철근콘크리트구조_07

사용성 해석과 설계의 프로세스 정리

by ENEAS
본 글은 철근콘크리트구조 스터디를 위한 정리자료입니다.

철콘_07_1.png 사용성 해석의 이해

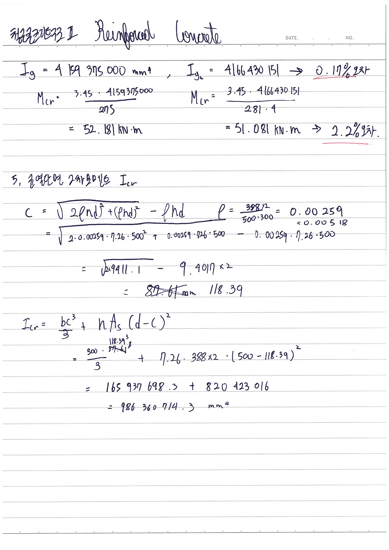
철콘_07_2.png 균열단면 2차모멘트

철콘_07_3.png 사용성해석의 프로세스

철콘_07_4.png 정산식과 약산

철콘_07_5.png 사용성 해석을 위한 언어 및 장기처짐

철콘_07_6.png 처짐을 계산하지 않는 경우 보 또는 1방향 슬래브의 최소두께


매거진의 이전글철근콘크리트구조_06