"00세대가 온다"는 말이 비과학적인 이유

by 박진우

성격 차원에선 요즘 세대가 달라진 게 아니라, 요즘이 달라진 것이다.


조직에서 성격 이야기가 나올 때, 우리는 종종 이렇게 말한다.
“요즘 세대는 덜 외향적이다.”
“요즘 신입들은 불안이 높다.”
“세대가 달라서 어쩔 수 없다.”

그런데 최근 Journal of Personality and Social Psychology에 실린 연구는 이 익숙한 전제를 근본부터 흔든다(Roemer, L., Bonner, C. V., Rammstedt, B., Gosling, S. D., Potter, J., & Roberts, B. W. (2026). Beyond age and generations: How considering period effects reshapes our understanding of personality change. Journal of Personality and Social Psychology.).

흥미로운 점은, 이 연구가 성격을 특성(trait)으로 보는 관점을 부정하지 않으면서도, 우리가 그 특성을 어떻게 해석해 왔는지는 전면 수정하라고 요구한다는 점이다.


성격 변화 연구라고 해서 이 연구가 성격이 안정적 특성이라는 전제를 깨진 않는다.


이 연구는 성격심리학의 핵심 전제들을 그대로 유지한다.

- 개인 간 상대적 안정성(rank-order stability)

- 장기적으로 반복 관찰되는 발달적 평균 변화(age-graded change)

- 성격을 비교적 안정적인 개인차 변수로 다루는 심리학적 관점


논문 어디에도 “성격은 상황에 따라 매번 달라진다”거나 “trait 개념은 무의미하다”는 주장은 없다.

이 논문이 문제 삼는 것은 우리가 변화의 이유를 어디에서 찾았는가다.


성격 변화에는 세 가지 원인이 있다.


이 논문은 성격 변화의 원인을 세 가지로 명확히 구분한다.

- Age 효과: 나이가 들며 나타나는 발달, 성숙으로 인한 변화(역할 전환, 자기조절 능력 증가, 정서 안정화)

- Cohort 효과: 특정 출생 세대가 성장기 동안 공유한 사회화의 흔적(양육 방식, 교육 제도, 문화적 가치)

- Period 효과: 특정 시기의 사회, 기술, 경제 환경이 모든 연령층에 동시에 미치는 영향(팬데믹, 디지털화, 성과 압박 구조, 위험 인식 변화)


중요한 사실은 이 셋이 통계적으로 완전히 얽혀 있다는 점이다. 수식으로는 단순하다.

Age = Period − Cohort

그런데, 데이터만으로는 이 셋을 분리할 수 없다. 데이터끼리 서로 상쇄될 수 있기 때문이다.


세 사람이 동시에 줄을 잡아당기는 상황을 떠올려보자.

A는 오른쪽으로 강하게 당기고, B는 왼쪽으로 강하게 당기고 있고, C는 오른쪽으로 약하게 당기고 있다.

이 상황에서 결과적으로 줄은 거의 움직이지 않는다.

이때 C는 힘을 안 썼다고 말할 수 있을까?

아니다. C의 힘은 존재했지만, 다른 힘들에 의해 상쇄된 것이다.


그런데, 성격 연구는 오랫동안 period 효과에 거의 관심을 두지 않았다.

문제는 연구자들이 이를 명시적으로 부정했기 때문이 아니라,
연구 설계상 세 효과 중 하나를 암묵적으로 0으로 고정한 채 결과를 해석해왔다는 점이다.


횡단 연구는 동일한 시점에서 연령 차이를 비교하며,
관찰된 차이를 age 효과로 해석하기 위해 cohort 차이가 없다는 가정을 둔다.

종단 연구는 동일한 코호트를 추적하며,
관찰된 변화를 발달적 변화로 해석하기 위해 period 효과가 없다는 가정을 둔다.

세대 비교 연구는 같은 연령을 서로 다른 시점에서 비교하며,
관찰된 차이를 세대 효과로 해석하기 위해 period 효과를 0으로 가정한다.


