상도 푸르지오 클라베뉴 임의공급 5차 입주자 모집공고

무순위 청약, 확정 분양가 동작구 상도동 후분양 아파트 입성의 기회

상도 푸르지오 클라베뉴 야경 사진2.jpg 상도 푸르지오 클라베뉴 야경 사진
공급내역 공급 접수.jpg
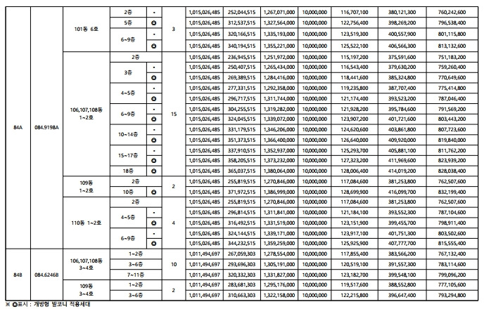
공급 가격1.jpg
공급 가격2.jpg
신청자격 .jpg
청약 일정.jpg

◆ 임의공급 관련 분양문의 1668-0970

keyword
작가의 이전글올 1분기 분양시장 핵심 키워드 알아볼까요