brunch

10. 부등식과 신을 능가하는 무한

무한, 그리고 더 큰 무한

by 솔찬 이규봉

인간은 유한 신은 무한


인류가 생긴 이래로 나약한 존재인 인간은 자연의 위대함을 알면서 신에 의지하게 됐다. 강력한 자연에 두려움을 갖고 있는 인간은 인간의 능력을 훨씬 뛰어넘으면서 만물을 지배할 수 있는 그 무언가가 필요했다. 그래서 인간은 신을 찾았고 만들었다. 인간이 처한 자연환경에 따라 다양한 신들이 존재했다. 기성 종교가 생기기 전에는 태양이라든가 동물 또는 자연의 형태를 숭상했다.

성경에 의하면 “태초에 말씀이 있었다.”라고 한다. 구약성서에 근본을 둔 유대교가 생기면서 신은 오직 한 분이 되었다. 다양한 신을 믿던 사람들에게 오직 신은 하나뿐이라는 유일신 사상이 나타났다. 이것을 이어받은 종교가 기독교와 이슬람교이다. “태초에 말씀이 있었다.”는 사실 여부를 떠나서 무조건 이 말을 믿는 것처럼 인간은 오직 믿음으로서 신을 대할 뿐이다. 신은 존재 하지만 볼 수도 만질 수도 따질 수도 없기 때문이다.

어떠한 종교를 믿든 공통적인 점은 인간은 유한하고 신은 무한하다는 것이다. 유한한 인간은 자신들의 방법으로 신을 대하려 한다. 유한한 인간은 절대 살아서 신을 만날 수 없다. 바벨탑을 쌓아 신에게 가까이 가려했지만 소용이 없었다. 인간은 유한한 존재, 신은 무한한 존재. 아무리 발버둥 쳐도 인간은 신에게 가까이 갈 수는 있을지언정 절대 만날 수는 없다. 단지 마음으로 느낄 뿐이다.

인간의 삶은 유한하고 신은 영원히 산다. 그러므로 인간들이 사는 세상을 유한한 세상이라 하고 신들이 사는 세상을 무한한 세상이라고 해도 큰 무리가 없다. 수학도 유한과 무한을 다룬다. 일상생활에서 사용되는 셈은 모두 유한한 것으로 볼 수 있다. 그러나 무한히 많은 것은 유한한 것과 그 성질이 매우 다르다. 유한한 것을 인간의 세상으로 보고 무한한 것을 신의 세상으로 보자.


자연수와 짝수의 크기가 같다고?


당근이 10개 있고 말이 10마리 있다고 하자. 이 둘은 서로 다르지만 수학적으로 같은 것이 있다. 그것은 각각의 개수가 서로 같다는 것이다. 당근의 수도 10, 말의 수도 10이다. 말 하나에 당근 하나씩 주면 남는 것 없이 모든 말에게 먹일 수 있다. 이러한 경우 그 둘의 개수는 같다고 한다. 하지만 말이 15 마리이면 5마리가 먹지 못한다. 이러한 경우 당근의 수가 말의 수보다 적다고 하거나 또는 말의 수가 당근의 수보다 크다고 한다.

즉 각각의 수가 유한개인 경우 하나씩 짝지어서 서로 남는 것이 없이 딱 떨어지면 두 수는 같다고 하고, 한쪽이 남으면 남은 쪽의 수가 다른 쪽의 수보다 더 크다고 한다. 이와 같이 두 집합 간에 하나에 하나씩 모두 짝 지울 수 있으면 두 집합은 일대일 대응이라 하고, 일대일 대응이 되는 두 집합은 원소의 개수가 서로 같다고 한다.

유한의 세계에서는 전체가 아닌 그 부분은 항상 전체보다 그 수가 적다. 예를 들면, 남녀가 섞여 있는 학급에서 남학생만 모으면 항상 그 수는 학급 전체 학생 수보다 작다. 그러므로 유한의 세계에서는 전체가 아닌 그 부분을 전체에 일대일 대응시킬 수 없다. 그러나 무한히 많은 세계에서는 이러한 일이 일어나지 않을 수 있다. 수학자 칸토르(G. Cantor)는 무한을 아래와 같이 정의했다.


