6. 공간의 광막함과 시간의 영겁에서

[도서] 칼 세이건, 코스모스

by 애매한 인간 채도운

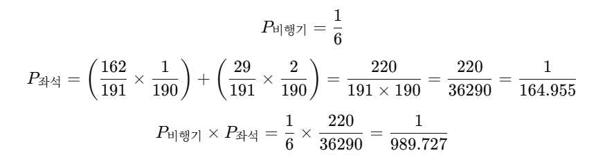
알랭 드 보통의 <왜 나는 너를 사랑하는가>를 보면 주인공이 한 여성, 클로이를 만나는 과정을 확률로 계산해 보며 '운명'으로 결정 내린다. 그날 파리에서 런던으로 가는 비행기는 여섯 편이었고, 한 비행기의 이코노미석은 191석이었다. 파리에서 런던으로 향하는 비행기는 여섯 편이었다. 그중 하나의 비행기를 선택할 확률은 6분의 1이다. 한 비행기의 이코노미석은 모두 191석으로, 세 좌석이 나란히 붙어 있는 줄은 29곳, 두 좌석이 붙어 있는 줄은 52곳이었다. 주인공이 먼저 자리에 앉았을 때, 클로이가 바로 옆자리에 앉을 수 있는 경우의 수는 모두 162가지였다. 이 중에는 옆자리가 하나뿐인 경우도 있고, 두 자리 중 하나를 고를 수 있는 경우도 포함된다. 이 모든 경우를 고려해 계산하면, 두 사람이 같은 비행기를 타고 하필이면 서로 옆자리에 앉게 될 확률은 989,727분의 1에 불과하다. 거의 일어나지 않을 것 같은 이 숫자 앞에서, 주인공은 계산을 멈춘다. 그리고 결론을 내린다. 이 만남을 우연이 아니라 운명이라고 부를 수밖에 없다고.

image.png


칼 세이건은 이 책을 앤 드류안에게 헌정하며 시작한다. "공간의 광막함과 시간의 영겁에서 행성 하나의 찰나의 순간을 앤과 공유할 수 있었음은 나에게는 하나의 기쁨이었다." 처음 이 말을 들었을 때 나는 뻐근한 가슴팍을 부여잡았다. 두근거림이 지나치면 심장이 아플 수 있다는 말이, 구체적으로 어떤 느낌인지 직접적으로 체감한 첫 순간이었다. 우주 내 은하 개수는 약 1,000 ~ 2,000억 개로 추정된다. 영국의 노팅엄대학의 크리스토퍼 콘셀리스 교수 연구팀은 그보다 훨씬 많은 2조 개 정도로 추산하기도 했다. 각각의 은하에는 저마다의 별이 있다. 우리 은하에도 1,000 ~ 4,000억 개의 별이 있다. 게다가 각 은하에는 적어도 별의 수만큼의 행성들이 있을 것이다. 그렇다면 질문은 더 또렷해진다. 이토록 많은 은하와 별, 그리고 셀 수 없이 많은 행성들 사이에서, 우리는 하필 우리 은하의 변두리 나선팔, 하나의 평범한 별인 태양 아래, 지구라는 작은 행성에서 같은 시대를 살아가며 서로를 만났을 확률은 얼마나 될까?


우리는 고개를 들어 서로의 얼굴을 바라보았다. 다시는 없을 공간의 광막함과 시간의 영겁에서 행성 하나의 찰나의 순간을 말이다. 그 시선을 통해서 <코스모스>는 더 이상 단순한 과학책이 아니라, 인문학책이자 철학책, 역사책 등등 그 모든 것이 될 수 있음을 깨달았다.

지금 바로 작가의 멤버십 구독자가 되어
멤버십 특별 연재 콘텐츠를 모두 만나 보세요.

brunch membership
애매한 인간 채도운작가님의 멤버십을 시작해 보세요!

뭐든 애매해. 공부도, 글쓰기도, 그림도, 요리도. 하지만 뭐, 애매한 것도 괜찮잖아?

3,359 구독자

오직 멤버십 구독자만 볼 수 있는,
이 작가의 특별 연재 콘텐츠

  • 최근 30일간 3개의 멤버십 콘텐츠 발행
  • 총 27개의 혜택 콘텐츠
최신 발행글 더보기
이전 06화5. 나를 이용하라, 나를 남용하라