서당개 3년이면 풍월을 읊던가?

읊더라. 멍.

by 꾼kkun

드디어 서당개 글을 쓴다. 서당개 3년이면 풍월을 읊는다는 말이 있다. 진짜일까?


일단 이 속담은 글을 배우는 서당(書堂)에 사는 개가 글을 읊는 소리를 들으며 3년동안 생활하면, 그 개도 흥취나는 시구절이나 글귀인 풍월(風月)을 할 수 있더라 하는 소리다. 해석하자면 개처럼 아무것도 모르는 사람도 꾸준히 3년간 하다보면 어느정도의 레벨이 된다는 뜻이다. 비슷한 말로는 1만시간의 법칙이 있겠다.


꾸준히 하다보면 되더라.


이 속담에서의 포인트는 특정 환경에 오래 노출되면 그 환경의 특성을 배우고 익히게 된다는 점이다. 타고난 능력보다는 환경과 경험의 중요성을 말하고 있는 것이다.

당연한 말이지만 속담은 사람을 '개'로 비유하여 이야기 하고 있다. 사실 속담의 배경이 된 이야기에서 '서당개'는 개로 변환 용왕의 아들이라는 말이 있고 이 용왕의 아들이 서당에서 글을 읊는 것을 3년을 들었더니 학문을 깨우쳐 돌아갔다는 이야기가 있다. 진짜 개가 풍월을 읊었다는 것은 어디서도 찾아볼 수 없다.


하지만 문득 궁금해지는 건 어쩔 수 없다. 진짜 개도 그럴 수 있을까?

일단 그 전에 서당개 이야기를 나름대로 해석해보도록 하자. 배경이 되는 이야기를 잊어버리고, 진짜 개(Dog)를 대입하자.

서당개는 직접적인 훈장의 훈련 아래 학습을 하지 않는다. 서당의 아래 앉아 글 읊는 소리를 듣는다. 다시 말하자면 환경에 의한 간접적인 경험이라 할 수 있고, 그 경험을 통해 학습을 한다고 할 수 있다.


반복적인 글 읊는 소리 = 환경에 의한 경험

풍월을 읊는다. = 학습 후 응용


이를 증명하기 위해서 정말 서당 개 3년차인 개를 데려다가 풍월을 읊게 하는 게 가능했다면 얼마나 쉬울까. 안타깝게도 개의 구조상 연필이나 붓을 쥐고 한자한자 글을 써내려가는 것은 여간 힘든 일이 아니다. 구강구조상으로 비슷한 소리를 낸다 해도 사람처럼 똑똑한 발음을 구사할 수 있는 것도 아니고.


그래서 오늘 살펴볼 논문은 2가지로, 2011년 행동실험과 2024년의 사운드보드를 이용한 언어사용 실험이다. 일단 결론만 말하자면 '개도 풍월을 읊더라.'



Can your dog read your mind? Understanding the causes of canine perspective taking(2011)


먼저 첫 번째 논문을 살펴보자.

우리는 이 논문을 통해서 특정 환경과 그 곳에서 얻는 경험이 개의 사회적 인지 능력 발달에 영향을 미친다는 것을 실증적으로 볼 수 있다. 환경에 장기간 노출됨으로써 이 환경과 관련된 능력을 습득할 수 있다는 것이다.


일단 논문에서 가지고 있는 배경은 다음과 같다.

1. 개는 사람의 시선의 유무에 따라 다른 행동을 취한다.
- 사람이 자신을 바라보고 있다면 먹이를 달라고 하고, 그렇지 않으면 하지 않는다.
- 이러한 연구를 바탕으로 개가 사람의 의도를 파악할 수 있다는 가설을 세웠다.
' 사람의 의도를 파악하고 이를 바탕으로 행동한다. '
2. 개가 사람의 의도를 파악하는 것이 아니라, 외부 단서나 연상 학습을 통해 반응는 것일 뿐이다.
- 사람이 자신을 바라보고 있지 않는 순간 먹이를 받지 못한다는 조건반사를 배운 것이 뿐이다.
' 학습으로 인한 행동의 결과일 뿐이다.

이를 바탕으로 논문에서는 개과 종인 Canis(개, 늑대 포함)의 인간의 의도를 파악하는 행동을 보이는 원인이 무엇인지를 찾았다. 이를 위해 다음의 두개의 가설들을 비교하여 검증했다.