전체가 아닌 그 부분을 전체에 일대일 대응시킬 수 있으면 무한이라 한다.


예를 들어보자. 우리는 자연수가 무한히 많다고 한다. 우선 자연수는 무엇인가? 간단히 말하며 자연수에 속하는 1을 기준으로 하나를 더하면 역시 자연수가 되는 집합니다. 그걸 아라비아 숫자를 사용하여 1, 2, 3, … 이라 한다. 이러한 자연수를 유한하다고 한다면 자연수 중에서 가장 큰 수가 있을 것이다. 그러나 그 가장 큰 수에 1을 더해도 그 수는 자연수이고 더구나 가장 큰 수보다 더 크니 가장 큰 수라는 것에 모순이 된다. 즉 아무리 큰 자연수를 택해도 그보다 더 큰 자연수가 항상 존재하니 자연수는 무한할 수밖에 없다. 자연수가 무한하다면 칸토르가 정의한 것처럼 자연수 전체가 아니면서 그 수가 자연수 전체의 수와 같은 자연수의 부분이 분명 존재해야 한다. 그런 것은 얼마든지 있다.

예를 들자. 자연수 전체를 N이라 하고 짝수 전체를 E라고 하자. 분명 짝수는 자연수 전체가 아닌 자연수의 부분이다. 그러나 자연수와 짝수 사이에는 일대일 대응을 맺을 수 있다. 어떤 자연수를 택해도 그것을 두 배하면 짝수가 된다. 어떤 짝수를 택해도 그것을 반으로 나누면 자연수가 된다. 그러므로 자연수와 짝수 사이에는 일대일 대응이 존재한다.

10=2 일대일.jpg


따라서 짝수는 자연수와 같지 않은 부분이지만 자연수 전체와 일대일 대응이 된다. 그러므로 자연수는 무한이다. 자연수가 무한이므로 자연수와 일대일 대응을 하는 짝수 역시 무한이다. 그러면 자연수의 개수와 짝수의 개수는 누가 더 큰가? 이 물음에 답하기 위해 이제 수학의 용어이면서 친숙한 집합이라는 단어를 사용하자.

집합은 확실한 대상의 모임이라 할 수 있다. 두 집합의 원소의 개수가 같다는 것은 두 집합 사이에 일대일 대응이 있을 때라고 했다. 모든 자연수 n에 대해 하나의 짝수 2n이 존재하고, 모든 짝수 n에 대하여 n/2을 대응시킬 수 있으므로 자연수와 짝수 간에는 일대일 대응이 된다. 그러므로 두 집합의 개수는 서로 같다. 따라서 짝수는 분명 자연수 전체가 아니면서 자연수에 포함되지만 그 개수는 서로 같다. 마찬가지로 홀수의 개수도 자연수와 같다.

이와 같은 일은 유한의 세계에서는 결코 일어날 수 없다. 유한의 세계에서는 전체가 아닌 부분은 반드시 전체보다 작기 때문이다. 그러나 무한의 세계에서는 유한의 세계에서 일어날 수 없는 일이 일어난다. 즉 전체가 아닌 부분이 반드시 전체보다 작다고 할 수는 없다는 것이다. 같을 수도 있다는 것이다.


무한은 이상한 세상


무한의 세계에서는 다음과 같은 일도 일어날 수 있다.


“어느 날 밤늦은 시간에 여행객이 '빈 방 없음‘이라고 불 밝힌 호텔에 들어가 방이 있는지 물었다. 주인은 ’ 미안하군요. 빈 방은 없어요. 하지만 잠시 기다려보세요. 어쩌면 방을 내드릴 수 있을지도 모르겠군요.‘라고 말했다. 그러면서 주인은 각 방에 있는 손님들에게 그들의 방을 옆방으로 옮겨달라고 방송했다. 즉 1호실은 2호실로, 2호실은 3호실로.... 그리고는 주인은 손님에게 1호실을 내주었다.”


