brunch

2022년 한국 수출은 정말로 박살났을까?

by 하부팤


(CNBC) 한국, 사상 최악의 무역적자 기록




https://www.cnbc.com/2023/02/01/south-korea-posts-the-worst-trade-deficit-in-its-history.html



최근에 위의 기사와 같이 우리나라가 14년만에 첫 무역적자를 기록했다는 뉴스를 접했다. 그리고 내가 본 해당 기사에 대한 많은 사람들의 반응의 대부분은 '수출이 망해서 무역수지 적자가 발생했다.'였다. 무역수지는 수출 - 수입의 결과물이다. 그렇다면 과연 무역수지 적자가 실제로 수출이 망해서 나온 결과인지 확인해보고 싶어졌다. 기사와 정부기관에서 인용하는 수출입 관련 데이터는 관세청 자료를 활용하기에 이 글에서 사용하는 수출입 관련 데이터도 모두 관세청 데이터를 인용하도록 하겠다.


우선 우리나라의 전체적인 수출금액, 수입금액 그리고 무역수지가 어떤 추세로 지금(`22년)까지 왔는지 살펴보자.


%ED%95%9C%EA%B5%AD_%EC%A0%84%EC%B2%B4_%EC%88%98%EC%B6%9C%EC%9E%85%EA%B8%88%EC%95%A1_%EB%B0%8F_%EB%AC%B4%EC%97%AD%EC%88%98%EC%A7%80_%EC%B6%94%EC%9D%B4.png?type=w1


`22년 수출금액은 6,837억 달러로 코로나 직전의 최대금액보다 높은 수치를 달성했다. 반면에, 수입금액 또한 코로나 직전의 최대금액과 `22년의 수출금액을 상회하는 7,312억 달러를 달성했다. 이 같은 수입금액의 큰 증가로 인하여 이전부터 하락 추세였던 무역수지 금액은 큰 폭으로 하락하여 `22년 454억 달러 적자를 기록했다.


`22년 무역수지 적자의 근본적인 원인을 찾으려면 `22년 수입금액의 구성을 확인해봐야한다. 최근 5년동안 우리나라의 주요 수입품목 내역을 확인해보자.


%EC%88%98%EC%9E%85%EC%A0%84%EC%B2%B4%ED%92%88%EB%AA%A9.png?type=w1
%EC%97%B0%EB%A3%8C%EC%88%98%EC%9E%85%EC%B6%94%EC%9D%B4.png?type=w1


사실 위의 그래프는 대부분의 사람이 예상할 수 있는 내용이다. 에너지 사용량의 대부분을 수입에 의존하는 한국에게 닥친 에너지 가격 상승은 무역수지에 치명적일수 밖에 없다. 게다가 에너지(광물성 연료)의 수입량은 코로나 이전 시기보다 적은 규모지만 수입금액은 오히려 약 2배가량 상승했다. 급격한 에너지 수입금액의 상승은 단지 에너지를 많이 수입해서가 아닌, 에너지 가격의 가파른 상승이 원인임을 알 수 있다.


여기까지 내용을 정리하다보니 에너지가 수입금액을 이렇게 캐리하고 있는데 우리 반도체는 어디서 뭐함? 생각이 들었다. 열심히 Tap키를 누르며 우리팀 KDA를 확인하고 정글러의 위치를 찾는 마음으로 우리나라의 주요 수출품목 내역을 찾아봤다.



%EC%88%98%EC%B6%9C%EC%A0%84%EC%B2%B4%ED%92%88%EB%AA%A9.png?type=w1


에너지 수입은 역대급 리즈시절을 갱신했지만 반도체 수출은 그정도까지 힘을 내지 못했다. 대신 그 외 품목인 정유제품(광물성연료)이 코로나 이전의 수출규모를 뛰어넘었고 자동차 또한 과거 대비 높은 수출규모를 달성함으로써 `22년 수출금액 6,837억 달러 달성에 기여하였다.