1. 가축화 vs 경험/환경

2. 종 vs 환경


먼저 개가 이러한 능력을 보이는 것이 가축화 과정으로 인한 과정에서의 진화 결과인지, 아니면 개별 동물이 살아온 환경과 경험을 통해 학습된 결과인지를 비교 검증했다. 그리고 이 결과를 바탕으로 종의 차이와 사육 및 생활 환경 중 어떤 것이 더 큰 영향을 미치는 지에 대하여 비교 조사하여 원인을 파악하고자 했다.


요약하자면, 이 논문은 개가 인간의 마음을 읽는 것처럼 보이는 행동의 기원을 파헤치고, 그 능력이 타고난 가축화 특성인지 후천적인 학습과 환경의 산물인지, 그리고 어떤 요인이 더 결정적인지를 밝히는 것을 목적으로 실험을 진행했다고 생각하면 된다.


실험 그룹은 총 4개로 늑대, 애완견(실내테스트), 애완견(실외테스트), 유기견으로 구분되었으며 두 명의 실험자들은 시야를 가리지 않고 실험 객체에 집중하는 쪽, 시야를 가린 쪽으로 나누었다. 이때 시야를 가리는 방법은 등을 돌리기, 책으로 얼굴 가리기, 양동으로 머리 가리기, 카메라로 눈을 가리기 총 4가지 방법을 사용했다.

13420_2011_34_Fig1_HTML.gif A: 사전 훈련 절차, B: 거리를 측정 한 후 실험, C: 정답에 대한 보상

1. 실험체에게 실험에 참가한 두 사람이 간식을 가지고 있다는 것을 알려주기

2. 동일한 거리 유지, 설정한 조건 시행.

3. 시야를 가리지 않고 객체를 바라보는 이를 정답으로 설정하고 정답을 고르면 그에 대한 간식 보상

조건 별로 총 10회 시행.



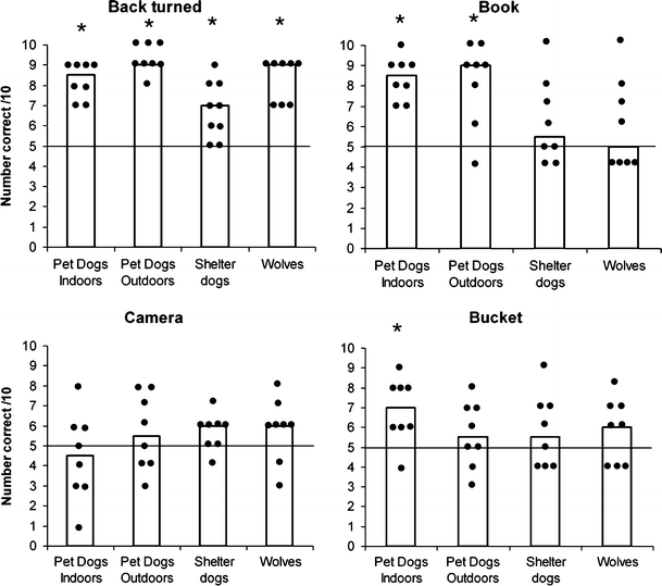
13420_2011_34_Fig2_HTML.gif 실험1에서의 과제 수행 결과

실험 1에서의 과제 수행 결과를 그룹 및 조건별로 나타낸 것이다. 순서대로 등을 돌린 것, 책으로 얼굴을 가린 것, 카메라로 눈을 가린 것, 양동이로 얼굴을 가린 것이다. 그래프 안의 점은 그룹안의 8마리의 개체가 10번 중 각각 몇번의 정답을 맞췄는지를 기록했고, 그 평균값을 내어 막대 그래프로 표현했다. 또한 우연하게 선택했을 경우를 5로 놓고 이를 기준으로 유의미하게 높은 값을 가장 위에 *표시를 했다.


그럼 각 조건별로 결과를 살펴보도록 하자. 먼저 등을 돌린 경우이다.

모든 집단이 통계적으로 우연보다 유의미하게 높은 성공률을 보였으므로, 등을 돌리는 행동이 모든 개과 동물에게 비교적 명확하게 무관심 신호로 받아들여질 수 있다고 해석할 수 있다.