방이 유한개만 있는 호텔이라면 이러한 일은 결코 일어날 수 없다. 위와 같이 방이 무한히 많은 호텔을 힐베르트(Hilbert) 호텔이라고 한다.

로마의 황제이자 철학자였던 마르쿠스 아우렐리우스는 “무한은, 그 속으로 모든 것이 사라져 가는, 알 수 없는 심연이다.”라 하였고, 레오나르도 다빈치는 “자기 자신을 드러내지 않으며, 만일 자기 자신을 드러낸다면 동시에 존재하지 않게 될 그것은 무엇인가? 그것은 무한이다.”라고 하였다. “어떤 것이 무한하다고 말할 때, 우리가 의미하는 것은, 다만 그것의 끝과 경계를 파악할 수 없다는 것일 뿐이다.”라며 토마스 홉스가 말했고, “무한은 한계 지울 수 없고 어둡고 경계 없는 바다이다.”라며 존 밀톤이 말했다.

유한의 세계에서는 가장 작은 수와 가장 큰 수가 존재한다. 기원전 500~428년에 살았던 아낙사고라스는 “가장 작은 수와 가장 큰 수는 존재하지 않는다. 다만 모든 수에 대해서 그보다 더 큰 수와 더 작은 수가 존재할 뿐이다.”라며 무한의 세계를 표현하였다.

기원전 4세기에 제논(Zenon ho Elea, BC490~430)은 무한에 관해 다음과 같이 말도 안 되는 주장을 한다. 이를 ‘제논의 역설’이라고 한다.


“그리스 신화의 영웅 아킬레스와 거북이가 달리기를 할 때, 거북이가 조금 앞에서 출발한다면 아킬레스는 거북이를 절대 따라잡을 수 없다.”


왜 이런 이해 못할 주장을 했는데도 아무도 반박을 하지 못했을까? 자 살펴보자. 아킬레스의 달리기 속도는 거북이보다 10배 빠르고, 거북이는 아킬레스보다 100미터 앞에서 출발한다고 가정하자. 아킬레스는 거북이의 출발지점까지 100미터를 빠르게 달려가지만 그동안 거북이도 10미터를 전진한다. 다시 아킬레스는 거북이를 추월하려 10미터를 달려가지만 그동안 거북이도 1미터를 전진한다. 또다시 아킬레스는 거북이를 추월하려 1미터를 달려가지만 그동안 거북이도 0.1미터를 전진한다. 이렇게 아킬레스가 계속 달리는 동안 거북이도 조금씩 전진하므로 둘의 간격은 점점 좁아지겠지만 항상 거북이는 아킬레스보다 앞서게 된다. 그래서 아킬레스는 거북이를 절대 추월할 수 없다.

실제로 아킬레스와 거북이가 함께 달린다면 비록 거북이가 더 앞에서 출발한다 하더라도 얼마 안 가 아킬레스는 분명히 거북이를 추월한다. 그러나 그 당시 사람들은 이러한 제논의 주장을 논리적으로 반박할 수 없었다. 현실과 주장이 정 반대이지만 제대로 반박할 수 없는 이러한 제논의 역설은 무한에 관한 두려움을 잘 나타내 준다.

이 역설을 2000년 만인 19세기에 들어와 수학적으로 반박할 수 있게 되었다. 당시만 해도 무언가를 계속 더하면 점점 더 커진다고만 생각했지 그것이 유한한 어떤 값으로 수렴한다고 생각을 하지 못했던 것이다. 그러나 양수를 무한 번 더했을 때 그 값이 무한이 아닌 유한할 수 있다는 것을 알게 되었다. 이것을 수학적으로 수렴한다고 한다.