수입품목과 수출품목 내역을 본 결과 수입품목은 에너지 품목이 압도적인 1황이고, 수출품목은 반도체 1강 그리고 그 외 품목이 적당한 존재감을 보여주는 모양새다. (`17년에 살짝 등장하고 사라진 선박은 우리나라가 원래는 선박 강국이였음을 간만에 상기시켜준다....또륵....) 여기에서 좀 더 나아가 구체적으로 우리라나 수출입에서 반도체와 에너지의 비중이 어느정도인지 확인해보자.


%EB%B0%98%EB%8F%84%EC%B2%B4%EC%97%B0%EB%A3%8C%EB%B9%84%EC%A4%91%EB%B9%84%EA%B5%90.png?type=w1


최근 우리나라 수출을 언급할 때 주로 반도체 위주로 언급하기에 반도체 원툴 수출국가로 오해하기 쉽다. 하지만 반도체의 수출 비중은 오히려 감소하고 있으며, 이는 위에서 언급한 그 외 품목들(정유제품, 자동차 등)의 수출호조 덕분이다. 대조적으로 수입에서는 원자재 가격 상승의 영향으로 전체 수입에서 에너지(광물성 연료)가 차지하는 비중이 과거보다 크게 증가했다.


현재까지의 내용을 종합하면,



수출은 역대급을 달성했다. 그리고 수입은 ☆★역대급★☆을 달성한 영향으로 무역수지 적자 발생


반도체 원툴이 아닌, 그 외 수출품목 호조의 영향으로 수출금액 역대급 달성


에너지 가격 상승으로 인하여 수입금액 역대급 달성(수입규모는 오히려 감소했음에도 불구)



(행복회로) 에너지 가격이 진정되면 수입금액이 감소할 것이고 무역수지 흑자전환 가능. 게다가 주력 수출품목이였던 선박이 40분 0/10/0으로 탑에서 버틴 나서스마냥 왕귀를 준비 중.


* http://www.datasom.co.kr/news/articleView.html?idxno=126013


(기사 내용)우리나라 전세계 선박 수주량 1위 차지 - 데이터솜

지난해 우리나라 조선산업 발주량이 전세계 발주량의 37%를 차지해 2018년도(38%) 이후 최대 수주 점유율을 기록한 것으로 나타났다.





(절망회로) 에너지 가격은 잡히지 않고 반도체 사이클 종료의 영향으로 무역수지 ★폭파☆ 가능.


* https://www.hani.co.kr/arti/economy/marketing/1077916.html


(기사내용) SK하이닉스 1조7천억 적자 쇼크…“감산 계속하고 투자 절반 축소”


뇌내 빅데이터로 모든 경우의 수와 가능성을 고려하고 애니멀 스피릿으로 판단한 결과 행복회로 결과가 발생할 가능성 50%, 절망회로 결과가 발생할 가능성 50%라고 생각한다. 고로 앞으로 무역수지는 오를수도, 내릴수도 있다. 신뢰구간 100% 달성!


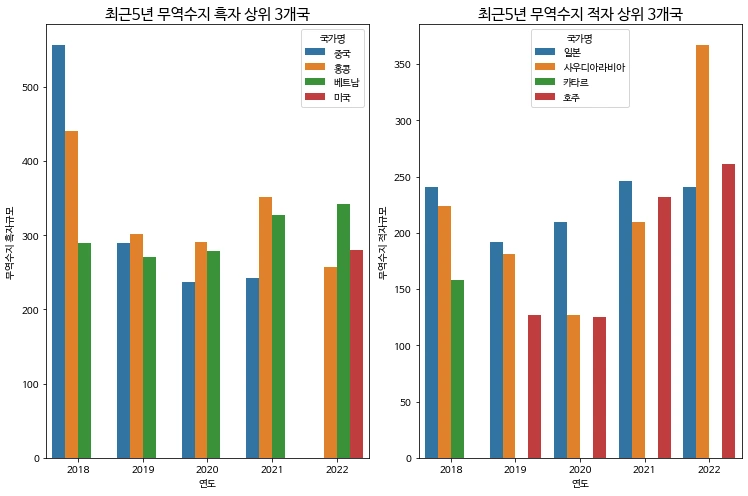
지금까지 `22년 무역수지 적자를 중심으로 수출과 수입에 대한 내용을 정리하였다. 지금까지의 정리에도 불구하고 여전히 남는 의문점은 '왜 `18년즈음부터 무역수지는 하락추세로 전환하였는가'이다. 이 의문점을 해소하기 위하여 `18년부터 `22년까지 무역수지 흑자 및 적자 상위 3개국을 확인해보자.



