brunch

일과 역학적 에너지

by Izac

W(일) =F(힘)XS(이동거리) 라는 건 다들 알고 계실 겁니다.

기본적으로 우리는 등가속도 운동에 대해서만 배우고 있으므로, 작용하는 F(힘)도 일정하다고 가정을 해봅시다.

F X S 식을 시간에 따른 식으로 보기 위해 약간 변형을 해보겠습니다.

img.png

fig-1

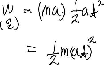
그러면 힘과 이동거리는 fig-1그림과 같이 바꿀 수 가 있는데요, 정리를 하자면 아래 fig-3 그림과 같이 일이 표현되게 됩니다.

img.png

fig-2

자 그러면 일이라는 물리량이 요상한 모양으로 표현이 되는데요, 여기서 작은괄호 안의 (at)값에 대해서 잠깐 살펴보겠습니다.

등가속도 운동에서 at의 값은 속도의 변화량 이었습니다. 그렇다면 가해준 일은 결국 운동에너지로 바뀐다는 사실을 알 수 있습니다.

img.png

여기까지가 운동에너지가 왜 1/2*m*v제곱 인지, 등가속도 운동하는 물체가 받는 '일' 적인 측면에서 살펴본 것입니다.

굳이 이 내용을 몰라도, 우리가 일직선 상에서 운동을 설명할 때, 위치에너지 변화는 없기 때문에 가해진 일이 모두 운동에너지로 바뀐다고 생각하고 있습니다.

img.png

fig-3

자 그러면 본론으로 돌아와서, 위 그림처럼 일직선 상의 물체의 에너지와 속도를 구하는 문제가 있습니다. 자동차는 등가속도 운동을 합니다 물론.

다시한번 말하지만, 등가속도 운동을 하는 것은 일정한 힘을 받는 것입니다.

그렇다면 차량에 작용하는 힘은 일정하며, 각 a,b,c,d 점에서 운동 에너지의 양은 거리에 비례해서 표현이 될 것입니다.

img.png

fig-4

즉, b지점에서 운동에너지는 2

c 지점에서 운동에너지는 a~c구간 까지힘을 받은 것이므로 2+1 =3

d 지점의 운동에너지는 3+3= 6 의 비례값으로 각 지점에서의 운동에너지의 비를 알 수 있습니다.

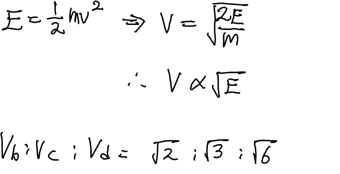
자 그렇다면, 마지막으로 속도 비는 어떻게 될까요?

질량은 일정하고, 속도의 제곱에 운동에너지량이 비례하므로 각 지점의 속도비는 fig-4 에너지 비에 루트 를 씌워준 값이 되겠습니다.

img.png

fig-5

참고로, a지점은 출발지점이라 가정했기 때문에 속도가 0으로 간주하고 b,c,d 지점에서의 물리량만 구한 것입니다.

결론은,

1. 운동에너지가 왜 1/2*m*v제곱 인지, W(일)적인 측면에서 결국 두 물리량은 같다는 것을 보여드리고 싶었고

2. 그렇다면 등가속도 운동에서 물체는 일정하게 힘을 받으며, 결국 거리에 비례하는 일을 받습니다.


3. 이렇게 받은 일은 '일직선' 상에서의 운동이라면, 모두 운동에너지로 전환됩니다. 따라서 곧 받은 일의양이 운동에너지 증가량이 됩니다.

4. 속도는 운동에너지에 루트를 씌운값에 비례하므로, 속도비 또한 구할 수 있게 됩니다.

오늘은 일직선 상에서 운동에 대해 간략하게 정리를 해봤습니다.

반드시 이러한 유형은 속도와 연관되서 출제되는 필수 유형 중에 하나이므로 자기만의 방식이나 생각으로 정리하시길 추천드립니다.

keyword
작가의 이전글가속도 a 란?