아킬레스는 100미터를 10초에 달리니 거북이를 추월하기 위해 100+10+1+0.1+ … 미터를 달리는 동안에 시간은 10+1+0.1+0.01+ …초 걸렸다. 이 시간을 모두 합하면


10+1+0.1+0.01+ … = 10/(1-0.1)= 100/9


로 약 11초이다. 즉 달리기 시작한 지 11초가 지나면 아킬레스는 바로 거북이를 앞지르게 된다. 이때만 해도 무한합에 대하여 잘 몰랐던 것이다.

영(zero)이라는 단어는 ‘비어 있음’ 혹은 ‘공백’을 뜻하는 힌디어 쑨야(sunya)에서 유래했고, 기호 0은 870년에 만들어진 힌두인의 비문에서 처음 발견되었다고 한다. 무한을 뜻하는 기호 는 1655년 영국의 수학자 왈리스(John Wallis)에 의해 최초로 사용되었다. 기호 0은 출발점, 1은 우리가 사용할 단위 길이, 는 직선의 완전함을 나타낸다. 무한은 실수 체계에 속하지 않으며, 따라서 수량이 실수에 관련되는 것과 같은 의미로 실수와 관련될 수는 없다.

무한은 17세기 후반 뉴턴과 라이프니츠에 의해서 새롭게 발명된 미적분학의 핵심 요소가 되었다. 무한수열에서는 우리가 원하는 만큼 가깝게 거기에 접근하면서도 실제로는 거기에 절대로 도달하지 않게 되는 수를 극한이라 한다.

유한개를 계산할 때는 더하는 순서에 관계없이 항상 같다. 이것을 수의 결합법칙이라 한다. 그러나 무한개의 셈에서는 더하는 순서에 따라 그 결과 달라질 수도 있다. 1과 –1을 차례로 무한히 합한 1-1+1-1+1-1+1- …에서 그 결과는 어떻게 더하느냐에 따라 다음과 같이 달라질 수 있다.


(1-1)+(1-1)+(1-1)+(1-1)+…=0

1+(-1+1)+(-1+1)+(-1+1)+…=1


이와 같이 무한의 세상에서는 유한의 세상에서 일어날 수 없는 현상이 많이 일어난다. 무한은 정말 이상한 세상이다. 유한한 세상에 사는 인간이 신은 무한하다고 하는 것을 충분히 이해할 수 있다. 우리가 믿는 신을 중심으로 이보다 더 큰(위대한) 신으로 확장하기 어렵지만 수학에서 다루는 이러한 무한들은 확실하게 더 큰 무한으로 또 확장할 수 있다.


셀 수 있는 무한


무한의 체계를 처음으로 다룬 사람은 19세기의 칸토어이다. 칸토어는 실제적 무한을 이미 완성된 수학적 대상으로 수용했고, 이전까지의 지배적인 생각과는 반대로 오직 하나의 무한 만이 있는 것이 아니라 여러 종류의 무한이 있음을 보였다.

무한집합은 자신이 아닌 부분집합과 일대일 대응을 이룬다고 정의했다. 무한인 자연수와 일대일 대응을 맺을 수 있는 모든 집합을 셀 수 있는 집합(countable set)이라 하고 그 수를 X0로 나타냈다. 따라서 자연수와 짝수의 개수는 같으므로 자연수의 개수도 X0개이고, 짝수의개수도 X0개다. 그러면 정수와 자연수는 누가 더 많을까? 자연수와 정수 사이에 일대일 대응 관계가 성립하는지 알아보면 된다. 정수의 집합을 다음과 같이 나열하자.


0,1,-1,2,-2,3,-3, …


그렇다면 위의 정수는 순서대로 각각 자연수 1,2,3,4,5, 6,7,…과 일대일 대응을 맺을 수 있다. 그러므로 정수의 개수와 자연수의 개수는 둘 다 무한으로서 서로 같다. 정말?

