brunch

팔라티노스, 혈당 케어부터 체지방 감소까지!

설탕 대체의 모든 것



%ED%81%AC%EA%B8%B0%EB%B3%80%ED%99%98CK_cb117005985.jpg?type=w1

설탕을 대체할 건강한 단맛을 찾는다면 주목해야 할 성분이 있다.


그 주인공은 바로 팔라티노스!


팔라티노스는 설탕보다 천천히 흡수되어 혈당 케어에 도움을 주고, 체지방 감소와 지속적인 에너지 공급까지 가능하게 한다.


특히 공복 운동 시 적절한 에너지원으로 활용되며, 건강한 라이프스타일을 추구하는 사람들에게 좋은 선택이 될 수 있다.


팔라티노스는 설탕과는 어떻게 다를까? 팔라티노스는 설탕을 대체할 수 있을까? 지금부터 자세히 알아보자.


팔라티노스란?
제목 없음-1.jpg

팔라티노스란 천연 벌꿀에도 소량 존재하는 천연 유래 저혈당 감미료로, 설탕보다 약 5배 느리게 소화·흡수된다.


덕분에 혈당이 급격히 오르는 것을 억제하고, 신체와 두뇌에 지속적인 에너지를 공급하는 특징이 있다. 팔라티노스는 충치를 유발하지 않아 구강 건강에도 좋다.


팔라티노스 효능

1. 지속 가능한 에너지 공급

ㄹㄹㄹㄹ.jpg 마우스 혈액 내 포도당의 변화

팔라티노스는 천천히 분해되어 장시간 에너지를 제공한다. 빠르게 혈당을 올리는 설탕과 달리, 꾸준한 에너지 방출이 가능해 공복 운동이나 장시간 활동할 때 유용하다.


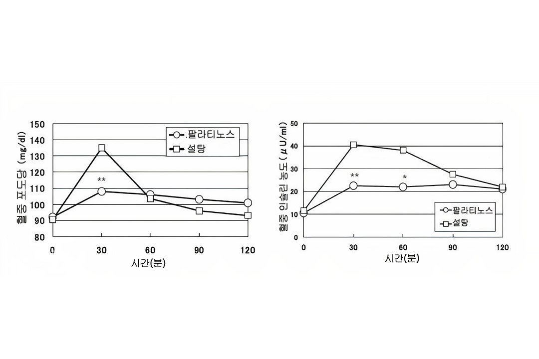
2. 혈당 조절

ㅇㅇㅇㅇ.jpg 팔라티노스 섭취 후의 혈당치와 혈중 인슐린 농도의 경시 변화

팔라티노스는 급격한 혈당 상승을 방지하는 데 도움을 주기 때문에, 혈당 케어가 필요한 사람들에게 적합하다. 특히 당뇨병 환자들에게 긍정적인 영향을 줄 수 있다.


3. 구강 건강 지원

DFD.jpg 탄수화물에 의한 우식 스코어 비교

팔라티노스는 일반 설탕과 달리 충치를 유발하는 박테리아의 활동을 억제해 구강 건강에 도움이 된다.


4. 체중 관리

제목 없음-S.jpg 팔라티노스 배합당에 의한 내장지방 축적억제 효과

팔라티노스는 GI(혈당지수)가 낮아 혈당을 천천히 올려 포만감을 유지하는 데 도움을 준다.


또한, 저항성 탄수화물로 작용해 체지방 감소에도 긍정적인 영향을 미칠 수 있다.


연구 결과에 따르면, 팔라티노스를 섭취한 경우 내장 지방의 축적이 억제된다는 것이 확인되었다.


누가 팔라티노스를 섭취하면 좋을까?

CK_cm080701708.jpg
CK_yay7793346.jpg
CK_pc0020366536.jpg
CK_cb036148813.jpg

혈당 케어가 필요한 사람: 팔라티노스는 당뇨병 환자 및 혈당 조절이 필요한 사람들에게 유용하다.

운동선수 및 에너지 보충이 필요한 사람: 장시간 운동 시 지속적인 에너지 공급이 가능하다.


체중 관리를 원하는 사람: 팔라티노스는 혈당을 천천히 올려 포만감을 유지하고, 체지방 감소에도 도움을 줄 수 있다.


구강 건강을 신경 쓰는 사람: 팔라티노스는 충치 예방 효과가 있다.


장 건강이 약한 사람: 팔라티노스는 장내 미생물 균형을 맞추는 데 도움을 준다.


팔라티노스 부작용 및 주의 사항

CK_cm08382023.jpg
CK_yaytg1408296.jpg

팔라티노스는 일반적으로 안전하지만, 과다 섭취 시 주의가 필요하다.


과다 섭취 시 위장 불편감: 소화 과정이 느려 과도하게 섭취하면 설사나 복통을 유발할 수 있다.


당뇨병 환자 주의: 혈당 조절 약물을 복용 중이라면 전문가와 상담 후 섭취하는 것이 좋다.


알레르기 반응 가능성: 드물지만 피부 발진이나 가려움증이 발생할 수 있다.


혈당 케어부터 체지방 감소, 구강 건강, 에너지 부스터까지!


설탕을 대체할 건강한 단맛을 찾고 있다면, 팔라티노스를 고려해 보자!



출처

슬로우 칼로리, 팔라티노스, ㈜네오크레마 김재환


위 내용은 건강 정보에 관한 내용으로 특정 상품과 관련이 없습니다. 본 매거진의 저작권은 ㈜ 익스트림에 있습니다.


blog_bottom.jpg




keyword
매거진의 이전글크레아틴 정말 운동 수행 능력 향상에 도움이 될까?