%EC%B5%9C%EA%B7%BC5%EB%85%84_%EB%AC%B4%EC%97%AD%EC%88%98%EC%A7%80_%ED%9D%91%EC%9E%90%EC%A0%81%EC%9E%90_%EC%83%81%EC%9C%84%EA%B5%AC%EA%B0%80.png?type=w1


좌측의 연도별 무역수지 흑자 상위 3개국을 먼저 살펴보자. 가장 눈에 띄는 국가는 중국과 미국이다. 중국은 이전부터 우리나라의 대표적인 무역수지 흑자국이였으나, `18년 무역수지 흑자 556억 달러 흑자 달성 이후 규모가 감소하기 시작하였고 `22년도에는 무역수지 12억 달러 달성하며(작고 소중하다) 상위 3개국에서 사라졌다. 반면에 미국은 `21년까지는 주요 무역수지 흑자국가가 아니였으나, 순식간에 `22년 무역수지 2위 국가로 등장했다.


우측의 연도별 무역수지 적자 상위 3개국은 특별히 주목할만한 결과는 아니다. 원자재 가격 상승의 영향으로 원자재 부국인 호주와 사우디아라비아의 무역수지 적자 규모가 크게 증가하였고, 일본의 무역수지 적자 규모는 다시 과거의 수준으로 회귀하였다.


왜 미국은 갑자기 무역수지 흑자 상위국가로 등장하였고, 왜 중국의 무역수지 흑자는 사실상 ★폭망★ 했을까? 우리나라와 미국,중국의 무역 내역을 세세하게 살펴보기 전에 우선 전반적으로 미국, 중국과의 무역에서 어떤 추이가 나타났는지 확인해보자.



%EB%AF%B8%EC%A4%91_%EC%88%98%EC%B6%9C%EA%B8%88%EC%95%A1_%EB%B0%8F_%EB%AC%B4%EC%97%AD%EC%88%98%EC%A7%80_%EC%B6%94%EC%9D%B4.png?type=w1


중국 수출은 꾸준히 증가하였고 과거보다 높은 수준을 유지하고 있으나 무역수지는 반등의 훼이크 무빙을 보여준 뒤 개미털기마냥 추락하고 있다. 반면에 미국 수출은 `20년부터 급격하게 상승하기 시작하였고 동시에 무역수지도 함께 상승하였다. 중국으로부터 뭘 그렇게 많이 수입했길래 무역수지가 이토록 박살났을까?


%EC%A4%91%EA%B5%AD%EC%83%81%EC%9C%84%EC%88%98%EC%9E%85%ED%92%88%EB%AA%A9.png?type=w1


`22년 중국으로부터 가장 많은 금액을 수입한 품목은 반도체와 리튬(화합물)이다. 반도체 수입규모는 소폭 감소하였으나 반도체 제품 및 부품 가격 상승의 영향으로 수입금액은 증가하였다. 리튬 수입규모는 크게 증가하였고 동시에 수입금액 또한 증가하였다. 반도체와 2차전지 모두 한국의 주요 수출품목이기에 현재와 같은 산업구조가 유지된다면 향후 중국 앞 무역수지 회복은 쉽지 않을것으로 예상된다.