다음은 책으로 얼굴을 가린 경우이다.

이는 등을 돌린 경우와는 다르게 실내 반려견과 실외 반려견만이 높은 성공률을 보였다. 유기견과 늑대의 경우 우연 수준의 결과를 보였으므로, 반려견들이 책으로 얼굴을 가리는 행동과 관련된 특정 경험을 통해 학습했을 가능성을 보인다.

카메라로 가린 경우는 모든 집단이 우연 수준의 성공률을 보였다.

이는 카메라의 크기가 작아 주의를 끄는 자극으로서 덜 두드려졌거나, 사람이 카메라를 들어 얼굴을 가리는 것이 먹이 획득과 관련하여 일관된 의미를 갖지 않았기 때문이라고 할 수 있다.

마지막으로 양동이로 가린 경우이다.

전반적으로 무든 집단의 성능이 낮았으나, 실내 반려견만이 통계적으로 우연보다 유의미하게 높은 성공률을 보였다. 이는 침팬지를 대상으로 한 이전 연구에서 양동이나 안대로 시야를 가렸을 때 성능이 낮았던 결과와 유사하므로 사람이 양동이를 머리에 쓰는 상황과 관련된 경험이 부족하기 때문일 수 있다고 할 수 있다.


이 실험은 늑대와 개 모두 인간의 주의 상태에 대한 민감성을 보이지만, 이는 가축화만으로는 설명되지 않음을 보여준다. 늑대와 개의 수행 능력이 사용된 시각적 단서와 생활 환경에 따라 달랐고 이는 익숙한 단서와 환경에서의 경험이 중요함을 보여주었다.


이 실험에 더하여 연구자들은 양동이 조건의 실험의 연장선을 진행했는데, 이는 수행 능력 향상과 선택지에 따라 학습 속도의 차이가 있는지를 알기 위함이다.

실험은 첫 실험에 참가하지 않은 애완견 10마리와, 첫 번째 양동이 실험에 참여한 늑대 8마리를 대상으로 진행되었다. 앞선 실험과는 다르게 최대 20회까지 진행했으며, 실험군의 절반은 정답을 양동이를 쓰지 않은 사람을 선택하는 것으로, 나머지 절반은 양동이를 쓴 사람을 선택하는 것으로 나누어 진행했다(애완견 5마리, 늑대4마리 씩).

13420_2011_34_Fig3_HTML.gif 실험2의 결과, 막대그래프형

이 그래프는 최대 20번의 시도 내에서 이전 10번의 시도 중 8번 이상 정답을 충족한 개와 늑대의 수를 나타낸다. 더 설명하자면, 모든 개체가 20번을 시행한 것이 아니라, 마지막 시행한 실험에서 앞까지 10회 중 8번 이상 정답을 충족하면 실험을 종료하는 것이다. 그림으로 표현하자면 다음과 같다.

스크린샷 2025-05-22 123702.png

앞서 말한 것처럼 실험은 2그룹으로 나누어 진행했다. 먼저 머리에 양동을 쓰지 않은 사람에게 다가갔을 때 보상을 받은 그룹은 총 9마리 중 개5마리 늑대1마리가 기준을 충족했다. 반면 머리에 양동이를 쓴 사람에게 다가갔을 때 보상을 받은 그룹은 총 9마리 중 개 1마리만 기준을 충족했다.

이는 개와 늑대 모두 보상을 받을 때, 머리에 양동이을 쓴 사람에게 다가가는 것보다 쓰지 않는 사람에게 다가가는 것을 더 빨리 학습했음을 보여준다.

연구진은 이러한 결과가 가정 환경에서의 이전 학습 경험인 '시야를 가리지 않고 주의를 집중하는 사람에게 보상을 받은 경험'이나 학습 편향과 관련이 있을 수 있다고 설명한다. 이는 가축화로 인한 진화의 산물 보다는 학습 및 환경적 요인이 이러한 사회적 인지 능력에 더 큰 영향을 미침을 시사한다.


따라서 이 논문은 개의 사회적 인지 능력이 단순히 타고난품종 특성뿐만 아니라 개체가 어떤 환경에서 어떤 경험을 하며 자라는지에 따라 크게 달라진다는 것을 보여주는 것이다. 다시 말하자면 속담에서 말하고 있는 말인 환경적 노출과 경험을 통한 학습 및 능력 습득이라는 원리가 개과에도 적용된다는 것을 보여준다.



