HFT, 이익은 앞선 자에 집중된다.

High Frequency Trading

by Quant Bin

벌새는 1초에 수십 번 날갯짓을 한다. 종에 따라 초당 50회에서 90회 이상에 이르는 그 움직임은 인간의 눈에는 거의 떨림처럼 보인다. 하나의 동작이 아니라 미세한 진동의 연속이다. 생존을 위해 요구되는 기본 단위가 이미 인간의 감각 범위를 넘어선다.


금융시장에도 그런 세계가 있다. 1초에 수십 번, 많게는 수백 번 주문을 제출하고 취소하고 다시 배치하는 전략들. 겉으로 보면 과도해 보이는 이 빈도는 과시가 아니다. 그 세계에서의 최소 단위다. 느리면 배제된다.


HFT(고빈도 트레이딩)는 종종 속도의 산업으로 묘사된다. 초저지연 네트워크, 콜로케이션 서버, 마이크로웨이브 통신망, 나노초를 줄이기 위한 회선 경쟁. 그러나 이 모든 기술 투자의 목적은 단순하다. 먼저 가격을 가져오고, 먼저 체결되기 위해서다.


시장은 가격만으로 구성되지 않는다. 동일한 가격 안에도 순서가 존재한다. 호가창은 숫자의 나열이 아니라 대기열의 구조다. 같은 가격이라도 줄의 맨 앞과 맨 뒤는 전혀 다른 기대값을 만든다. HFT는 빠른 전략이 아니라 순서를 차지하는 전략이다.


밀리초 단위 체결 데이터를 들여다보면 하나의 특징이 반복된다. 체결은 균등하게 퍼져 있지 않다. 특정 순간에 집중된다. 미국 장 개시 직후의 E-mini S&P 500 선물 초단기 데이터를 보면, n초 구간 안에 수십 건의 체결이 연속적으로 발생하고 동일 가격 레벨의 계약들이 순식간에 소진되는 장면이 빈번하다. 그리고 그 직후 짧은 정적이 이어진다. 체결은 흩어져 있지 않고 군집을 이룬다.


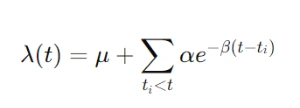
이 현상을 설명하는 대표적 모형이 Hawkes Process다. Hawkes 모델에서 체결 강도는 다음과 같이 표현된다.

여기서 μ는 기본 체결 강도이고 α는 자기흥분 계수이며 β는 감쇠 속도다. 한 번 체결이 발생하면 강도 λ(t)가 즉시 상승하고 이후 지수적으로 감소한다. 실제 초단기 데이터에서 기본 강도 μ가 초당 100건 이상, 자기흥분 계수 α가 그보다 큰 수준으로 추정되는 경우가 관찰된다. 이는 한 번의 체결이 추가 체결을 유발하고, 그 여파가 수 밀리초 동안 이어진다는 의미다.


이제 큐 포지션을 생각해보자. 특정 가격 레벨에 총 대기 물량이 2000계약이고, 체결 군집 구간에서 평균 1500계약이 소진된다고 가정하자. 군집 지속 시간은 15밀리초 내외라고 하자. 내가 줄의 맨 앞에 있다면 체결될 확률은 매우 높다. 그러나 내 앞에 900계약이 쌓여 있다면 확률은 급격히 낮아진다. 내 앞에 1800계약이 있다면 사실상 체결 기회는 거의 없다.


이를 확률적으로 표현하면 체결 확률은 다음과 같이 쓸 수 있다.

화면 캡처 2026-02-28 131933.png

여기서 V_T는 구간 T 동안 발생한 체결량이고 Q_ahead는 내 앞에 있는 물량이다. 단순 포아송 가정에서는

이고 체결 확률은

로 계산된다. 하지만 Hawkes 구조에서는 λ가 고정된 값이 아니라 순간적으로 폭증한다. 체결이 몰리는 찰나에 줄의 앞에 있던 주문은 연속적으로 체결을 받는다. 뒤에 있던 주문은 같은 가격을 보고도 아무것도 받지 못한다. 같은 가격, 다른 순서, 전혀 다른 결과다.


