brunch

컴공생의 AI 스쿨 필기 노트
① 선형회귀분석

Linear Regression

by Elice 엘리스

전세계가 AI first를 외치고 있습니다. 엘리스에서는 인공지능 오프라인 교육과정인 AI 스쿨을 운영하고 있는데요. 16주에 걸친 교육 과정 중 인공지능 개론과 알고리즘에 대한 이론 수업의 필기노트를 8주간 연재합니다!

1*xYaZ7MOYTwOQZRRUS2rVpQ.jpeg


지난 5월 8일 구글의 연례 개발자 콘퍼런스 I/O에서 구글은 구글 듀플렉스라는 새로운 AI 기술을 선보였습니다. 구글 듀플렉스가 직접 미용실에 전화를 걸어서 예약에 성공하는 이 시연은 매우 인상적인 장면이었는데요. 국내의 여러 기업에서도 이미 인공지능 스피커를 출시하는 등 우리의 일상 생활 곳곳에도 인공지능 기술이 스며들고 있습니다.

IDC, Tractica, Markets and Markets 등 글로벌 시장조사기관들은 2020년까지 세계 인공지능 시장이 연평균 50% 이상 가파르게 성장할 것이라고 예측하기도 합니다. 이미 세계 각국의 주요 IT 기업들은 AI 시장에서 영역을 넓히고 경쟁력을 확보하고자 전력을 투입하고 있는데요. 국내 기업들 역시 인수합병과 조직개편 등으로 인공지능 기술과 인재 확보를 위해 발 빠르게 움직이고 있습니다.


엘리스에서는 IT 분야 및 연구 기관에 취업하고자 하는 분들을 위한 오프라인 교육과정을 운영하고 있습니다. 지난해에 이어 올해에는 양재 RNCD 혁신허브와 함께 인공지능 R&D 실무자 양성과정을 운영하게 되었는데요! 이론 수업(8주)과 팀 프로젝트(6주), 커리어 코칭 과정(2주)로 이루어진 이번 과정은 수료증 및 입사 추천서 발급, 테크니컬 인터뷰와 포트폴리오 준비, 국내 IT 기업과의 채용 연계 등으로 구성되어 있어 관련 분야에 취업을 희망하시는 분들의 많은 관심이 있었습니다.

300명 가까운 분들이 지원해주셨고, 이 중 선발 과정을 거친 40여 명의 분들이 16주간 오프라인+온라인 교육을 받게 되었습니다. 이 중 기계학습과 알고리즘 개론에 대한 8주간의 교육 내용을 앞으로 8주간 여러분과 함께 공유하고자 합니다. 컴퓨터 공학과에 재학 중인 AI 스쿨 수강생이 직접 필기노트를 공유해 준다고 하니 함께 AI 개론에 대해서 공부해 봐요. :)






안녕하세요! 저는 숭실대학교 컴퓨터학부 4학년에 재학 중인 대학생이에요. 저는 평소에 AI에 대해 관심이 많아서 제대로 된 교육을 받고 싶어서 이번 과정을 수강하게 되었어요. 앞으로 AI 스쿨에서 받는 수업이 제가 AI 엔지니어로 성장할 수 있는 밑거름이 될 것이라고 생각해요. 아직 배우는 단계이기 때문에 많이 부족하지만 앞으로 8주 동안 이 글을 통해서 함께 공부한다고 생각하며 그 주에 배운 내용을 요약해보려고 합니다!

AI 스쿨 첫 수업에서는 ‘Linear Regression(선형 회귀)’에 대해 배웠어요. 대학교 2학년 때 전공 과목으로 ‘선형대수학’이 있었는데요, 배우면서 이런 학문은 도대체 어디에 쓰이는지 혹시 필요 없는 것을 배우느라 시간 낭비를 하는 것은 아닌지 힘들게 공부했던 기억이 나네요. 그런데 제가 읽은 한 기사에서 미국의 연구팀이 ‘장기적인 공기 정화 노력이 성장기 아이들의 폐기능을 개선시켰다’는 연구 결과를 증명한 후 캘리포니아 남부지역에서 ‘공기오염의 질 관리 정책’을 시행하여 오염 수준이 꾸준히 감소하고 있다는 내용이 있었는데요. 연구팀은 공기오염의 감소와 소아 호흡기 질환의 개선 사이에 개연성을 평가했고 이 연구에서 사용한 방법이 선형회귀분석(linear regression model)이라고 해요!


