제곱근을 이미지로 나타내기

수학개념을 이미지화 할 수 있다

by 박달나무

루트2, 루트3, 루트7을 작도할 수 있습니다. 작도를 통한 수(數)의 이미지화는 중요하고 효과적인 학습입니다.

124CC2354ECC3F2F367A1D

루트5의 경우는 아래 그림과 같습니다. 1과 2를 수직관계로 작도하고 끝 점을 이으면 루트5의 선분이 작도됩니다.왜 그런지는 학생들이 모두 이해하고 있습니다.

187D7D3A4ECC531E02B506

루트5를 작도하는 색다른 방법을 고민해봅시다.

16464E354ECC3F2F39D704
190964354ECC3F30023E19
144443354ECC3F3038475D
130AD7354ECC3F30018042

위 그림은 아래 문제에서 가져온 것입니다.

154D42364ECC53B107DD2F

한 변이 20인 정사각형 안에 노란색칠한 정사각형의 넓이는 얼마인가?

한 명 제외하고 모두 모르거나, 아예 사고 작동을 시도하지 않는 눈치입니다. 100이라고 말하는 경우는 생각했다는 증거입니다. 눈대중으로 노란 정사각형은 전체의 1/4로 보이기도 합니다.

1253C74E4ECC558931E99C

이처럼 정사각형은 작은 정사각형이 십자가 모양으로 붙어있는 모양과 넓이가 같습니다. 그러므로 노란 정사각형은 전체의 1/5 이고, 정답은 80.

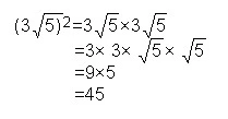
같은 문제에서 정사각형 한 변의 길이만 바꾸었습니다. 노란색 정사각형 넓이는?

20038F384ECC56201D5919
1858894C4ECC571C2C3FF2

일단 대부분 큰 정사각형 넓이가 45라는 것을 계산하지 못합니다. 계산한 친구는 정답이 9라고 대답합니다.

그럼에도 불구하고 노란 정사각형의 한 변 길이를 물을 때 한참을 머뭇거립니다. 이런 현상은 단지 사고 작동이 일어나지 않는 것을 말합니다. 수학을 못하는 것과 크게 다릅니다. 그래서 강의식 수업이 거의 실패한다고 평소에 말하는 것입니다.

특히 수학은 멘토링 수업(1:1 수업)을 하면 대부분 성공하지만 강의를 통한 성공은 기대하기 어렵습니다.
keyword