brunch

무리수, 루트 2

:: 표현하지만, 표현할 수 없는 수

by MUCHOS
루트2는 무리수?


우리가 살면서 최소한 한 번쯤(중, 고등학생 시절) 혹은 그 이상 여러번 들어봤을 가능성이 조금은 있는 숫자라고 생각한다. 루트2. 아무 생각없이 내뱉으며 계산하는 숫자이기도 하고, 솔직히 살면서 거의 사용할 일도 거의 없고 관심이 있는 사람도 극소수인 건 사실이다. 그럼에도 불구하고 오늘 루트2에 대해서 한 번 얘기를 해보려 한다.



먼저 제곱근을 알아야 한다. 제곱근이란 어떤 수 a가 존재할 때, 제곱하여 a가 되는 수를 제곱근이라고 한다. 일반적으로 양의 실수 a의 제곱근은 두 개가 존재한다(양의 제곱근, 음의 제곱근). 오늘 함께 나눌 루트2는 따라서 2의 제곱근이 되는 것이다(루트2를 제곱하면 2가 되므로).


루트 x


2의 제곱근인 루트2는 기약분수로 나타낼 수 없는 무리수이다. 기하학에서 피타고라스 정리에 따르면 한 변의 길이가 1인 정사각형의 대각선의 길이로 루트2를 나타낼 수 있다. 루트2에 대한 근사값으로는 99/70이 쓰인다. 이 값은 2의 제곱근 참값과의 사이에 오차가 0.00001로 매우 정확한 표현법이다. 실제 2의 제곱근 값은 순환되지 않는 무한소수로 소수점 이하 65자리까지의 근사값(OEIS 수열 A002193)은 다음과 같다.

1.41421 35623 73095 04880 16887 24209 69807 85696 71875 37694 80731 76679 73799


2의 제곱근이 무리수라는 사실은 고대 그리스 시기부터 잘 알려져 있다. 에우클레이데스는 <원론>에서 2의 제곱근이 무리수라는 사실을 *귀류법을 통하여 증명하였다.

귀류법 : 어떤 명제를 증명하고자할 때, 그 명제의 결론을 부정함으로써 공리의 모순됨을 보여 간접적으로 결론이 참임을 증명하는 방법



바빌로니아 점토판에서의2의 제곱근 근삿값

예일대학교 소장목록 7289인 바빌로니아 점토판에는 2의 제곱근의 근삿값을 다음과 같이 계산하고 있다.


고대 인도 시대 2의 제곱근계산법

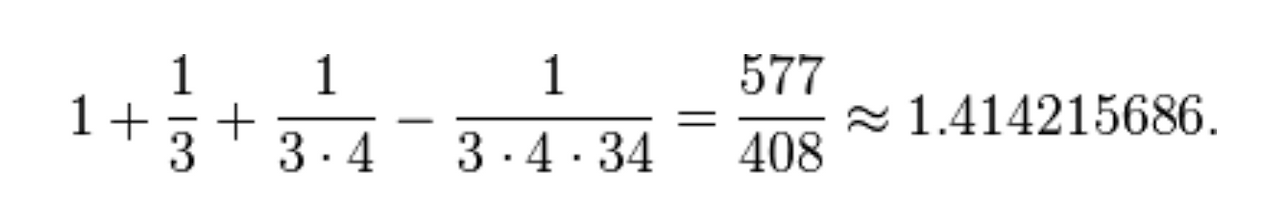
또한 고대 인도의 수학책 <술바수트라>에서는 2의 제곱근의 근삿값을 다음과 같이 계산하고 있다.


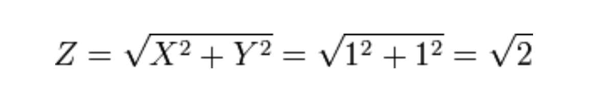
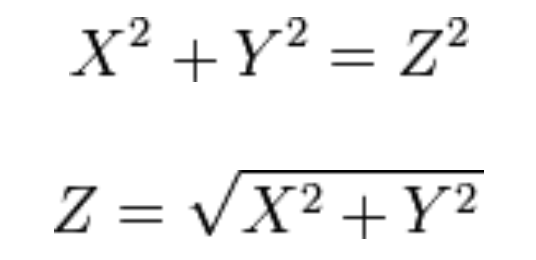
직각삼각형에서 빗변의 길이를 Z, 다른 변의 길이를 각각 X, Y라고 하면,


피타고라스 정리에 따라 다음과 같은 식이 성립한다. 이제 빗변이 아닌 두 변의 길이가 1인 직각 삼각형의 빗변의 길이를 계산할 수 있다.



피타고라스 정리에 의한 빗변이 아닌 두 변의 길이가 각각 1일 때, 빗변의 길이 계산


고대 그리스 수학자 피타고라스 학파인 히파수스는 이 계산에서 나타나는 2의 제곱근을 기약분수로 나타낼 수 없다는 사실을 발견하였다. 그런데 피타고라스 학파에서는 자연수와 이의 비로 나타낼 수 있는 기약분수, 즉 유리수만을 진정한 수로 취급하였기 때문에 무리수의 존재를 인정하지 않았고, 무리수를 인정하는 것은 금기로 여겨졌다. 히파수스는 무리수의 존재를 세상에 알렸다는 이유로 이단 취급을 받았으며, 일설에 의하면 피타고라스 학파에 의해 죽임을 당하였다고 한다. 무리수라는 이름은 피타고라스 학파의 수에 대한 이러한 가치관이 반영된 것이다.



반면, 헬레니즘 시기 알렉산드리아의 수학자 에우클레이데스는 2의 제곱근이 무리수라는 것을 증명하였다. 에우클레이데스는 <원론>에서 귀류법을 이용하여 2의 제곱근이 무리수라는 것을 증명하였는데, 그 증명과정은 다음과 같다.



수학자 히파수스는 그 당시까지만 해도 루트2라는 길이를 그 어떤 수로도 나타낼 수 없음을 증명하였다. 그것은 새로운 수의 세계가 존재한다는 얘기였다. 우리도 어쩌면 표현할 수 없는 새로운 수의 세계 안에 살고 있는 것은 아닐까?

keyword