brunch

드론의 묘기 : 아크로 비행

STUDY

by Matthew Min 민연기

앞서 설명한 뱅크 턴(Banked Turn)이 속도를 경쟁하는 레이싱에서 기본이 되는 비행술이라면 공중을 자유롭게 날면서 묘기를 부리는 아크로바틱 비행 (Acrobatic Flight) 혹은 아크로 비행 (Acro Flight)은 필루엣(Pirouette)과 플립(Flip) 두 가지 동작을 조합하여 넓은 공간은 자유자재로 비행하는 기술입니다. 이 두 가지 동작을 얼마나 적절히 조합하느냐 그리고 동작이 이루어지는 시간을 어떻게 조종하느냐에 따라 멋진 비행이 가능합니다. 자동 수평 유지 기능이 있는 비행 모드에서는 어려운 비행 기술입니다.


필루엣은 발레에서 발 끝으로 수평 회전하는 동작을 의미하는데 멀티 콥터에서 러더 레버를 조작하여 요우(Yaw) 회전을 하는 동작을 의미합니다. 멀티 콥터에서는 요우 플립 (Yaw Flip)이라고 부르기도 합니다. 필루엣은 기체가 수평일 때의 요우(Yaw) 회전뿐 아니라 기울어진 상태에서도 가능합니다. 전진하는 상태에서 필루엣을 하면 기체가 앞으로 기울어진 상태로 돌기 때문에 기체가 지면과 땅을 번갈아 바라보기 때문에 어지러운 FPV에서는 어지러운 화면을 얻게 됩니다. 러더 (Rudder)와 롤 (Roll) 스틱을 동시에 조작하면 지평선을 따라 회전할 수 있습니다.

%C7%CA%B7%E7%BF%A7.JPG?type=w580

플립(Flip)은 단어의 뜻에서도 알 수 있듯 기체의 상하를 뒤집는 기술입니다. 플립은 엘리베이터 레버를 이용하여 기체의 전방으로 회전하는 피치 플립 (Pitch Flip)과 에일러론 레버를 움직여 기체의 옆 방향으로 회전하는 롤 플립(Roll Flip)으로 나눌 수 있습니다. 엘리베이터와 에일러론 레버를 동시에 사용하여 대각선 방향으로 플립을 할 수도 있습니다.

플립.JPG

비행기나 가변 피치 프로펠러 헬기는 시계 비행 (LOS : Line of Sight)을 기본으로 비행을 하지만 멀티 콥터의 아크로 비행은 주로 FPV(Front Person View)를 하기 때문에 시계 비행에서 기체가 그리는 비행 라인보다 멀티 콥터에 장착한 동영상 카메라로 영상을 저장하는 것을 더 중요시하는 경향이 있습니다. 촬영된 동영상을 보거나 실제 FPV 화면을 보면 수직으로 떨어진다거나 상하를 빠르게 뒤집거나 하는 평소에는 경험하기 힘든 하늘을 나는 기분을 즐길 수 있습니다.

캡처.JPG

https://youtu.be/IRmlX6rrs2w

F3Expo Masters of Freestyle Finals Run by Skitzo


가변 피치 프로펠러를 가진 헬기는 기체를 뒤집어도 양력을 얻을 수 있기 때문에 필루엣과 플립을 이용하여 원하는 고도에서 아크로 비행이 가능하지만 멀티콥터는 아직 가변 피치 프로펠러가 대중화되지 않았기 때문에 기체의 상하를 뒤집으면 바로 양력을 잃어버려서 자유 낙하를 하게 됩니다. 최근 모터를 반대로 회전시킬 수 있는 전자변속기 (ESC)가 소개되고 있지만 아직 대중화되기에는 기술적인 문제점이 있는 듯합니다.


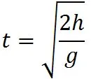
기체가 양력으로 상승하다가 스로틀을 내려 더 이상 양력이 발생하지 않아도 관성으로 어느 정도 상승하는 시간부터 기체가 아크로 비행으로 인해 양력을 얻지 못해 자유낙하하는데 걸리는 시간은 높이에 따라 다음과 같습니다.

%B3%AB%C7%CF%BD%C3%B0%A3.JPG?type=w580

t = 자유 낙하 시간
h = 낙하 높이
g = 중력 가속도 (9.8m/s^2)

%B3%AB%C7%CF%BD%C3%B0%A3_%C7%A5.JPG?type=w580 아파트 한 층의 높이를 2.8m 정도로 계산 계산했을 경우

갈릴레오 갈릴레이의 피사의 사탑 실험으로도 유명하듯 자유 낙하 시간은 기체의 무게와 상관이 없습니다. 기체가 전진을 하고 있는 동안에도 중력에 의한 수직 운동은 동일하게 적용되기 때문에 빠르게 전진을 하면서 아크로바틱 비행을 해도 낙하하는 시간은 동일하게 적용됩니다.

%BC%F6%C1%F7_%B3%AB%C7%CF%BF%CD_%C0%FC%C1%F8_%B3%AB%C7%CF.JPG?type=w580

충분한 아크로바틱 비행이 가능한 시간은 상승력에 의한 관성으로 생긴 무동력 상승 시간과 지면에 충돌하기 직전까지의 시간의 합입니다. 그 시간 동안 어떤 필루엣과 플립을 하느냐에 따라 아크로 비행이 결정됩니다.

%BE%C6%C5%A9%B7%CE_%BA%F1%C7%E0_%BD%C3%B0%A3.JPG?type=w580


관성에 의한 무동력 상승 시간은 기체의 출력과 상관이 있습니다. 기체의 상승 가속도가 중력 가속도에 의해 0이 되는 순간까지 무동력 상승 시간이 발생하기 때문에 빠른 기동력을 가진 멀티콥터일수록 유리합니다.

자유 낙하 시간은 공기에 저항에 따라 차이는 있겠지만 모든 기체에 거의 동일하게 주어집니다. 하지만 추락을 끝으로 비행을 마치지는 않기 때문에 중력 가속도에 의한 낙하보다 큰 힘의 양력을 만들 수 있을 때 까지가 자유 낙하 비행시간이 됩니다. 따라서 상승력이 좋은 기체일수록 더 많은 아크로바틱 비행시간을 얻을 수 있습니다.

만약 플립 기동으로 기체의 상하가 뒤집어진 상태에서 스로틀을 올리면 낙하 방향으로 추가 가속도가 발생하기 때문에 더 빠르게 추락하게 됩니다. 따라서 기체가 상하가 뒤집어진 순간은 스로틀을 내려야 합니다. 그러나 스로틀을 완전히 내렸을 때 프로펠러가 정지하도록 설정된 기체는 더 기체를 제어할 힘을 잃어버리기 때문에 다시 스로틀을 올리기 전까지 기동이 불가능합니다. 아크로바틱 비행에서는 프로펠러가 정지하지 않도록 스로틀을 완전히 내리지 않거나 스로틀을 완전히 내려도 프로펠러가 돌 수 있도록 설정하는 것이 필요합니다. 최근 비행 제어 소프트웨어에서는 (Beta Filght : Flight Controller)는 자유 낙하 중에도 기체를 제어할 수 있도록 프로펠러를 구동시키는 기능이 포함되어 있습니다.

물론 지면 가까이 낙하 직전까지 비행할 수 있는 담력과 그것을 위한 연습이 아크로 비행에 가장 중요한 요구 조건이 될 것입니다.



더 많은 드론 이야기를 만나보세요 : FPV미니드론

http://book.naver.com/bookdb/book_detail.php?bid=13584005


keyword
작가의 이전글레이싱 드론 영상에 노이즈를 잡아보자