brunch

8퍼센트 투자 가이드

기술적 투자로 무손실 도전

by 에잇퍼센트

8퍼센트 A등급인 채권은 예상불량률이 0.78%이다. 1년 만기인 A등급 채권 100개가 있다고 생각해보면, 각각의 채권이 불량이 발생할 확률은 0.78%이다. 따라서 하나의 채권이 온전히 상환될 확률은 (1-0.78%)이고, 100개가 전부 잘 상환될 확률은 아래와 같다.

eq1.JPG A등급 채권 100개가 전부 잘 상환될 확률

8퍼센트 A등급 100개 채권 중 한 개 이상의 채권에 불량이 발생할 확률이 54.30% (1-45.70%) 정도로, 불량이 하나도 발생하지 않을 확률보다 하나 이상 발생할 확률이 8.6%p 더 높은 것이다. 따라서 발행된 채권이 500개가 넘는 상황에서 불량의 발생은 굉장히 자연스럽다. 만약 모든 투자자들이 한 채권에만 투자한다면 원금의 절반가까이 손실을 입는 투자자들이 항상 발생하게 된다.


불량 채권이 발생하였을 때 개별 투자자들을 보호해 줄 수 있는 것은 분산투자와 안심펀드이다. 8퍼센트의 분산투자 가이드라인은 같은 금액을 30~50개 이상의 채권에 투자하는 것이다. 실제 8퍼센트 채권에 투자한 것을 시뮬레이션한 결과는 다음과 같다.


투자 시뮬레이션 비교 (500만 원)


A. 10개 채권- 50만 원씩 투자 (442~451호)

B. 50개 채권- 10만 원씩 투자 (442~491호)


minmax.JPG 시뮬레이션에서 가능한 연간 세후 복리 수익률의 최대수익률과 최저수익률.


hist10.jpg A. 8퍼센트 442호~451호 10개 채권에 동일한 금액을 투자한 것을 시뮬레이션한 결과 분포.


최고수익률 : 6.9%

평균수익률 : 5.16%

최저수익률 : -9.5% (10,000,000회 시뮬레이션 중 최대 부도 7건 발생한 경우)

위험(standard deviation) : 1.54%

위험당 초과수익률(Sharpe ratio) : 2.44 (세후 무위험 수익률 1.4%)


hist50.jpg B. 8퍼센트 442호~491호 50개 채권에 동일한 금액을 투자한 것을 시뮬레이션한 결과 분포.

최고수익률 : 7.00%

평균수익률 : 5.13%

최저수익률 : 0.2% (10,000,000회 시뮬레이션 중 최대 부도 15건 발생한 경우)

위험(standard deviation) : 0.63%

위험당 초과수익률(Sharpe ratio) : 5.92 (세후 무위험 수익률 1.4%)


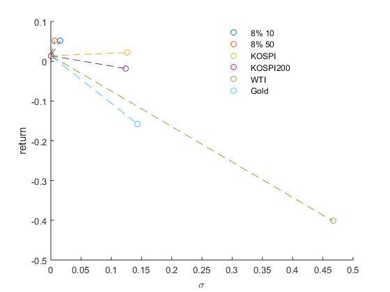
투자판단에 있어서 고려해야할 것은 두 가지가 있는데, 첫째로는 수익성이고 둘째로는 위험도(변동성)이다. 수익성을 세로축으로, 위험도를 가로축으로 해서 그래프를 그리면 다음과 같이 된다.



SR2.jpg A, B는 위 시뮬레이션 결과이고, 다른 투자자산의 경우는 2015년 연초부터 12월 28일까지의 결과를 바탕으로 계산한 결과.



수익성이 높을수록, 위험도가 낮을수록 좋은 투자자산이기 때문에 그래프 상에서 왼쪽 위에 위치한 상품일수록 투자자산으로서 우수한 성과를 낸다고 할 수 있다. 위험도가 0인 것은 무위험수익률로서, 세후 1.4%를 사용하였다. 각각의 투자자산은 무위험수익률 대비 초과수익률과 위험도의 비율로서 평가할 수 있는데, 이를 샤프지수(Sharpe ratio)라고 한다. 위 그래프에서 샤프지수는 무위험자산과 위험자산을 연결한 직선에서의 기울기와 같다. 이 기울기가 높을수록 위험대비 성과가 우수하다고 할 수 있다.


같은 금액을 30개 채권만 투자해도 상당히 괜찮은 성과를 보일 것으로 예상된다. 갯수를 늘리면 더욱 더 안정성이 강화되면서 Sharpe ratio가 높아지는 것을 알 수 있다. 이것은 소액금융(microfinance)의 장점으로서, 8퍼센트에서는 큰 경제적인 충격이 오지 않는 이상 예상불량률만큼 부도가 나더라도 상당히 우수한 성과를 낼 것으로 기대하고 있다.



부도 발생 시뮬레이션 (실제 불량률 기준)

최대한 보수적으로 등급별 예측 불량률만큼 불량이 발생하고 불량인 채권 모두 부도로 처리된다고 가정하고10,000,000번의 시물레이션한 결과, A는 부도 7번 발생, B는 부도 15번 발생하였습니다. 이는 10,000,000분의 1 의 확률로 발생하는 부도로, 이는 로또 1등의 당첨의 확률보다 낮은 확률입니다. B는 10,000,000회의 시뮬레이션에서도 최저수익률이 양수가 됩니다 즉, 아주 높은 확률로 원금 이상의 수익을 실현하는 포트폴리오입니다. 개별 채권들의 상환이 서로 영향을 미치지 않는다고 가정하였습니다.



8퍼센트에서는 위와 같이 최악의 상황을 가정해 스트레스 테스트를 실시하고, 이 결과를 바탕으로 안정성을 제고하여 투자자의 자산을 보호하기 위해 노력하고 있습니다. 투자 고객님께서는 위험에 대해 인지하시고 반드시 분산 투자를 해주셔야 부도에 대한 위험을 낮추실 수 있습니다. 이를 위해 8퍼센트에서는 한 투자자가 투자할 수 있는 금액을 채권 당 일정 기준에 따라 제한하고 있습니다.

또한 '투자자 안심 펀드’를 통해 부도가 발생하더라도 원금의 일부를 보호할 수 있도록 안전한 투자를 돕고 있습니다.


8퍼센트에 투자하러 가기 >>

keyword
매거진의 이전글P2P 대출, 처음인가요?