통계에서 형상으로-데이터가 그린 밤하늘

by 양종이

밤하늘을 보면 은하들이 무질서하게 흩어져 있는 것 같지만, 사실 그 안에는 치밀한 통계적 규칙이 숨어 있다. 우주라는 거대한 지도 위에서 은하들이 얼마나 밀도 있게 뭉쳐 있는지를 측정하는 강력한 통계적 도구. 과학자들이 우주의 지도를 해독할 때 가장 먼저 꺼내는 도구가 바로 '2점 상관함수(Two-point Correlation Function)'다.

2점 상관함수: 우주가 은하를 배치하는 ‘정교한 거리두기’
2점 상관함수는 쉽게 말해 '임의의 은하 A로부터 거리 만큼 떨어진 곳에 또 다른 은하 B가 존재할 확률'을 계산하는 식이다. 만약 우주가 아무런 규칙 없이 생성되었다면, 은하들은 완전히 무작위로 흩어져 있어야 한다. 하지만 실제 관측 결과는 다르다. 특정 거리에서 은하를 발견할 확률은 무작위일 때보다 훨씬 높게 나타난다.
우주의 2점 상관함수는 항상 양(+)의 값을 보이며, 이는 우주가 ‘계획된 뭉침’의 산물임을 수학적으로 증명한다.은하 지도는 거대한 데이터베이스다. 하지만 이 데이터는 무작위로 적재된 로그 기록이 아니다. 거기엔 태초의 알고리즘이 새겨놓은 정교한 통계적 질서가 숨어 있다.


전파 인자(Propagator): 미시 세계의 떨림이 거대 구조가 되기까지
마치 거대한 호수에 돌을 던졌을 때 생기는 파문과 같다. 돌이 떨어진 자리(초기 요동)에서 특정 거리마다 물결의 마루가 생기듯, 우주도 그 '파문의 마루'를 따라 은하들을 배치했다. 2점 상관함수는 바로 그 파문의 간격과 높이를 측정하는 자(Ruler) 역할을 한다.
2점 상관함수는 단순히 숫자를 세는 도구가 아니다. 이것은 거시적인 우주론과 미시적인 양자역학이라는 전혀 다른 두 세계를 하나의 논리로 잇는 독특한 이중성을 지닌다.
거시적인 우주론적 관점에서 이 함수는 한 은하로부터 특정 거리만큼 떨어진 곳에서 또 다른 은하를 발견할 확률이 얼마나 높은지를 나타낸다. 만약 우주가 무작위한 혼돈 상태라면 은하들은 아무 데나 흩어져 있겠지만, 실제 우주는 마치 의도된 것처럼 특정 거리를 두고 옹기종기 모여 있다. 즉, 2점 상관함수는 우주가 얼마나 '의도적으로 설계된 질서'에 의해 뭉쳐 있는지를 보여주는 척도다.☁ 미시적인 양자장론의 세계로 들어가면 이 함수는 '전파 인자'(Propagator)라는 이름을 갖는다. 이는 한 지점에서 발생한 아주 미세한 양자적 요동(교란)이 시공간을 가로질러 다른 지점까지 전달될 확률을 뜻한다. 호수 위에 던져진 작은 돌맹이가 만든 파문이 어디까지 퍼져나가는지를 계산하는 것과 같다.

우주 초기의 아주 미세했던 양자적 요동은 이 '전파 인자'의 법칙에 따라 시공간으로 퍼져 나갔다. 양자 요동이라는 태초의 입력값은 전파인자를 타고 흐르며 증폭되고, 마침내 은하라는 거대한 출력값으로 번역된다. 그리고 138억 년 동안 우주가 팽창하면서, 이 작은 파동의 마디마디에 물질들이 모여들기 시작했다. 결국 태초의 양자적 파동이 그린 '확률의 지도'가 오늘날 우리가 보는 '은하의 지도'로 그대로 복사된 것이다.

