brunch

수학자들의 귀차니즘

성인용 수학 03

by 리나

물론 곱셈과 나눗셈을 왜 덧셈과 뺄셈보다 먼저 해야하는지를 알고 싶어서 하루종일, 한달내내, 몇년동안 지속적으로 고민했던 것은 아니다. 그 의문을 머리 한구석에 두고 뭔가 어떤 생각이 떠오를 때마다 한번씩 생각했던 정도였다.


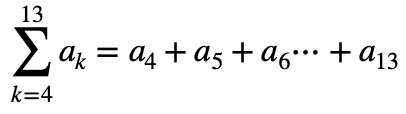
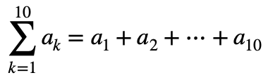
그렇게 책도 찾아보고, 고민도 가끔씩 해보고 하던 몇년 후에, 나는 고등학생에게 수열의 합을 가르쳤던 어느 날이었다. 사실 수열의 합을 시그마라고 하는 기호로 표현하는 것을 굉장히 어려워하는 사람들이 있는데, 사실 시그마 자체는 초등학생 정도의 이해력만 있으면 누구나 규칙을 알 수 있을 정도로 단순하다.


스크린샷 2020-11-09 오후 3.40.53.png
스크린샷 2020-11-09 오후 3.42.48.png


대충 이런 느낌? 잠깐만 생각해 보면, 시그마라고 하는 기호를 사용하는 규칙을 금방 이해할 수 있을 것이다. 무언가의 주욱 이어지는 합을 표현할 때, 시작과 끝을 나타내는 숫자를 아래와 위에 적어주는 것이다. 사실 시그마에 대한 내용은 이것이 가장 중요하긴 한데, 내가 이것을 가르치고 있었을 때 느낌은 바로 이것이다.


수학자들은 정말 귀찮은 것을 싫어하는군
그냥 몇번 쓰면 되는데,
그거 쓰기 귀찮다고 굳이 저런 기호를 만들어 내다니!


라는 생각이 매우 지배적이었다. 그때부터 나는 수학자들이 벌인 일들에 대해 기본적으로 귀찮음을 병적으로 싫어하는 사람들이라는 평을 내리기 시작했다. 사실이 그렇기도 하고. 뭐랄까 수학자들도 인간적임을 느꼈다랄까. 덕분에 새로운 것을 후대가 배워야 하는 고통을 겪긴 하지만.


그런데, 곱셈과 나눗셈을 왜 덧셈과 뺄셈보다 먼저 하는지에 대한 의문과 저 시그마에 대한 내용이 무슨 연관이 있냐고? 내 뒤통수를 강하게 후려갈긴 키워드는 바로 귀차니즘압축성이었다. 수학자들이 얼마나 단순반복적인 것을 귀찮아 하는지, 그리고 그 결과에 따라 나온 기호는 귀차니즘을 생략하는 대신에 고도로 압축된 정보를 갖게 된다는 것.


당시에 나는 수라고 하는 것의 속성에 대해 고민해 본적이 있었는데, 그 중 하나가 수의 변화는 기본적으로 증가와 감소만 있을 뿐이라는 것이었다. 무슨 말이냐 하면, 숫자는 커지거나 작아지거나 이렇게 두가지만 존재하지, 뚱뚱해지거나, 홀쭉해 지거나, 아니면 색이 칼라풀이거나 흑백이거나, 잘 생겨지거나 못 생겨지거나, 이렇게 변화하지는 않는다는 것이었다. 너무나 당연한 사실 아닌가? 물론 이에 대해서는 좀 더 깊게 생각해볼 여지가 있긴 하지만 당시에는 그랬다.


수의 변화라고 하는 것이 증가와 감소 밖에 없다는 말은 다시 말하자면, 수의 계산은 기본적으로 덧셈과 뺄셈이면 충분하다는 말과 같지 않은가. 그렇다면 이칙연산이라고 말하면 될 것을 곱셈과 나눗셈을 합쳐서 사칙연산이라고 할 필요가 없지 않나. 혹시 곱셈과 나눗셈이라고 하는, 내가 모르는 새로운 영역의 발상이 있는 것일까. 그러니까 수의 변화가 증가와 감소 말고도, 뚱뚱해질 수도 있는 것인가에 대한 궁금증이 샘솟았다. 아니 생각해 보니까 뚱뚱해진다는 것도 결국 증가한다는 말인가? 흠.


그래서 나는 증가와 감소 말고도 한동안 내가 생각해 내지 못 한 수의 변화에 대해 한동안 고민하기 시작했다.

keyword
작가의 이전글왜 곱셈과 나눗셈을 더 먼저 하지?