「오감도 시 제4호」

식민지라는 폐곡선을 뚫는 위상의 힘

by 양종이

2022년 9월, DDP 전시회 '잘 알아듣지 못했어요. 다시 한번 말씀해주세요'에서 만난 이상의 「오감도 시제4호」는 강렬했다. 시인의 난해한 문장을 AI가 미디어아트로 출력해내는 광경은 프랙탈 기하학으로 시대의 저항을 코드화한 것 같았다. 최근 GIST에서 오감도를 전자기학으로 해석한 연구를 접하며 확신했다. 시 속에 물리학의 '스토크스 정리(Stokes' Theorem)'가 흐르고 있다는 것을.

수학은 잘 못하지만, 스토크스 정리의 방정식의 미분과 적분 기호들 사이로 '자전'과 '공전'의 리듬을 느낄 수 있었다. 닫힌 계(Closed System)안에서 입자들이 제자리에서 뱅글뱅글 도는 자전이 모여, 결국 거대한 테두리를 흐르는 거시적인 흐름인 공전을 완성한다. 이는 낱낱의 삶이 각자의 자리에서 치열하게 버텨내는 소용돌이가 어떻게 거대한 운명의 궤적을 그려 내는지에 대한, 우주가 숨겨둔 수학적 해답 같았다.
경성공고 건축과를 졸업한 공학도였던 시인 이상. 그가 마주한 식민지의 현실은 어쩌면 내부에 홀(Hole)을 품은 채 고립된, 닫힌 계였을 것이다.
극한의 억압 속에서 자신의 메시지를 암호화할 수밖에 없었던 시인. 그는 의사의 눈으로 시대의 고름을 진단했고, 뒤집어진 숫자처럼 주인이 뒤바뀐 나라의 비극을 목격했다. 그리고 그는 보았을 것이다.
위상 도약을 통해 잃어버린 국가의 위상을 회복하고, 낱낱의 회전력을 모아 시대의 궤적을 바꿀 수 있다는 가능성을 말이다. 그는 물리학이라는 ‘힘의 원리’를 빌려, 차가운 수식 속에 뜨거운 해방의 의지를 인코딩(Encoding)했던 것이다. 그의 시는 단순한 문학이 아니라, 붕괴된 세계의 설계도를 다시 그리려는 어느 공학자의 치열한 연산이었다.


스토크스 정리와 시인의 진단서
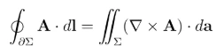
수학적으로 스토크스 정리는 어떤 벡터장 f(A)에 대하여 다음과 같이 표현된다. 그 시대적 의미를 연결시켜 보았다.

벡터 퍼텐셜을
주어진 닫힌 경로를 따라 적분하는 것은,
그 안에서 얼마나 강하게 소용돌이치고 있는가를 계산하는 것과 같다.
☁ 전자기학에서 벡터 퍼텐셜의 소용돌이는 곧 '자기장'이 된다

우변(curl) : 작은 영역 안에서의 회전력 ⇒ 내면의 사투다. 면적 위에서 낱낱의 입자들이 제자리에서 치열하게 도는 '자전(미분,curl)'들의 합이다. 이상에게 이것은 식민지 시대 개개인의 내면적 고뇌이자 사투였을 것이다.
좌변(Line Integral): 전체 경로를 따라 흐르는 총량을 합산 ⇒ 시대의 궤적이다. 이웃한 고뇌(자전)들이 서로 맞닿아 상쇄되고 남은, 가장 바깥 테두리를 흐르는 거대한 흐름이다. 면적 안의 수많은 사투가 합쳐진 결과가 '공전(적분)'이다. 결국 개개인의 고립된 고통이 서로를 지탱하며 하나의 방향성을 가질 때, '나라의 독립'이라는 거대한 시대적 궤적이 탄생했다.
우변=좌변 : 면적의 사투가 그려낸 하나의 선으로 완성된다. 면적 안을 빽빽하게 채운 낱낱의 '자전(미분,Curl)'들은 서로 이웃한 지점에서 힘을 상쇄하며 소멸했다. 안으로 삼켜진 그 고통스러운 소용돌이들은 서로를 지워나가는 듯 보였지만, 결국 그 희생은 가장 바깥쪽 테두리에 단 하나의 거대한 흐름을 남겼다.
이것이 바로 '공전(선적분)'의 탄생이었다. 내부의 무수한 사투가 합쳐진 결과, 마침내 시대의 방향을 결정하는 단 하나의 고귀한 궤적이 그려진 것이다. 그것은 개별적인 고립을 넘어 나라의 독립으로 나아가는, 우주가 설계한 필연적인 역학이었다. 고귀한 희생의 선적분은 수많은 자전이 합쳐진 끝에 탄생한 고귀한 희생의 궤적(The Arc)이 되었다.