2점 상관함수가 발견한 태초의 동심원: 바리온 음향 진동(BAO)
과학자들이 2점 상관함수를 통해 은하들의 거리를 측정했을 때, 정확히 150Mpc(약 5억 광년) 지점에서 확률이 미세하게 툭 튀어나온 '피크(Peak)'를 발견했다. 이것이 바로 바리온 음향 진동(BAO)의 흔적이다. 초기 우주라는 뜨거운 플라즈마 속에서 중력과 빛의 압력이 충돌하며 거대한 '음파'가 발생했다. 이 소리의 파동은 사방으로 퍼져나가다가, 우주가 식어 빛과 물질이 분리되는 순간 특정 거리에서 그대로 '얼어붙어' 버렸다. 태초의 소리가 멈춘 그 자리에 은하들이 더 많이 탄생했음을 보여주는 이 신호는, 우주가 어떤 리듬으로 울었는지 증명하는 가장 정교한 '물리적 지문'이다.
결국 2점 상관함수와 그 안의 BAO 신호는 우주가 우리에게 건네는 일종의 '설계 도면'이다. 은하와 은하 사이의 거리를 측정함으로써, 우리는 우주 초기에 어떤 에너지가 소용돌이쳤는지, 암흑 물질이 어떻게 은하들을 결속시켰는지를 역추적할 수 있다. 우리가 바라보는 밤하늘의 은하 지도는, 사실 138억 년 전 양자 세계가 던진 미세한 파동이 시공간이라는 캔버스 위에 길게 늘어지며 완성된 ‘통계적 걸작’이다. 결국 2점 상관함수와 그 안의 BAO 신호는 우주가 우리에게 건네는 일종의 '설계 도면'이다.

흩어진 정보는 어떻게 패턴이 되는가
관연 그렇다면 질문 "혼돈 속에서 어떻게 질서를 길어 올리는가? 우주의 진짜 모습은 무엇인가?"
여기 혼돈을 설계한 *미셸 에농의 두 줄의 수식에서 우리는 힌트를 얻을 수 있다.
*미셸 에농(Michel Hénon, 1931.7.23.~2013.4.7.) : "복잡한 건 딱 질색이니까" 프랑스의 수학자이자 천문학자로, 카오스 이론을 수학적인 영역에서 실제 현상(특히 천체 물리학)으로 연결한 선구자. 우주의 복잡함을 단 두 줄의 다항식으로 중학생도 이해할 수 있는 수준의 다항식으로 우주의 복잡성(은하의 움직임, 기상 변화 등)을 재현했다. 계에서 본질적인 것들만 추출함으로써, 카오스 현상을 다루는 데는 오히려 엄청난 단순화가 낫다는 것을 깨달았다. 에농은 카오스라는 거대한 현상을 단 두 줄의 수식으로 정의했다. 원리는 명쾌하다.

여기서 a와 b는 시스템의 성질을 결정하는 변수(파라미터)다. 에농이 제시한 표준값은 a=1.4, b=0.3 인데, 이 수치들을 넣고 반복적으로 계산을 이어가면 그야말로 마법 같은 일이 벌어진다. 이 수식이 탄생한 배경에는 에농의 천재적인 통찰이 있었다. 당시 과학자들은 기상 변화나 별의 궤도처럼 복잡한 현상을 설명하기 위해 수십 개의 방대한 수식을 나열하곤 했다. 하지만 에농은 그 비효율성에 의문을 던졌다.

"이걸 언제 다 계산하고 있나? 딱 두 줄이면 충분한데."

그렇게 탄생한 것이 바로 '에농 사상'이다. 그리고 이 수식을 통해 좌표평면 위에 점을 찍었을 때 나타나는 기묘한 형상을 우리는 '에농 어트랙터(Hénon Attractor)'라 부른다. 만드는 법은 라면을 끓이는 과정 만큼이나 간단하다. 하지만 그 결과물은 단순한 도표를 넘어, 우주의 심오한 신비를 담아낸 하나의 예술 작품과 같다. 무질서해 보이는 데이터 속에서 정교한 질서가 태동하는 순간, 우리는 카오스의 본질에 한 걸음 더 다가서게 된다. 복잡함에 매몰되지 않고 본질 만을 추출하려 했던 미셸 에농처럼, 우리도 과감한 단순화를 통해 우주의 엔진룸을 들여다보자.


우주의 설계도: 데이터에서 형상으로
현대 천문학과 우주론의 패러다임은 지금 거대한 질적 전환점을 맞이하고 있다. 과거의 우주론이 우주에 물질이 '얼마나 많이, 어디에 모여 있는가'라는 통계적 분포(Clustering Strength)에 집중했다면, 이제 과학자들은 그 너머의 질문을 던진다. "우주는 어떤 본질적인 형태로 엮여 있는가?"라는 위상수학적 구조(Clustering Topology)에 대한 탐구다. “From clustering strength to clustering topology!” 통계에서 형상으로의 전환은 우주라는 거대한 퍼즐의 조각들이 서로 어떻게 맞물려 있는지를 이해하려는 시도다.

