철근콘크리트구조_03

RC보의 휨거동, 철근비, 휨설계

by ENEAS
본 글은 철근콘크리트구조 스터디를 위한 자료입니다.

철콘_03_1.png 철근콘크리트 보의 휨거동

철콘_03_2.png 휨파괴의 종류

철콘_03_3.png 휨파괴의 과정

철콘_03_4.png 철근의 평균 인장응력

철콘_03_5.png 철근콘크리트 휨설계의 기본사항

철콘_03_6.png 휨설계의 프로세스

철콘_03_7.png 단근보 예제 포물선_직선

철콘_03_8.png 최소철근비, 철근의 변형률과 강도저감계수

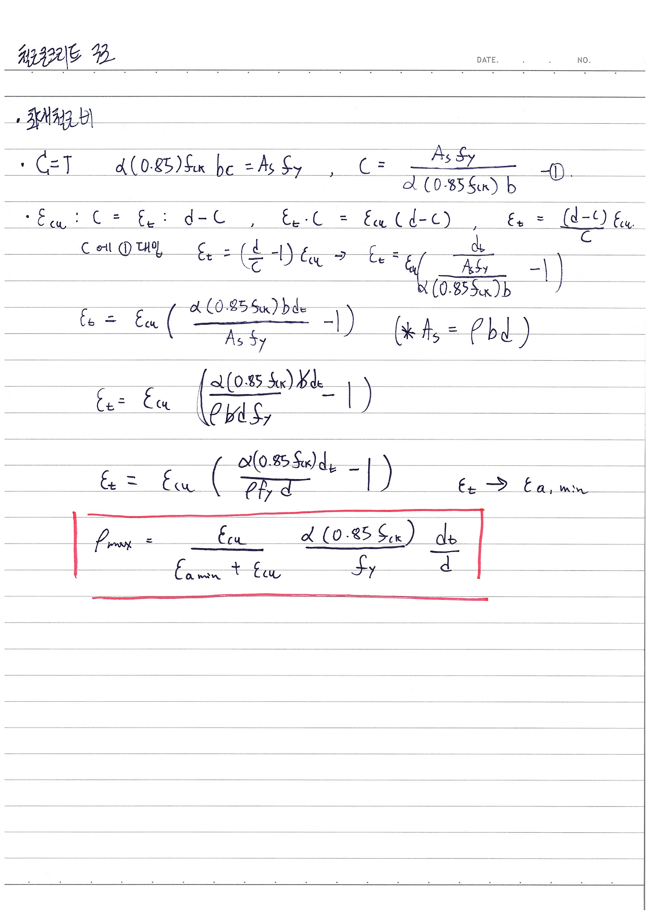