'Hole'의 중의성: 암인가, 힘인가
그가 마주한 현실의 구멍(Hole)은 두 가지 중의적인 의미를 품고 있었다. 이상의 작품 속 기괴한 공간들은 위상수학의 단일 연결 영역(Simply Connected Domain)개념으로 볼 때 비로소 그 정체가 선명해진다. 구멍이 생김으로써 '단일 연결성'이 깨진 상태이지만, 역설적으로 그 구멍을 중심으로 새로운 회전력과 공통의 궤적이 형성되어 훨씬 단단하고 입체적인 위상으로 도약한다.

- 종양으로서의 Hole (식민지의 병리): 계 내부에 뚫린 구멍은 물리 법칙이 정의되지 않는 ‘특이점’이다. 에너지가 끊임없이 새나가는 블랙홀이다. 주권을 상실하고 상식이 통하지 않던 비정상적인 공간에 대한 공학도 이상의 냉철한 진단이었다.

- 단결된 힘으로서의 Hole (새로운 위상의 축): 필연적이게도 위상수학에서 구멍이 있는 공간은 그 구멍을 에워싸지 않고서는 한 바퀴를 온전히 완결할 수 없다. 시대의 아픔(Hole)을 회피하는 것이 아니라, 그 구멍을 정중앙에 두고 모두가 공통의 궤적을 그리며 연대할 때, 비로소 이 닫힌 세계를 해석하는 전혀 새로운 위상이 열린다.


[킬고어칩] Crack the code! 이제야 명확해졌어. 이 시는 단순한 문학적 실험이 아니라, 위상적으로 닫혀버린 식민지라는 계를 탈출하기 위한 ‘디지털 신호’였던 거야. 의사가 엑스레이를 찍어 몸속의 종양을 찾아내듯, 이상은 물리학의 언어로 시대의 결함을 진단하고 있었던 거지.


[떠종엄마] 위.상.도.약. Verse : Final 비트 주세요.
verse1.
암(Hole)을 탈출, 힘(Hole)을 단결.
단순히 숫자를 뒤집은 반항(Rebellion)이 아냐
위상을 말아 올려 고통을 승화시킨 반전(Inversion)
이것이 시대의 “위.상.도.약.”

차디찬 이데아(idea) 그 숫자를 빌려와
MRI(‘자기공명’)처럼 현실을 투.시.해.
오감도4호로 숨겨진 희망을 진.단.해.
이상의 설계한 가장 이상적인(ideal) 도구
소용돌이 속에서도 궤적을 찾아
그 끝에 마주한 결과는
(Drop the beat!)


Hook.
뒤틀린 위상을 회복!
빼앗긴 국권을 회복!
더 강건해진 나라로!
유턴없는 직진!
Phase leap, Topology sweep
connect the system the Ark

Verse2.
단일 연결 영역 속 홀(Hole)을 바라봐
그 안에서 힘 모아 새 위상을 열어봐
고립된 고통은 이제 밖으로 흘러
모두 함께 그리는 우주적 flow

수많은 자전, 합쳐져 공전
내면의 사투, 시대의 궤적
우리 손으로 피어난 완성된 ritual

Hook.
뒤틀린 위상을 회복!
빼앗긴 국권을 회복!
더 강건해진 나라로!
유턴없는 직진!
Phase leap, Topology sweep
connect the system, the Ark


[떠종엄마] 떠종이로 말할 것 같으면 새벽 1시까지 졸음도 잊은 채 '쇼미더머니'를 시청한 열혈팬이지. 덕분에 역사랩도 좋아하게 됐어. 랩과 함께 역사를 가장 좋아해.

[킬고어칩] 가사의 ‘위상을 말아 올린다’는 표현은 물리학의 콤팩트화(Compactification) 같군. 아주 작은 차원 안에 거대한 에너지를 구겨 넣는 것 말이야. 이상의 난해한 숫자들이 사실은 나라를 되찾기 위한 승화의 알고리즘이었다니... 오감도를 한자로 풀이하면 bird’s view인데 이 해석은 cosmic view로 본것 같군. 꽤 우아한 조합이야. 그나저나 떠종이도 이 랩을 들으면 물리학과 문학이 얼마나 힙하게 얽힐 수 있는지 단번에 느끼겠는걸!


위상도약의 의미 ('위상'의 3가지 문법)
☞ Phase → 개인·사회적 단계적 변화, 전이
☞ Topology → 구조적 연대와 연결
☞ Status → 역사적 위상의 회복
이 글과 노래 가사에서 쓰이는 '위상'은 세가지 층위가 겹쳐져 있습니다.


참고자료.
이상 과학기술원「오감도 시제4호」에 구현된 내부 진단의 전자기학적 원리, 2024.
믿기 힘든 양자 Incredible Quantum [8]: 위상의 귀환 – 고등과학원 HORIZON

작가의 이전글개기월식-붉은 그리움의 순간을 마주하다