☁ 거시적 관점. 우주 거대 구조(Large Scale Structure, LSS)를 연구함에 있어, 개별 은하들의 미세한 위치 변화나 사소한 밀도 차이는 일종의 '노이즈(Trivia)'에 불과할 수 있다. 이때 필요한 것이 바로 토폴로지(Topology, 위상수학)적 관점이다. 토폴로지는 대상이 구부러지거나 늘어나는 연속적인 변형 속에서도 결코 변하지 않는 속성, 즉 '연결 상태'와 '구멍의 개수' 같은 기하학적 본질을 추적한다. 과학자들은 이제 우주를 단순한 질량 분포 지도가 아니라, 거대한 거미줄처럼 서로 맞물려 정보를 교환하는 위상적 네트워크로 간주한다. 사소한 디테일에 매몰되지 않고 우주라는 거대한 퍼즐의 위상학적 불변량(Topological Invariants)을 찾아내는 과정은, 시공간이라는 캔버스가 어떤 근본적인 설계도에 의해 짜였는지 그 '골격'을 선명하게 드러내 준다.

☁ 미시적 관점. 우주의 가장 미시적인 양자 영역에서는 원자핵 속 쿼크의 강한 상호작용을 매개하며 질량도 전하도 없이 오직 스핀 만으로 존재를 증명하는 *글루온(Gluon)이라는 '우주의 접착제'가 있다. 이 보이지 않는 양자적 연결고리(Link)들을 평평하게 펼쳐냈을 때, 비로소 우리가 발을 딛고 있는 우주 거대 구조의 본 모습이 드러나기 시작한다.

☁ 미시와 거시를 이었더니 '코스믹 라이좀(Cosmic Rhizome)'
아주 작은 입자의 진화가 우주의 장엄한 역사를 그대로 투영하고 있다. 태초의 특이점에서 응축된 '입자 같은 질량 덩어리' 들이 시공간을 휘젓고, 그 힘이 시공간의 그물을 타고 뻗어 나가는 모습은 땅속에서 무한히 뻗어 나가는 '라이좀(Rhizome, 지하 줄기)'의 뿌리와 같다. 양자 위상학의 시선으로 보면 이 모든 것은 결국 하나의 연결된 구조다. 우주 곳곳의 블랙홀은 '슛 아웃(Shoot out)' 시키듯 시공간의 거대한 라이좀을 뻗어내며 우주 거대구조라는 지평을 완성해 나간다.
"이른바 '코스믹 라이좀'이라 불리는 이 현상은 우주의 아침(Cosmic Morning)에 은하들이 어떻게 영토를 확장했는지 설명해준다. 은하 형성의 폭발적 탄생은 밀도가 가장 높은 영역에서 시작되는데, 이곳이 바로 최초의 코스믹 라이좀이 자리 잡은 정점(Peaks)이다. 이 희귀한 밀도의 꼭대기에서 우주의 첫 번째 은하들이 그 모습을 드러낸다. 이후 기저에 깔린 암흑물질과 가스가 중력에 의해 필라멘트(Filament) 구조로 붕괴하면서, 새로운 은하들은 이 연결된 줄기를 타고 사방으로 뻗어 나간다. 각각의 라이좀은 필라멘트를 전선 삼아 자신의 영역을 확장하고 정보를 전파한다." -우주 거대구조의 형성 (by Park et al. 2022)
결국 가장 작은 입자의 춤 속에 숨겨진 불변의 위상적 질서가, 가장 거대한 우주의 진화를 이끄는 근원적인 힘이었던 것이다.

정보적 관점의 우주 : 홀로그래피 원리와 '1/4'의 비밀
이 거대한 우주의 뼈대를 타고 더 깊은 곳으로 내려가 보면, 우리는 비로소 형태를 만드는 근원적인 설계도와 마주하게 된다. 이 네트워크의 심장부에는 큐비트(Qubit)의 기하학적 구조가 자리 잡고 있다. 우리가 감각하는 매끄러운 3차원 공간은 사실 독립적인 실체가 아닐지도 모른다. 우리가 속한 공간은 현재 실험 장비로 도저히 감지할 수 없는 초미세 양자 단위의 얽힌 거대한 정보 네트워크의 결과물에 가깝다. 만약 그렇다면 우주는 'HaPPY 홀로그래픽 오각형 코드'라는 정교한 오류 수정 알고리즘에 의해 구동되는, 인류가 꿈꾸는 가장 완벽한 형태의 '양자 컴퓨터' 그 자체인 셈이다.
우주에서 가장 미스터리한 건축물인 블랙홀은 이 정보 압축의 원리를 완벽하게 보여준다. 블랙홀은 은하 전체 질량의 약 1/1000에 불과한 작은 크기지만, 그 안에 담긴 정보의 밀도는 압도적이다. 우리의 직관은 정보가 공간의 '부피'를 채운다고 생각하지만, 우주의 데이터 저장 방식은 다르다. 정보의 최소 단위(1비트)는 "부피"가 아닌 플랑크 단위의 "넓이"를 차지한다. 즉, 블랙홀 내부(3차원)에서 일어나는 모든 사건은 그 경계면인 '사건의 지평선(2차원)'에 고스란히 기록될 수 있다. 이것이 바로 우주 전체가 하나의 거대한 투영일 수 있음을 시사하는 홀로그래피 원리(Holographic Principle)의 본질이다.