유리수와 자연수는 누가 더 많을까? 1874년 칸토어는 유리수들이 매우 조밀함에도 불구하고 셀 수 있다는 사실을 발견하였다. 유리수란 정수를 0이 아닌 정수로 나눈 수이다. 집합으로 표시하면 {q/p | p, q는 정수, p≠0}와 같이 나타낼 수 있다. 다음과 같이 수를 나열하자.

10-3 유리수배열.JPG

위 배열에서 화살표와 같은 방식으로 수를 배열하되 경로가 이동하는 동안 이미 나왔던 유리수가 다시 나오는 경우는 한 칸씩 건너뛴다. 그러면 유리수는 분수로 표현되므로 모든 유리수를 하나씩 하나씩 전부 거치게 된다. 이런 방식으로 모든 유리수를 셀 수 있다. 그러므로 유리수도 자연수와 일대일 대응 관계가 성립한다. 그러므로 유리수의 개수도 자연수의 개수와 같다. 갈수록 태산?

무한한 수 X0에서는 유한한 수에서는 결코 성립할 수 없는 다음과 같은 등식이 성립한다.


1+ X0 = X0, X0 + X0 = X0, X0 x X0 = X0


이러한 사실을 처음으로 밝힌 칸토어도 믿을 수가 없어 1877년 데데킨트에게 보낸 편지에서 “나는 그것을 보고 있다. 하지만 도무지 믿을 수가 없다.”라고 했다. 이러한 사실을 믿습니까?


셀 수 없는 무한


모든 무한집합은 셀 수 있는 집합인가? 즉 자연수와 일대일 대응인가? 유리수는 조밀하게 매우 많지만 수직선 전체를 덮기에 충분히 많지는 않다. 즉 유리수를 수직선에 대응하면 모두 대응하고도 남는 구멍이 매우 많다. 이 무한히 많은 구멍을 무리수가 채워준다. 유리수와 무리수를 합하여 실수라고 한다. 실수는 소수로 표현이 가능한 모든 수를 모아 놓은 것으로 수직선과 일대일 대응을 이룬다. 직선 위의 점과 실수는 연속체를 이룬다고 한다.

무한한 직선 위에 있는 점의 개수와 유한한 선분 위에 있는 점의 개수는 같은가? 같다는 것은 두 집합 사이에 일대일 대응이 있다는 것이다. 아래 그림들은 각각 유한한 선분 AB 위에 있는 모든 점과 반원 위에 있는 모든 점들이 일대일 대응이고, 반원 위에 있는 모든 점들은 무한 직선 위에 있는 모든 점과 일대일 대응이 됨을 보여준다. 그러므로 무한한 직선 위에 있는 점의 개수와 유한한 선분 위에 있는 점의 개수는 같다.

10-4 선분.jpg 선분과 반원 위의 점은 그 수가 같다.
10-4 직선.jpg 직선과 반원 위의 점은 그 수가 같다.


선분 위에 있는 점은 셀 수 없이 많다. 그 수는 자연수의 수보다 큰가? 선분을 0부터 1까지 닫힌구간 [0, 1]이라고 하자. 그러면 0부터 1까지의 실수는 0부터 1까지의 모든 소수와 대응한다. 중복을 피하기 위하여 소수는 무한소수로 나타낸다. 즉 0.5=0.4999…처럼.

0부터 1까지의 모든 소수가 셀 수 있다고 가정하자. 이 뜻은 모든 소수를 하나씩 하나씩 하나도 빠짐없이 나열할 수 있다는 것이다. 이 소수를 숫자가 아닌 기호로 나타내자. 즉 첫 번째 소수는 0.a1a2a3…, 두 번째 소수는 0.b1b2b3… 등으로 나타내자. 그러면 나열한 소수는 모두 다음과 같다.

