brunch

[브런치북] 행복이 최우선 순위다?

자기계발서, 새빨간 거짓말

by 박진우

누구나 행복을 원한다. 행복하기 위해 사람들은 애쓴다. 누군가는 현재의 행복을 위해, 다른 누군가는 미래의 행복을 위해 인생을 산다. 행복은 삶의 질을 평가하는 매우 중요한 잣대다.


유엔 산하 자문기구인 지속가능발전해법네트워크는 매년 '세계 행복보고서'를 공개한다. 이 기구는 2012년부터 국가별 국내총생산, 기대수명, 사회적 자유, 부정부패, 관용, 미래에 대한 불안감 등 7개 항목의 3년 치 자료를 토대로 행복지수를 산출해 순위를 매겨왔다. 2022년 기준 대한민국은 조사 대상 146개국 중 59위다. 참고로 1위는 핀란드고 우리와 비슷한 나라는 일본(54위), 그리스(58위), 필리핀(60위), 그리고 꼴찌는 아프가니스탄이다. 북한은 조사 대상 국가가 아니다.


그런데, 행복에 우선 순위를 두고 인생을 사는 것이 과연 더 행복해지는 방법일까?


구글북스 엔그램 뷰어(Google Books Ngram Viewer)에서 '행복'이라는 키워드로 검색해보면, 그동안 출간된 책에서 '행복'이 얼마나 자주 언급되는지 도표로 확인할 수 있는데, 아래 그래프에서 보는 것처럼 우리사회에서 '행복'이 최근 매우 큰 관심을 받은 것을 확인할 수 있다. 같은 기간, '행복'의 영단어인 'happiness'의 검색 결과와 비교해봐도 우리나라가 상대적으로 행복에 급격히 빠져있음을 알 수 있다. 조금 과장해서 표현하자면, 우리나라는 행복 몰입을 넘어서 행복 중독 사회다.




내친 김에, 우리말 '행복'을 중국어, 일본어와 비교해 보자.



출간된 책은 언어의 사용 인구 별, 양의 차이가 있으니 이를 감안하여 추세(얼마나 가파른지)가 어떤지를 중심으로 살펴보자. 중국어가 가장 가파른 상승세고, 우리말, 일본어 순이다. 그런데, 국가별 행복 순위에서 우리는 59위, 일본은 54위, 중국은 72위다. 한-중-일 국가에서 행복을 중요하게 생각하는 정도는 국가별 행복 순위와 정확히 반대다.


행복을 더 강조하는데, 더 불행해지는 역설적 현상이 나타난 것이다.


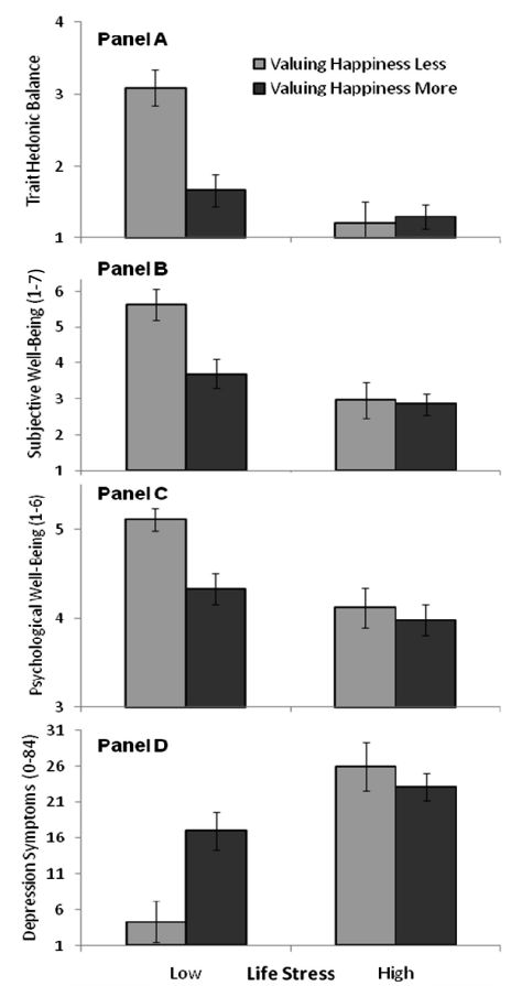
UC 버클리 심리학과 이리스 모스(Iris Mauss) 교수 등의 연구진은 행복에 높은 가치를 두고 추구하는 것이 오히려 불행해지는 방법일 수 있다고 주장한다. 특히, 삶의 스트레스가 낮고 큰 불만이 없는데, 굳이 행복을 추구하는 것은 오히려 해가 된다. 스트레스 수준이 낮은 사람들이 행복에 가치를 두는 것은 덜 행복하고 더 괴로워지는 지름길이다. 그렇다고 스트레스 수준이 높은 사람들이 행복에 가치를 두는 것에 장점이 있는 것도 아니다. 스트레스 수준이 높으면 행복에 높은 가치를 두고 살던, 낮은 가치를 두고 살던 그냥 불행하다.


출처: Mauss, I. B., Tamir, M., Anderson, C. L., & Savino, N. S. (2011, April 25). Can Seeking Happiness Make People Happy? Paradoxical Effects of Valuing Happiness. Emotion.


결국, 행복에 가치를 두는 것은 현재 삶의 스트레스가 높든, 낮든 전혀 도움이 안된다. 이후, 모스 교수 등의 연구진은 다른 연구에서 지나치게 행복을 추구하는 것이 조울증을 유발할 수 있다고 경고한다. 실험에 참가한 사람들 중, 행복에 지나치게 높은 가치를 두는 사람들이 조울증 증세를 보이거나 우울증을 보고할 가능성이 높았다(Ford, B. Q., Mauss, I. B., & Gruber, J. (2015). Valuing happiness is associated with bipolar disorder. Emotion, 15(2), 211.).


왜 이런 일이 벌어진 것일까?


행복에 높은 가치를 두는 것은 더 높은 수준의 행복 경험을 추구하게 한다. 일상의 소소한 행복 경험에서 충분히 만족하지 못한다는 의미다. 행복에 큰 가치를 두는 사람들은 삶에 큰 스트레스가 없음에도 충분히 행복하지 못하다고 스스로 불안을 초래한다. 살면서 나만의 행복, 더 가치있는 행복이 있을 것이라는 환상에서 벗어나는 것이 더 행복해지는 방법이다. 그저 지금, 여기에 이렇게 사는 것으로도 만족하는 태도가 필요하다. 내가 누리고 있는 일상을 소중히 여기는 것이 현재 가장 행복할 수 있는 최선의 대안이다.



keyword
작가의 이전글1등만 기억하는 것은 과학적으로 불공정하다.