이제 기대 수익을 수치로 계산해보자. 기대 수익은 다음과 같이 표현된다.

화면 캡처 2026-02-28 132023.png

여기서 s는 스프레드 수익, L은 불리한 가격 이동 손실, p_adv는 adverse selection 확률(불리한 체결 확률)을 의미한다.


1틱의 가치가 12.5달러, 스프레드 수익 s가 0.25틱, 불리한 가격 이동 손실 L이 0.5틱인 상황이라 가정하고, 3가지의 참가자 상황을 살펴보자.


먼저 맨 앞에 서 있는 참가자의 체결 확률이 0.98이고, 불리한 체결 확률이 0.15라고 가정하면, 체결 1회당 기대 틱은 0.25 − 0.15 × 0.5 = 0.175틱, 여기에 체결 확률 0.98을 곱하면 전체 기대값은 0.98 × 0.175 = 0.1715틱이다. 이를 달러로 환산하면 0.1715 × 12.5 = 약 2.14달러이기에 주문 한 번을 시도할 때 평균적으로 2달러 이상의 기대값이 남는 구조다.


그러나 큐에서 밀려 두 번째 참가자로 내려오면 상황은 급변한다. 체결 확률이 0.55로 떨어지고 불리한 체결 확률이 0.35로 상승한다고 가정하자. 그러면 체결 1회당 기대 틱은 0.25 − 0.35 × 0.5 = 0.075틱, 여기에 체결 확률 0.55를 곱하면 0.04125틱이며, 달러로는 약 0.52달러다. 맨 앞에 있을 때와 비교하면 기대값이 네 배 가까이 줄어든다.


더 뒤로 밀려 체결 확률이 0.05 수준이고 불리한 체결 확률이 0.6까지 높아진다면 상황은 역전된다. 이때 체결 1회당 기대 틱은 0.25 − 0.6 × 0.5 = -0.05틱이 된다. 체결이 되기만 하면 평균적으로 손해라는 뜻이다. 여기에 체결 확률 0.05를 곱하면 전체 기대값은 -0.0025틱, 달러로는 약 -0.03달러가 된다. 몇 밀리초 차이로 줄 선 위치가 바뀌었을 뿐인데, 기대값은 양수 2달러에서 거의 0을 거쳐 음수로 전환된다.


이것이 HFT의 구조다. 이 시장은 선형적으로 보상하지 않는다. 겉으로 보면 1등과 2등의 차이는 몇 마이크로초에 불과해 보인다. 그러나 기대값의 차이는 비선형적으로 벌어진다. 체결은 군집되고 군집은 앞선 자에게 집중된다. 뒤에 선 자는 체결 기회를 잃거나, 정보가 반영된 이후에 불리하게 체결된다.


글로벌 상위 마켓 메이커들이 막대한 비용을 들여 초저지연 인프라를 구축하는 이유는 단순한 과시가 아니다. 그들은 실시간으로 체결 강도를 추정하고 큐 포지션을 예측하며 조건부 adverse selection 확률을 계산한다. 점유율이 높을수록 더 많은 데이터가 쌓이고, 더 많은 데이터는 더 정교한 강도 추정으로 이어진다. 이는 다시 더 나은 큐 포지션 확보로 연결된다. 양의 피드백 구조다. 구조가 구조를 강화한다.


이 세계에서 속도는 수단이다. 본질은 순서다. 체결은 몰려서 오고 이익은 앞선 자에게 집중된다. 시장은 겉으로는 개방되어 있지만, 미시구조 차원에서는 극도로 경쟁적이다.


결국 의미 있는 것은 하나다.


"줄의 맨 앞에 서는 것"

작가의 이전글Lead라 쓰고, Stress라 읽는다.