Soundboard-trained dogs produce non-accidental, non-random and non-imitative two-button combinations(2024)

이제 다음 논문을 살펴보도록 하자. 2024년 발표된 논문은 개들이 사운드보드를 눌러 소통한다는 내용의 논문이다. 실제로 개들이 언어를 조합하여 만든다는 것이 속담에서 말하는 풍월을 읊는다는 말과 비슷하다고 볼 수 있다. 인간과의 의사소통이라는 상호작용이 되는 환경 속에서 학습을 한 개가 본인이 원하는 의미를 사운드보드를 통해 표현하는 것이다.


사용된 장치는 사운드보드(Augmented Interspecies Communication, AIC장치)이며, 이를 누르는 반려견들의 행위가 우연적이거나, 무작위거나, 보호자들의 행동을 모방하는 것이 아니라, 의도적인 행동인지를 확인하는 과정을 거쳤다. 연구는 모바일 애플리케이션을 통해 데이터를 수집하여 해석하는 방법으로 이루어 졌으며, 최소 200회 이상의 상호작용 기록이 있는 개들만을 선별하여 분석했다. 최종적으로 얻은 데이터는 152마리의 개로부터 얻은 194,901건의 개가 사운드보드를 누르는 행위이다. 각 버튼은 사정에 정의된 68개의 광범위한 개념범주로 분류했다.


연구자들은 총 3가지의 질문에 답하기 위해 데이터 분석을 시행했다.

1. 개가 누르는 버튼이 주인이 누르는 버튼을 그냥 따라 한 것인가? - 주인 행동 모방
2. 개가 여러 버튼을 누르는 것은 무작위적인 것일까, 패턴이 존재할까? - 무작위 또는 의도 파악
3. 실제 개가 버튼을 조합하여 누르는가?

먼저 개가 단순히 주인 행동을 모방하여 버튼을 누르는 것인가?에 대한 분석 결과를 살펴보자.

연구팀은 각 개마다 주인이 특정 버튼을 얼마나 자주 눌렀는지, 그리고 개가 그 특정 버튼을 얼마나 자주 눌렀는지를 비교했다. 예를 들어 주인이 Food버튼을 얼마나 자주 눌렀는지, 개가 Food버튼을 얼마나 자주 눌렀는지. 단순히 주인 행동을 모방하는 것이라면 주인이 Food버튼을 자주 눌렀다면 개도 동일하게 Food 버튼을 자주 누를 것이기 때문이다.

이를 위해 베이지안 음이항 회귀 모델(Bayesian negative binomial model)을 사용하여 R로 구현하였다. 이는 개가 버튼을 누르는 것과 주인이 버튼을 누르는 것 사이에 연관성이 적다는 것을 보여주었고, 이는 개들이 보호자의 행동을 단순히 반복하는 것이 아님을 보여준다.


그렇다면, 개가 여러 버튼을 누르는 방식은 무작위적일까? 아니면 특정한 패턴이 있는 것일까?

연구팀은 개가 여러 버튼을 연속해서 누른 경우 두 버튼 사이의 연결을 일종의 '네트워크'로 설정했다. 즉 각각의 버튼을 점으로, 연속된 것을 그 점을 잇는 선으로 표현한다. 그리고 이 네트워크가 얼마나 무작위적이지 않은지를 계산하는 '무작위성 지수(Randomness Index)'를 사용하여 분석하였다. RI값이 -1에 가까우면 구조화된 네트워크를 의미하고, 0에 가까워지면 무작위적인 네트워크를 의미한다.

개가 아무 생각 없이 무작위로 버튼을 누르게 된다면 어떤 버튼 조합이든 나올 확률이 비슷하거나 예측 불가능한 상태가 될 것이다.

41598_2024_79517_Fig2_HTML.png 실제 네트워크와 무작위성 네트워크 무작위성 지수 비교 분석 결과

연구자들은 실제 개들이 만들어낸 네트워크의 RI를 측정 분포도를 기입하고 동시에 무작위로 생성한 네트워크의 RI를 측정하여 분포도를 만들어 두 가지를 비교하였다.

