brunch

EP.33[반도체업계 취업하기#11]MODEL PDK

회로설계에서 가장 중요한 PDK

by 도체반쌤

안녕하세요! S전자 회로설계 엔지니어, 도체반쌤입니다. 오늘 소개드릴 내용은 회로설계에서 가장 중요한 PDK(Process Design Kit), MODEL입니다. MODEL PDK를 제대로 이해하기 위해서, EP.25 Design Methodology 관련 내용을 한 번 다시 읽고 이 글을 읽어보시는 것을 추천드립니다!

https://brunch.co.kr/@docheban77/29


반도체 소자는 공정산포, 온도조건에 따라 다른 model(ex. I-V Curve 등)을 가집니다. 반도체 소자가 어떻게 움직이는지 공식은 전자공학책에 잘 정리가 되어 있죠.

출처 : BSIM4 manual(https://cmosedu.com/cmos1/BSIM4_manual.pdf)


이 글에서 설명드릴 부분은 다음 두 가지입니다.

1. MODEL PDK 안에는 어떤 정보가 있는지?
2. SPICE Simulation 이 무엇인지?


1. MODEL PDK 안에는 어떤 정보가 있는지?


BSIM4 Model(https://cmosedu.com/cmos1/BSIM4_manual.pdf)은 트랜지스터의 움직임을 모델링하기 위한 공식들과 공식에 필요한 다양한 변수(Parameter)를 Guide 하고 있습니다. Berkeley 대학교에서 개발한 User manual을 전 세계 회로설계에 활용하고 있는 것이니, Berkeley 대학교가 대단하다는 말밖에 나오질 않네요.:D

출처 : BSIM4 manual(https://cmosedu.com/cmos1/BSIM4_manual.pdf)

MODEL PDK는 공정을 제공하는 파운드리 회사가 만드는 Design Platform입니다.

1. MODEL이라는 Design Platform을 만들기 위해서 가장 먼저, 파운드리는 공정에서 제공하는 모든 소자들의 실제 Silicon에서의 움직임을 확인합니다. 실제 Silicon에서의 움직임이란 공정산포 및 온도조건에 따른 소자들의 실제 특성을 의미합니다.

2. 그리고 이 Data를 파운드리 MODEL PDK 엔지니어에게 전달합니다.

3. MODEL PDK 엔지니어는 소자들의 Silicon 특성을 확인한 뒤, BSIM4 모델 가이드에 수록된 변수(Parameter)를 소자 별로 정의함으로써, 공식의 결과 값이 Silicon 특성이 되도록 Fitting 하는 작업을 진행합니다.

즉, MODEL PDK는 특정 공정의 소자 별 변수들이 수록되어 있답니다.


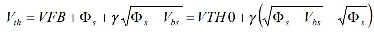
예를 들어, 실제 Silicon 특성을 확인해 보니 NMOSFET 소자의 온도 별 문턱전압 특성이 아래와 같다고 해봅시다.

NMOSFET 온도 별 문턱전압 Silicon 측정 결과 예시

BSIM4 모델에서 문턱전압 수식은 아래와 같고, KT1, KT1L, KT2 가 대표적인 변수(Parameter)라고 볼 수 있습니다. 따라서, MODEL PDK 엔지니어는 NMOSFET의 온도 별 Silicon 측정 결과가 수식으로도 재현되도록 KT1, KT1L, KT2 Value를 Fitting 하고 해당 값을 MODEL PDK 안에 수록합니다.

출처 : BSIM4 manual(https://cmosedu.com/cmos1/BSIM4_manual.pdf)
출처 : BSIM4 manual(https://cmosedu.com/cmos1/BSIM4_manual.pdf)


2. SPICE Simulation 이란 무엇인지?

SPICE Simulation 은 Synopsys의 HSPICE라는 Tool 혹은 Cadence의 Spectre라는 Tool을 활용하는데, 이 Tool 들은 BSIM4 모델 Guide에 수록된 수식들을 계산해 주는 계산기 정도로 이해하시면 되겠습니다. 다양한 트랜지스터로 구성된 회로의 움직임을 확인하고 계산하기 위해 회로 연결 구성과 MODEL PDK를 인풋으로 넣고 SPICE Simulation을 진행하면, 해당 회로의 특성을 수학적으로 계산할 수 있게 됩니다. 공정 산포 및 온도 조건 그리고 전압 조건을 바꾸어가면서 SPICE Simulation을 진행하는 것은 내가 설계한 회로가 실제 Silicon에서 내가 의도한 설계대로 잘 동작할지 미리 확인하는 절차라고 이해하시면 되겠습니다.


MODEL PDK는 회로설계 엔지니어에게는 정말 정말 정말 중요한 PDK입니다. 사실 오늘 다룬 내용이 다소 방대하고 어려울 수 있는 내용이기 때문에 MODEL PDK에서 중요한 점은 다음 시간에 다루도록 하겠습니다!

keyword
작가의 이전글EP.32 도체반쌤 프로필 설계