그런데, 같은 데이터를 어디에 투영하느냐에 따라 전혀 다른 이야기로 읽힐 수 있다.

연령(age)으로 보면 성숙처럼 보이고, 출생 세대(cohort)로 보면 ‘요즘 세대’의 문제처럼 보인다.


이처럼 성격 연구의 핵심 문제는 어떤 효과가 존재하느냐가 아니라, 어떤 효과를 ‘없다고 가정한 채’ 분석해왔느냐에 있다. 이때 가장 자주 제거된 것이 period 효과였다.

“시대는 성격을 바꾸지 않는다”는 암묵적 믿음 때문이다.

하지만, 이 가정은 심리학적으로 타당할까?


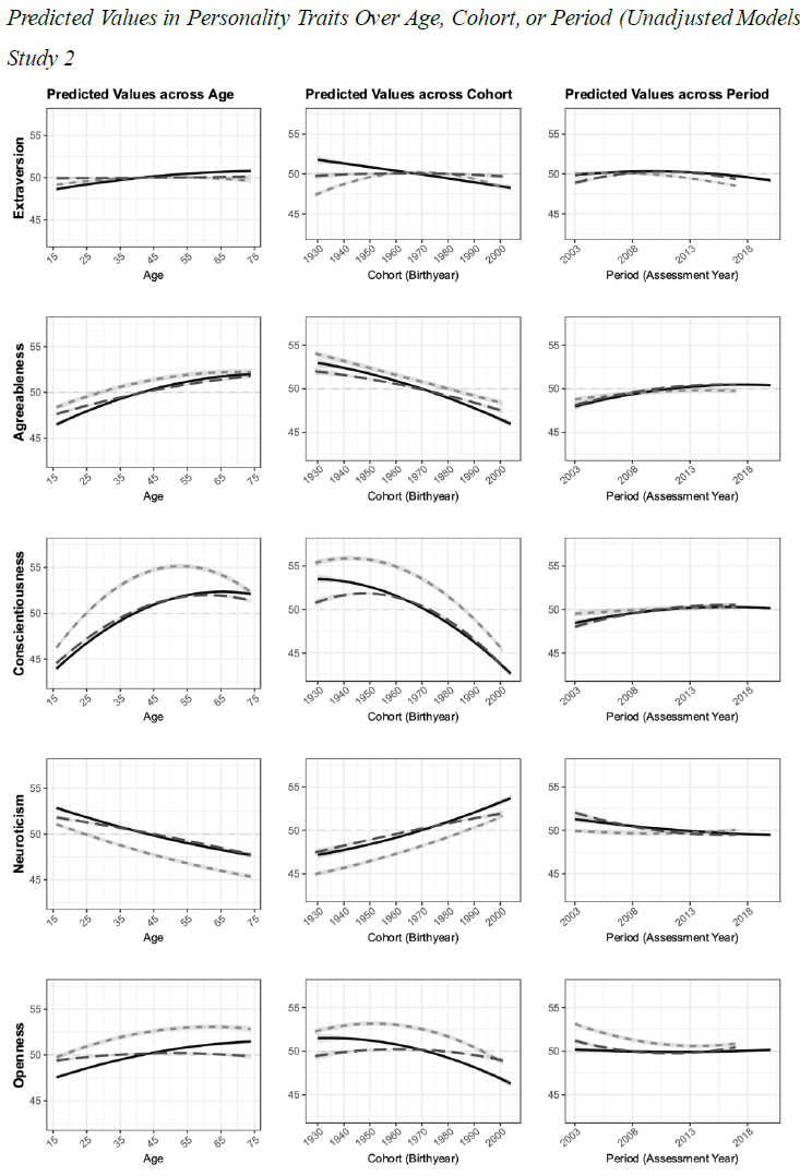
대규모 데이터가 보여준 진실


연구진은 2003–2022년, 200만 명 이상의 반복 단면 데이터를 활용해
“어떤 가정을 쓰느냐에 따라 세대 차이가 얼마나 달라지는지”를 직접 보여주었다.

