. AMPLITUDE SELECTIVE DAMPER. DAMP'G FORCE (최종보고서). 중소기업청.

keyword
이전 01화전기차 감속기 해부분석(테슬라, 포르쉐, 벤츠)