* https://news.mt.co.kr/mtview.php?no=2022092915552332765


(기사내용)'84%' 치솟는 中 리튬 의존도···K-배터리, 다변화에 '사활' - 머니투데이

"하얀 석유"라 불리는 배터리 핵심 원료 리튬에 대한 중국 의존도가 갈수록 높아진 가운데 향후 수급 불안과 원산지 문제가 불거질 수 있단 우려가 커진...



* https://news.mt.co.kr/mtview.php?no=2022080815263831996


(기사내용)수입의 31%·수출의 43%…중국에 노출된 韓 반도체 리스크 - 머니투데이

우리 정부가 미국 주도 반도체 공급망 협의체 "칩4" 구성을 위한 예비회의 참석 의사를 공식화한 가운데 2020년 기준 우리 반도체 수입액의 31%, 수출액...


%EB%AF%B8%EA%B5%AD%EC%83%81%EC%9C%84%EC%88%98%EC%B6%9C%ED%92%88%EB%AA%A9.png?type=w1


`22년 미국에 가장 많이 수출한 품목은 자동차와 일반기계다. 자동차의 수출규모는 `19년도와 유사한 수준이지만 자동차 공급 부족 등으로 인한 가격 상승의 영향으로 수출 금액은 크게 상승하였다. 최근 발표한 현대자동차의 역대급 호실적은 이 같은 수출호조의 영향이라고 볼 수 있다.


* https://www.sejungilbo.com/news/articleView.html?idxno=41326


(기사내용)현대차, 지난해 영업이익 9.8조원…‘사상 최대’ 실적 - 세정일보 [세정일보]

현대자동차가 지난해 10조원에 육박하는 영업이익을 내며 사상 최대 실적을 기록했다.26일 현대자동차는 지난해 영업이익 9조8198억원으로 전년 대비 47% 증가한 것으로 잠정 집계됐다고 밝혔다. 매출은 142조527...


일반기계 수출 증가는 건설기계 부문이 주도하고 있으며, 이는 미국 인프라법 통과의 영향이라는 분석이 있다. 다만, 자동차와는 다르게 건설기계 부문의 주요 시장인 중국 수출 부진의 영향으로 관련 기업들의 실적은 고무적이지 않은듯하다.


* https://biz.chosun.com/industry/company/2022/10/21/UE4HRDA575FJBE75AKGIVNCQT4/


(기사내용)건설기계 수출, 美·유럽 늘어 3분기 성장 中 부진은 발목


추가적으로 확인해본 내용을 종합해보면,



중국 수출은 잘 되고 있으나, 수입이 너무 잘되다보니 무역수지 폭삭


미국 수출은 자동차가 캐리하는중


(뇌피셜) 중국 앞 무역수지 축소는 2차전지 산업의 부상에 따른 산업구조 변화의 과정으로 볼수 있지 않을까. 중국에서 수입한 리튬은 2차전지로 가공되어 어디론가 나갈테니.



찐막정리



수출은 역대급을 달성했다. 그리고 수입은 ☆★역대급★☆을 달성한 영향으로 무역수지 적자 발생


반도체 원툴이 아닌, 그 외 수출품목 호조의 영향으로 수출금액 역대급 달성


에너지 가격 상승으로 인하여 수입금액 역대급 달성(수입규모는 오히려 감소했음에도 불구)


중국 수출은 잘 되고 있으나, 수입이 너무 잘되다보니 무역수지 폭삭


미국 수출은 자동차가 캐리하는중



(행복회로) 에너지 가격이 진정되면 수입금액이 감소할 것이고 무역수지 흑자전환 가능. 게다가 주력 수출품목이였던 선박이 40분 0/10/0으로 탑에서 버틴 나서스마냥 왕귀를 준비 중.


(절망회로) 에너지 가격은 잡히지 않고 반도체 사이클 종료의 영향으로 무역수지 ★폭파☆ 가능.







keyword