핵심 결과는 매우 분명했다.

period=0이라는 가정을 쓰면, 세대 차이(cohort 효과)가 과장된다.

20260203_195729.png


그런데, Period가 0이 아니라는 가정을 쓰면, Age, Cohort, Period가 모두 기여하는 해석이 옳다.


예를 들면, 성실성의 경우, 독일을 제외한 다른 국가들에서 일관되게 증가 방향을 보이며, 0으로 고정할 이유는 없다.

20260203_202432.png


Big5 성격 전반적으로 살펴보면,

Cohort 관련 경향: 외향성·개방성·신경성 ↓ / 원만성 ↑

Period 관련 경향: 외향성·개방성·성실성 ↑의 모습을 보였다.


다시 말해, 뒤에 태어난 세대일수록(Cohort 경향)

평균적으로 덜 사람을 만나려 하고 (외향성 ↓)

새로운 것에 조심스러워지고 (개방성 ↓)

정서적으로는 오히려 덜 흔들리며 (신경성 ↓)

대인관계에서는 더 부드러워졌다 (원만성 ↑)


나이나 세대와 상관없이, 최근 시대로 올수록(Period 경향)

사람들과의 연결과 소통은 더 중요해지고 (외향성 ↑)

변화에 대한 개방성과 적응은 높아졌으며 (개방성 ↑)

일을 대하는 태도는 더 체계적·성과 중심이 되었다 (성실성 ↑)


세대 효과(cohort)는 집안 분위기가 조금씩 달라진 것이고

시대 효과(period)는 집 자체가 리모델링된 것이다.

그래서 우리는 젊은 세대와 함께 사는 집이 바뀌었는데도,
“요즘 애들은 성격이 달라”라고 말해왔을 가능성이 크다.


다시 말해, 우리가 “요즘 세대가 달라졌다”고 부른 현상 중 상당 부분은,

사실 '요즘'이라는 시대가 모든 연령층에 동시에 작동한 결과일 수 있다.


문제는 이 변화가 젊은 세대에게만 나타난 것처럼 해석되어 왔다는 점이다.
과거 세대 역시 같은 시대 효과(period effect) 속에서 함께 변해왔지만,
연구 설계와 해석은 그 변화를 개인의 발달이나 세대 고유 특성으로 환원해 왔다.


쉽게 말해, 사람들은 '자신의 젊은 과거 시절'과 '젊은 세대의 현재'와는 비교했지만,
'과거의 자기 자신'과 '현재의 자신'과는 비교하지 않았다.


그렇다면 period 효과는 특성인가, 상태인가?


논문에서 말하는 period 효과는 상태가 아니다.

- 디지털 상호작용 방식

- 조직이라면 성과 평가의 속도와 가시성

- 실패 비용과 낙인 구조

- 사회적 불확실성의 상시화


이런 요소들은 수년, 수십 년 지속되며, 사람들의 행동 레퍼토리와 자기조절 방식을 구조적으로 바꾼다.

즉, period 효과는 trait를 무너뜨리는 힘이 아니라, trait가 발현되는 평균 위치를 이동시키는 힘이다.


이 논문을 조직 맥락으로 번역해보자.


세대 차이를 느끼는 것은 정말 세대 문제인가, 아니면 환경의 문제일까?


불안이 높아진 직원이 있다면 개인 성향일까, 아니면 상시 평가 환경 때문일까?

외향성이 낮아진 팀이 있다면 세대 특성일까, 아니면 협업 구조의 변화 때문일까?

성실성이 높아진 구성원이 있다면 성숙한 덕분일까? 아니면 과잉 통제에 대한 적응 때문일까?


요즘 세대가 문제다라는 말에는 우리가 한 가지를 놓치고 있을 가능성이 크다.

바로, 사람이 바뀐 게 아니라, 시대가 바뀐 탓일 가능성이다.

그 차이를 구분하지 못하면, 우리는 계속 성격을 진단하면서 환경은 방치하게 된다.


작가의 이전글갈등을 줄이려면? 1. 논리, 2. 정서, 3. 도덕성