실제 네트위크의 경우 -0.84정도의 -1에 가까운 최빈값을 가지며 패턴이 무작위적이지 않고 특정 구조를 가지고 있음을 보여주었으며, 반면 무작위로 생성된 네트워크의 경우 -0.14정도의 0에 더 가까운 최빈값을 가지고 있음을 보여주었다. 물론 모든 개가 동일하게 패턴을 보인 것은 아니고 어느 정도의 변동성이 존재하지만, 이러한 분포를 무작위로 생성된 네트워크와 비교했을 때 다르다는 것을 볼 수 있다.

즉 개들이 버튼을 누르는 것은 우발적이나 무작위적인 행동이 아니라 적어도 어떠한 패턴에 따라 의도적으로 버튼을 선택하여 누른다고 할 수 있다.


그렇다면 모든 개들을 통틀어 보았을 때는 어떨까? 위는 각 개체에게 초점을 맞추었다면 이번에는 모든 개가 누른 두 버튼 조합을 '개념' 수준에서 모아서 보았다. 이는 특정 '개념'의 조합이 우연보다 더 자주 나타날까 하는 의문에 대한 답으로 사용되었다.

만약 개들이 사운드보드 레이아웃이나 버튼 위치와 상관없이 의미에 기반하여 조합을 만든다면, 어떤 개념 조합은 여러 개에게서 공통적으로 더 자주 나타날 수 있을 것이다. 반대로 우연히 눌린 것이라면 특정 조합이 전체적으로 두드러지기는 어려울 것이다.

41598_2024_79517_Fig3_HTML.png 개들이 누른 버튼 컨셉 조합을 집단 수준에서 시각화 한 것.

각 원은 버튼, '특정 개념'을 나타내며, 원의 색은 버튼이 단독으로 눌린 총 횟수를 의미한다. 이 원들을 연결하는 선은 두 가지 개념 버튼이 연달아 눌린 컨셉 조합을 나타낸다. 색과 두께는 조합이 발생한 총 횟수를 의미합니다. 둘 모두 노란색이 될 수록 더 자주 많이 사용되었음을 알 수 있다.

결국 이는 개들이 임의의 두 버튼을 무작위로 누르는 것이 아니라, 특정 컨셉 조합을 다른 조합보다 더 자주 선택한다는 것을 보여준다. 예를 들어면 Food 와 go outside는 단독으로도 자주 눌리지만, 둘의 조합도 매우 빈번하게 발생한다는 것을 알 수 있다. 이는 개별 개들의 사운드보드 구성이나 레이아웃이 다름에도 불구하고, 집단 수준에서 특정 컨셉 조합에 대한 선호도가 존재함을 시사한다. 이는 개들의 버튼 누름이 단순한 우발적 행동이나 무작위적인 탐색이 아닌, 어떤 의도나 연관성에 기반한 행동일 가능성을 보이고 있다.

특히, 'OWN NAME' + 'WANT' 조합은 개별 개념 버튼(OWN NAME, WANT)은 자주 눌리지 않았음에도 불구하고 비교적 자주 나타난 조합 중 하나로 개들이 자신의 이름과 원하는 것을 연결하여 표현하려는 시도라 해석할 수 있다.


따라서 이 논문에서는 개들의 환경으로 부터 학습한 언어를 단순히 모방하는 것에 그치지 않고 의도를 가지고 응용하는 것을 보이며, 이는 서당개가 서당의 환경으로 학습을 하여 응용하여 풍월을 읊는다는 해석을 할 수 있다.


References

1. Udell, M.A.R., Dorey, N.R. & Wynne, C.D.L. Can your dog read your mind? Understanding the causes of canine perspective taking. Learn Behav 39, 289–302 (2011). https://doi.org/10.3758/s13420-011-0034-6

2. Bastos, A.P.M., Houghton, Z.N., Naranjo, L. et al. Soundboard-trained dogs produce non-accidental, non-random and non-imitative two-button combinations. Sci Rep 14, 28771 (2024). https://doi.org/10.1038/s41598-024-79517-6




후기

1. 다음은 도핑과 스포츠 약물에 대한 이야기를 써보려고 합니다.

2. 생각보다 정리해서 논증하는 게 어렵네요. 오래 걸리고.

3. 글쓰기 실력이 늘기를 바라며....