10-5 실수배열.JPG

소수가 셀 수 있다고 가정했으므로 0과 1 사이의 모든 실수는 위와 같이 나열할 수 있다. 그러면 다음과 같은 수 x를 만들어 보자.

x의 소수점 첫째 자릿수는 a1과 다르고, 소수점 둘째 자릿수는 b2와 다르고, 소수점 셋째 자릿수는 c3과 다르고 등등. 그 이하 자릿수도 같은 방법으로 다른 수를 가진다고 하자. 즉

10-5 실수.JPG

이렇게 만든 새로운 수 x는 0과 1 사이의 수이지만 앞서 나열한 어떠한 수 r_i와도 같을 수 없다. 즉 모두 나열했는데 새로운 수가 나왔으므로 이것은 가정에 모순이다. 따라서 0과 1 사이의 실수는 셀 수 있는 수가 아니다. 실수도 무한개이지만 자연수보다는 훨씬 더 큰 무한이다. 이와 같은 수를 셀 수 없는 집합(uncountable set)이라고 한다. 칸토어는 이러한 셀 수 없는 집합의 무한을 C로 표시했다. 즉 자연수(또는 유리수) 전체의 수의 크기보다 실수 전체의 수가 훨씬 크다는 X0<C이다. 따라서 무한집합에는 셀 수 있는 집합 외에 이 보다 훨씬 큰 셀 수 없는 집합도 있다.


더 큰 무한, 그리고 또 더 큰


자연수의 개수를 X0라 하고, 실수의 개수를 라 하였다. 그리고 X0<C 임을 보였다. X0보다 작은 무한은 없다. 짝수의 개수도 홀수의 개수도 정수의 개수도 그리고 유리수의 개수도 모두 X0이다.

칸토어는 주어진 집합의 모든 부분집합의 집합은 항상 원래 집합보다 더 많은 원소를 가진다는 사실을 보임으로서 C보다 더 큰 밀도를 가지는 집합을 발견했다. 예를 들어보자. A={a}이면 이 집합의 원소는 a 하나이나 부분집합은 공집합 ∅와 자신인 A로 두 개다. 만일 A={1,2}이면 이 집합의 원소는 1과 2 둘이나 부분집합은 공집합 ∅와 자신인 A 그리고 {1}과 {2}로 모두 네 개다. 즉 유한집합의 원소의 개수를 n이라고 한다면 그 집합의 부분집합은 모두 2^n개로 항상 부분집합의 집합이 항상 원래 집합보다 더 많은 원소를 가진다. 즉 모든 자연수 n에 대하여 n<2^n이다[수학 더 알아보기].

칸토어는 무한집합으로부터 그 집합의 모든 부분집합들을 생각함으로써, 그 집합보다 더 많은 원소를 가지는 새로운 집합을 만들어 내었다. 셀 수 있는 무한집합의 부분집합의 집합의 수는 2^X0이고 X0<2^X0임을 보였다. 따라서 i=0부터 X(i+1)=2^Xi라고 정의하면 순서가 있는 무한 X1, X2, X3 …을 계속 만들 수 있다.

원소의 수가 같은 두 집합은 일대일 대응을 맺을 수 있지만, 다른 원소의 수를 갖는 두 집합은 원소들 간에 일대일 대응을 맺을 수 없다. 그러므로


X1 < X2 < X3 < …


이 성립한다. 칸토어는 X1과 C가 같음을 증명하였다. 그러나 X0보다 크고 X1보다 작은 무한집합을 찾으려고 노력했으나 실패했다. 증명은 하지 못했으나 다음과 같은 가설을 내 세웠다. 이를 연속체 가설이라고 한다.


X0보다 크고 C보다 작은 밀도를 갖는 무한집합은 존재하지 않는다.


1910년 러셀(Bertrand Russell)은 “수학적 무한에 얽혀 있던 난점들을 해결했다는 것은 아마도 우리 세대가 자랑할 수 있는 가장 큰 성취일 것이다.”라고 말하였으며, 힐베르트는 “누구도 칸토어가 우리에게 만들어준 낙원으로부터 우리를 끌어낼 수 없다.”라고 했다. 하지만 당시 동료들의 엄청난 비판을 받은 칸토어는 정신병원을 들락거리며 1918년 세상을 떠났다.

