brunch

양자컴퓨터와 주판

머리로 똑같이 계산할 수없으면 손으로 똑같이 만들어라.

by 정연섭

태풍이 한반도를 할퀴고 지나가면 기상청이 그 진로를 예측 못했다며 비난을 받는다. 과거에는 못 산 슈퍼컴을 탓했지만 슈퍼컴이 도입된 지금에는 일기예보는 원래 틀릴 수 있다며 배 째라 한다. 틀린 주장은 아니지만 이 친구들의 실력이 있는지 없는지는 여전히 의문이다.


자연의 이치를 밝힌 현대 과학 덕분에 가까운 장래를 예측할 수 있다는 기대가 있다. 일식이나 월식의 발생 시각을 예측하는 능력에서 보듯이 행성의 수가 적은 단순계에서는 이 기대가 잘 맞는다. 그러나 참여하는 물체의 수가 늘어나면 운동의 원리를 알아도 예측은 어렵다. 일기예보나 태풍의 진로 예측은 복잡계에 속한다.


머리의 계산으로 자연현상을 정확히 예측 못할 경우 모형을 만들어 특성을 파악할 수 있다. 예를 들어 아파트를 소개하는 팸플릿보다는 모델하우스가 더 유용하다. 일예보 계산보다는 지구본에 바다와 대기를 채워 태풍 경로를 모델링할 수도 있다. 시범학교를 만들고 시범 마을을 만드는 이유도 이론적인 계산보다는 실제를 통해 효과를 검증한다는 목적이다. 모형으로 이론적 계산보다 정확하고 빠른 결과를 얻을 수가 있다. 모형안에 자연법칙이 그대로 적용되므로 인위적으로 계산을 할 필요가 없다. 물리학자 파인만도 비슷한 생각을 했다. 양자 계산이 복잡하고 어려우니 양자 모형을 만들자. 이것이 양자 컴퓨터가 탄생하게 된 배경이다.



오래되었지만 주판도 계산을 돕는 하나의 모형이다. 주산을 배운 사람들이 암산을 잘하는데 머릿속에 주판을 튀기고 있다고 했다. 1980년부터 컴퓨터가 주판을 밀어냈다. 기본 원리에 집착하는 나는 학부 때에 전자과의 컴퓨터 구조를 청강하고 통신 이론을 독학했지만 사실 컴퓨터를 이해하기 위해 컴퓨터 구조를 필요는 다. 동일하게 양자 컴퓨터를 이용하기 위해 양자 컴퓨터 이론을 알 이유도 없다. 주판이나 고전 컴퓨터나 양자 컴퓨터에는 계산 모형이 숨겨져 있어 계산을 도와준다고 생각하면 그만이다.


정부가 미래의 먹거리로 양자 컴퓨터에 투자를 한다고 한다. 그래서 양자 컴퓨터가 고전 컴퓨터를 10년 안에 밀어낼 수가 있을까? 철이나 구리로 금을 만든다는 연금술사처럼 우리의 과학자들이 사기를 치고 있지는 않을까? 제가 석사과정에서 양자역학을 다루었기에 양자 컴퓨터의 작동원리를 살펴보고 실용 가능성을 확인하고 다.

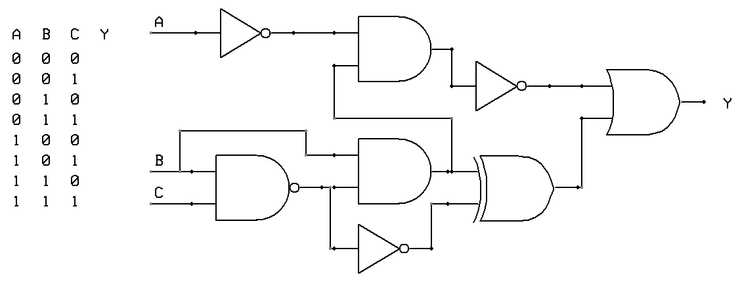
양자 컴퓨터에는 평생 공부해도 모른다는 중첩, 얽힘, 풀림 등의 원리가 작동한다. 많은 글들이 중첩을 통해 양자 컴퓨터가 고전 컴퓨터보다 계산속도가 빠르다고 떠들고 있다. 이 논쟁을 정면으로 반박하고 싶었지만 짧은 시간에 정량적 의견을 내기는 어렵다. 사실 깊이 들어가면 공조하게 될 가능성이 더 높다. 고전 컴퓨터는 CPU나 메모리 반도체로 작동하며 더 근본적으로 보면 아래와 같은 게이트로 만들어진다. 아래 컴퓨터는 A, B, C의 입력을 받아 Y의 출력을 내는 기능을 한다. 제대로 작동하는지 확인하기 위해서는 A, B, C 조합의 값을 8번이나 변화시켜가면서 Y 결과를 확인해야 한다. 한번 만에 확인할 수는 없을까?