첫 수업에서는 앤드류 응 교수님 강의 자료의 쉬운 예시를 바탕으로 Linear Regression(선형회귀)을 공부했어요.


0*bf0yz290aDHf6Q9N.


이 예시에서는 집 크기에 관한 정보 하나로 집의 가격을 예측하는 할 수 있는 데이터가 있다는 가정을 하고, 이 가정이 직선의 방정식 y = ax + b의 형태를 따른다고 가정했어요.



인공지능은 예측을 기본으로 다루는데, 우리는 과거의 데이터를 학습함으로써 최적의 예측 모델을 만들게 돼요.



이때 다루는 데이터를 Training set이라고 부르고, m은 학습 데이터의 숫자, x는 입력 변수 또는 feature, 그리고 y는 출력 변수 또는 타깃 변수라고 불러요.


image-(4).png


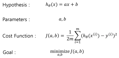
기존의 Training set으로 Learning 알고리즘을 학습시키면 그 학습된 부분이 h, 즉 가설이 돼요. h를 통해서 우리는 어떠한 집 크기에 대한 예측된 가격을 구할 수 있어요. 그런데 이때 보다 정확히 예측을 하려면 error를 최소로 하는 a, b의 최적의 값을 설정해야 해요.


0*7GleJqWz3gDfphmC.


우리의 모델인 직선의 방정식을 통해 오차가 적은 예측값을 얻기 위해서는 a와 b에 어떠한 값을 넣어야 좋을까요? 위에서 언급했듯이 우리에게는 주어진 학습 데이터가 있죠. 이를 이용하여 최적의 값을 도출해야 해요. Cost function 이란 a, b가 주어진 학습 데이터인 Training set을 가장 적은 오차로 표현하고 있는지 알 수 있는 방법인데요. Loss function 또는 Objective function이라고도 해요. Linear Regression에서는 Cost function으로 Squared error function을 사용해요. Squared error function 이란 가설에 Training data의 입력값을 넣었을 때의 출력값과 해당 입력값에 대한 training data의 실제 출력값의 차를 제곱하여 이용하는 방법이에요.

그렇다면 우리는 a, b를 어떻게 구할 수 있을까요? 이 방법을 산을 내려가는 예시를 통해서 쉽게 이해할 수 있었어요.


0*7PMP2EH66HfatbGq.


만약 깜깜한 밤에 산꼭대기에서 길을 잃었다면 랜턴을 키고 주변을 살펴본 후 아래로 내려가는 길을 찾아 그 방향으로 내려가고, 도달한 지점에서 또다시 랜턴을 켜 주변을 살펴 아래로 향하는 길로 가야 산 아래까지 내려갈 수 있겠죠. 이것이 최적의 a, b를 구하는 Gradient descent의 기본 방식이에요.


0*K3eHJ8nL4rAKyK8N.


Gradient descent는 임의의 a, b를 지정한 후, 그 점으로부터 감소하는 기울기를 구간을 찾아 이동하는 것을 반복함으로써 해를 구하는 방법입니다!


이번 주 수업의 과제로는 Loss Function과 Linear Regression을 구하는 과제가 주어졌어요. 첫 번째 과제인 만큼 난이도가 많이 높지는 않았지만 파이썬이 익숙하지 않다면 조금 헷갈릴 여지가 있는 문제였던 것 같아요. 강의를 해주신 주재걸 교수님께서는 첫 시간에 배운 개념들이 Linear regression에서 뿐만 아니라 인공지능, 머신 러닝, 딥러닝 분야에서 많이 쓰이기 때문에 첫 시간에 배운 것만 제대로 이해하고 가도 많은 것을 얻어 가는 것이라고 하셨어요. 위의 개념에 대해서 다른 자료들도 찾아보면서 공부하고, 다음 필기 노트로 만나요!


* 이 글은 AI스쿨 - 인공지능 R&D 실무자 양성과정 1주차 수업에 대해 수강생 최유진님이 작성하신 수업 후기입니다.

keyword