1963년 칸토어의 추측인 연속체 가설은 참이면서 동시에 거짓임이 밝혀졌다. 어떤 가정에서 출발하느냐에 따라 참이 될 수도 있고 거짓이 될 수도 있다는 것이 증명되었다. 연속체 가설은 집합론의 공리와는 독립적이라는 사실도 밝혀졌다. 무한이란 유한 세상에서는 일어날 수 없는 일이 일어난다. 인간은 바벨탑을 쌓아 무한을 상징하는 신에게 도달하려 했으나 실패했다. 그래서 바벨탑은 신에 도달하려는 인간의 헛된 노력을 상징하기도 한다.

유일신을 믿는 종교에서는 오직 무한의 대상으로 한 분인 절대자만 존재한다. 그리스처럼 많은 신들이 있는 경우에는 신들의 신인 제우스가 있다. 수학은 유한은 물론이고 신의 영역에 속하는 무한을 다룬다. 그뿐 아니라 무한 위에서 또다시 그들보다 훨씬 더 큰 무한을 만들고, 이러한 과정을 무한 번 반복할 수 있으니 신학에서 말하는 신들의 개념이 초라해 보인다. 수학의 세상은 신학이 다루는 무대를 훨씬 능가한다.


유한 속의 무한


넓이는 유한이고 그 둘레는 무한인 도형이 있을까? 길이가 1인 선분이 있다. 이 선분의 가운데 1/3을 60도 위로 꺾어 올리고 그림처럼 잘린 부분을 삼각형 모양으로 같은 길이로 연결하자. 같은 방법으로 각 선분의 가운데 1/3을 꺾어서 삼각형 모양으로 각각 만든다. 이러한 과정을 반복하자. 다음 그림은 4단계까지의 도형이다.

10-6 코흐.jpg

위와 같이 만들어진 곡선을 코흐(Koch) 곡선이라고 한다. 코흐 곡선과 같은 도형의 길이는 반복할수록 그 길이가 커진다. 코흐 곡선의 처음 단계에서 한 변의 길이를 1이라고 하면 1번째 단계는 선분의 가운데 1/3을 삼각형 모양으로 올린 도형으로 전체의 길이는 4/3이고 똑같은 방법으로 2번째 단계의 길이는 (4/3)^2, 3번째 단계의 길이는 (4/3)^3, 4번째 단계의 전체 길이는 (4/3)^4가 된다. 이것을 반복하면 번째 단계에서 나온 도형의 전체 길이는 (4/3)^n이 되어 점점 길이가 늘어난다. n번째 단계의 코흐 곡선의 전체 길이는 (4/3)^n이므로 이것을 반복하면 4/3는 1보다 큰 수이므로 n이 클수록 점점 커져 그 도형의 길이는 무한에 가까워진다.

한 변의 길이가 1인 정삼각형의 각 변에 위와 같은 코흐 곡선을 그려보자. 이러한 도형을 코흐의 눈송이라고 한다. 코흐 곡선으로 둘러싸인 코흐의 눈송이는 그 둘레는 무한이지만 면적은 유한한 값을 갖게 된다.

10-5 눈송이.jpg

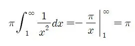
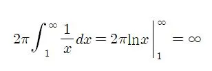
부피는 유한하고 표면적은 무한한 도형도 있다. 함수 f(x)=1/x, 1<x<∞를 x축을 중심으로 회전하여 생기는 회전체 부피는

10-7 부피.JPG

으로 유한하다. 그러나 표면적은

10-7 표면적.JPG

으로 무한대이다. 따라서 f(x)=1/x, 1<x<∞를 x축을 중심으로 회전하여 생기는 회전체의 내부는 유한한 양의 물감으로 채울 수 있지만, 그 표면에 색칠을 하려면 무한한 양의 물감이 필요하여 절대 일을 끝낼 수 없다.

keyword
작가의 이전글9. 디락 델타의 사형보다는종신노역형