막대 그래프 같은 아래 그림은 화학 물질인 Sucrose의 13C 핵자기 스펙트럼이다. Sucrose 분자에는 12개의 탄소 원자가 박혀 있는데 주변 환경에 따라 탄소의 공명 피크가 다르다. 13C 핵자기 스펙트럼은 화학분석에서 물질을 확인하는 목적으로 많이 사용된다. 그런데 13C 핵자기 스펙트럼은 양자 컴퓨터를 설명하는 좋은 예제로 또 다른 가치가 있다. 아마 양자 컴퓨터는 이런 분자를 활용하여 개발할 수밖에 없을 것이다.



고전 컴퓨터에서 A 입력값이 특정 시점에 0과 1중에 하나만 가지지만 양자 컴퓨터에서는 1번 탄소는 0 또는 1을 조합으로 동시에 가질 수가 있다. 이를 양자 역학에서는 중첩 특성이라고 한다. 고전 컴퓨터에서 0과 1만 가지는 소자를 Bit라고 표현하고, 양자 컴퓨터에서 0과 1을 조합으로 가지는 소자를 Qbit이라고 한다. 탄소자는 하나의 Qbit로 역할을 한다.


큐빗(Qbit)은 마치 지킬박사와 하이디의 이중 인격자와 같다. 큐빗이 중첩 능력을 가지고 있지만 측정을 하면 0이나 1로만 나타난다. 즉 이중적인 태도가 있지만 Yes나 No로만 대답을 강요받는 사람을 생각하면 된다. 만일 큐빗에서 0 상태의 비율이 높다면 측정에서도 0으로 나타날 가능성이 높다. 13C 핵자기 스펙트럼의 피크 높이를 통해 0이 차지하는 비중을 측정할 수 있다.

중첩 특성 때문에 양자 컴퓨터에서 한 번만 계산을 돌려도 고전 컴퓨터의 8번 계산과 동일한 결과를 얻어 수 있다. 당연히 큐빗의 개수가 많아지면 계산속도가 지수적으로 빨라진다. Sucrose는 탄소수가 12개 이므로 2^12인 4096배만큼 계산속도가 빨라진다. 양자 컴퓨터는 시스템이 가질 수 있는 모든 상태를 동시에 처리할 수 있는 병렬 처리 특성이 있다.


그렇지만 Qbit을 조작하기는 쉽지 않다. 13C 핵자기 스펙트럼 얻기 위해 탄소 스핀을 90도 회전시키는 자기장을 가하지만, 이런 조작이 양자컴퓨터에서는 가능한지 나에게는 직관적으로 보이지 않는다. 양자 연산자가 있다고 하지만 이 연산자만으로 사칙연산을 수행될 수 있는지도 명확하지 않다. 또한 계산 과정에서 기억소자의 값이 저절로 변화되면 안 되듯이 Qbit의 상태도 저절로 사라지지 않아야 하는데 이를 위해서는 엄청나게 낮은 작동 온도가 요구되기도 한다.


양자컴퓨터가 상용화되기 위해서는 이런 장애물을 뛰어넘어야 한다. 양자 컴퓨터가 연금술 같은 사기는 아닐지 몰라도 상용화까지는 10년 이상 걸릴 기술이다.

keyword