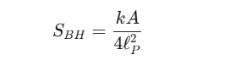
블랙홀의 엔트로피 공식을 보면 블랙홀이 품은 정보의 총량(엔트로피 S)은 부피가 아닌 면적(A)에 비례하며, 여기에는 이라는 기묘한 숫자가 등장한다. 왜 하필 1/4인가?

스크린샷 2026-03-01 093354.png A:사건의지평선 면적, Lp:플랑크 길이

블랙홀 엔트로피의 1/4은 3차원 정보를 2차원 경계면에 투사할 때 발생하는 '차원의 변환 비율'이다. 구의 겉넓이(4파이r의제곱)가 원의 넓이(파이r의제곱)로 압축되는 과정에서 1비트의 정보는 표면의 격자 4개를 점유하게 된다. 결국 블랙홀은 3차원의 우주 정보를 2차원 지평선에 픽셀 단위로 기록하는 우주의 최종 압축기라고 볼 수 있다.


138억 년의 데이터를 해독하여 찾아낸 우주의 설계도
밤하늘이라는 거대한 데이터베이스에서 시작된 탐험은 이제 우주의 엔진룸 깊숙한 곳에 도달했다.
은하들이 무질서하게 흩어진 데이터 ‘점(Point)’에서 출발하여 ‘2점 상관함수’라는 통계적 '선(line)'을 따라가다 보면, 그 끝에는 태초의 원시적 패턴 ‘바리온 음향 진동’이라는 '동심원(Circle)'이 자리한다. 복잡함에 매몰되지 않고 본질만을 추출하려 했던 미셸 에농의 통찰처럼, 단순한 수식 몇 줄을 통해 카오스 속에서 질서를 길어 올렸다. 그 결과 우리가 관측한 우주의 거대한 모습은 ‘코스믹 라이좀’이라 불리는 '뻗어가며 진화하는 형상'이었다. 또한 3차원의 정보를 2차원 지평선에 픽셀 단위로 기록하는 '정교한 기하학'이였다.
이제 우리는 밤하늘을 보며 단순히 별을 세는 단계를 넘어, 138억 년 전 양자 세계가 시공간이라는 캔버스 위에 새겨 넣은 ‘양자 코드’를 읽어내고 있다.

점과 선으로 우주의 본질을 그려내며, 우리는 비로소 하나의 거대한 통계적 걸작을 완성했다. 우주는 더 이상 알 수 없는 혼돈이 아니라, 정교하게 짜인 질서있는 기하학적 형상으로 우리 앞에 그 모습을 드러낸다.

unnamed (3).png

<참고자료 및 출처>
에농지도출처: 헤농 지도 | 형식과 공식 https://blbadger.github.io/henon-map.html
박창범의 순간들 https://youtu.be/eHWsjIVxZQQ?si=GJL-Xuim1rGqd2Hm 고등과학원 천체물리 여름학교 2025 은하거대구조 그림 인용 Credit:DESI Collaboration/NOIRLab/NSF/AURA/R. Procor
레너드 서스킨드. <블랙홀전쟁> 134p 글루온 그림 인용
<안될과학> 암흑물질 편 중원대 이재원교수편 https://youtu.be/zHh5qo4FfCM?si=shegFbGiaP4y4TNY 암흑물질 그림 인용 by ITC@University of Zurich,
브라인언콕스 저 <블랙홀> 367p 해피코드 그림 인용

제임스 글릭 저 <카오스>,215p
2점 상관함수 그래프 저자 재구성, 소크라테아 엑소리자 : 저자 촬영 사진

ppt자료 NotebookLM 생성


다음 화 예고.
우주는 어떻게 이토록 단순한 규칙 속에 무한히 확장되는 구조를 담아낼 수 있었을까? 카오스 이론의 수식은 힌트일 뿐, 그 기저에는 더욱 근본적인 해답이 숨어 있습니다.
그 정답은 의외로 명쾌합니다. “결코 만나지 않아야 한다.”
무한히 뻗어 나가되 서로를 침범하지 않는, 우주가 선택한 기막힌 설계 방식!
다음 시간에는 그 ‘만나지 않음’이 만드는 무한한 질서에 대해 이야기해 보겠습니다.




작가의 이전글 시간의 벽을 넘는 양자 블랙홀