철콘_03_9.png 최대철근비

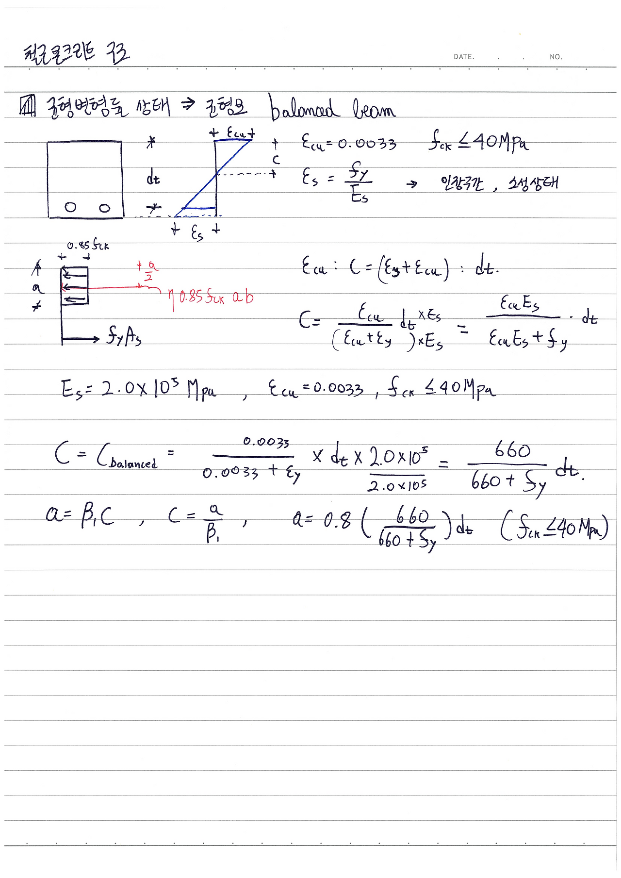
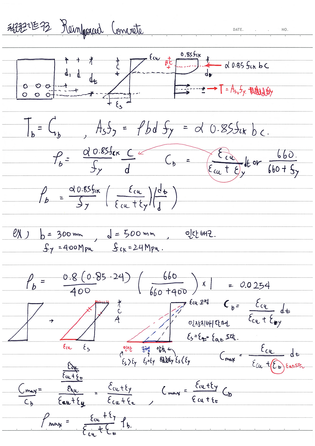
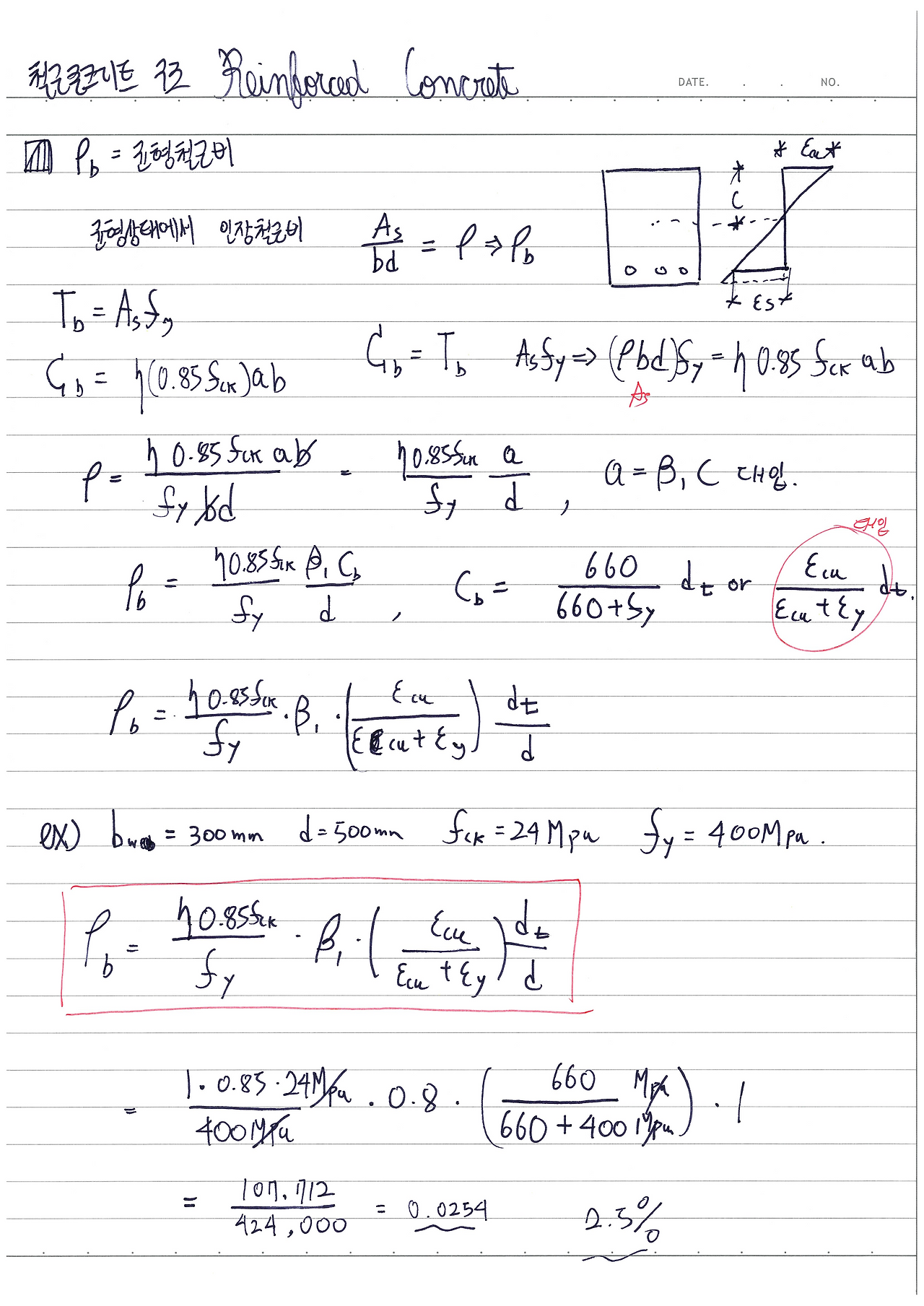
철콘_03_10.png 균형철근비

철콘_03_11.png 균형보

철콘_03_12.png 단근보의 해석 프로세스

철콘_03_13.png 균형철근비의 설계

철콘_03_14.png 복근보의 해석

철콘_03_15.png 복근보의 유도

철콘_03_16.png 철근콘크리트 구조의 응력


매거진의 이전글철근콘크리트구조_02