brunch

컴공생의 AI 스쿨 필기 노트
⑤ 베이즈 결정이론

Bayes Decision Theory

by Elice 엘리스

이번 5회차 수업에서는 베이즈 결정이론(Bayes Decision Theory)과 가우시안 혼합모형(Gaussian Mixture model)에 대해 배웠어요.

1980년대 이후 세계 금융시장에서 위험관리를 계량화한 것은 확률이론, 그중에서도 ‘베이즈 정리’가 있었기에 가능했어요. 이전의 경험과 현재의 증거를 토대로 사건의 확률을 추론하는 알고리즘 덕분에 온갖 파생상품이 탄생했어요. 그런데 베이즈 정리는 오랫동안 금기시됐는데요. 주관적인 믿음을 측정하기 때문에 합리적이지 않다는 이유에서였다고 해요. 하지만 베이즈 정리의 활용도는 갈수록 커지고 있어요. 암호 해독부터 전쟁 중 의사결정, 실종된 사람이나 선박의 위치 추정, 암 발병률 예측, 스팸메일 걸러내기 등 무한대에 가깝다고 해요. 이번 필기노트에서는 베이즈 결정이론에 대해 알아볼게요.


Bayes Decision Theory


베이즈 결정이론은 패턴 인식을 위한 통계적 접근 방법이에요. 베이즈가 제시한 통계적 방법을 통해 의사 결정을 하는 방법이죠. 전통적 통계 방식은 통계적 추리를 할 때 표집으로 얻은 정보만 사용해요. 베이지안 확률이 전통적 통계 방식과 다른 점은 학습자가 기존에 가지고 있는 사전 정보를 활용한다는 것인데요. 불확실한 상황에서 통계적으로 얻은 정보를 가지고 의사 결정을 해야 하는 경제학, 경영학 등 여러 분야에서 많이 사용되고 있어요.
베이즈 결정이론에 사용되는 베이즈 정리(Bayes rule)에 대해 간단한 예시를 들어볼게요.

우리가 은행 지점장이라고 가정해봐요.
고객에게 돈을 빌려줄 수는 있지만 아무에게나 막 빌려줄 수는 없겠죠?


1.png

그래서 은행 고객을 high-risk, 즉 돈을 빌려줘도 안 갚을 확률이 높은 고객과 low-risk, 즉 돈을 빌려주면 갚을 확률이 높은 고객으로 나눌 거예요.


2.png

그런데 은행 고객이 돈을 갚을지 안 갚을지를 판단하는 기준이 있어야겠죠? 그래서 고객의 연봉(yearly income)과 현재 은행 계좌 보유금액(savings)을 가지고 판단할 거예요. 이렇듯 변수가 두 개만 있을 때 우리는 이항분포를 사용해서 의사를 결정해요. 위에서는 두 가지 고객이 존재하므로 이항분포를 사용해서 고객에게 돈을 빌려줄지 여부를 결정하죠.


3.png

결정을 내릴 때는 확률이 큰 쪽을 선택할 거예요. 확률이 큰 쪽을 선택하는 것은 이성적인 판단이기 때문이에요. 그래서 고객 x가 high risk일 확률(P(C=1|x)이 x가 low-risk일 확률(P(C=0|x)보다 크다면 1이라는 결정을 내리고, 작다면 0이라는 결정을 내려요.

하지만 우리가 내리는 결정에도 error(=risk)가 존재하겠죠?

4.png

확률의 합은 항상 1이고 결정은 항상 P(C=1|x)나 P(C=0|x) 중 확률이 큰 쪽이기 때문에 1에서 그 확률을 빼면 그 결정의 error가 돼요.

베이즈 결정이론은 이처럼 분류하고자 하는 물체들에 대해서 사전 정보가 주어지는 경우에 사용이 될 수 있는 이론이에요.


Bayes’ rule


베이즈 결정이론에는 베이즈 정리(Bayes’ rule)가 사용되는데요. 자세히 살펴볼게요.


%EC%BA%A1%EC%B2%98.PNG?type=w773

- P(C) : prior probability(선행 확률, 특정 사건이 일어날 것에 대한 추가 정보를 획득하지 못한 확률)로 여기서는 x가 어떤 값을 가지든 C가 1일 확률을 말해요.
- p(x|C) : likelihood(우도, C가 주어졌을 때 조건부 확률) C가 주어졌을 때 x를 가지고 있을 확률을 말해요. 따라서 x값에 따라 확률이 달라져요. 예를 들어 p(x|C = 1) 은 C가 1인 즉 high risk인 고객이 x를 가지고 있을 확률을 나타내요.
- p(x) : evidence(증거)는 C와 상관없이 x가 나타날 확률이에요.
- p(C|x) : posterior probability(사후 확률)로 우리는 사후 확률을 기반으로 아래와 같이 decision을 내려요.


IlLZvSeZa3fIe6K3rg3Z2Jf0o8GfImadzCw0nnRcy7WiY_uGzCh3EoTiLSS9B-gOXFNzClfn-x0wvt_VG6ukcYDfsCH0EJztnayTtwAmRPGiqjkugbbhaww4BT9jsf79p4BBtPHW


위의 예시처럼 두 가지 고객만 있는 상황(이항분포)이 아니라 K명의 고객이 있는 경우(다항분포)는 어떻게 계산할까요? 이 경우에도 베이즈 정리가 적용되는데 식이 조금 달라져요.


wCwDdMqtfaplThHFMhV17eFTs6A1AnCyn6bhfVGuhrbx902lqladCEz1qBxvqTRSSuwT9CNxIWOJJ6GMAEl6Ju8AjlUp8A9AHzhe8-oFb60S-jhlpTkQeOKL6IJ4t7eCzx5PRmCR


p(x) 구하는 식만 달라지고 나머지는 위에서 봤던 예시와 같아요.
그리고 이항분포의 error는 1에서 둘 중에 큰 확률을 뺐듯이 다항분포의 error도 아래와 같이 구해요.


ezP6KBG-S_Bg-gWlg4OWh-4qzCYTxXYal49R9VW5ArkEBNXRCgbRVkxBDb4WJgDkJ25y_Lh-famNb7Aj6c8nvWisCUT4T_tsZMGwL2WWIDDYBK9kOwgc4QU2r0w-bW_m5GORSjEk



Loss and Risk


위의 이항분포에서는 고객에게 돈을 빌려줌으로써 돈을 못 받는 손실(Loss)이 존재하고 돈을 못 받을 것 같은 고객에게 빌려주지 않음으로써 생기는 손실이 존재해요. 이 중 어떤 것이 더 손실이 적을지 생각해봐야겠죠?

의사 결정을 하는 행동(action)을 αi라고 했을 때 αi에 대한 손실을 λik라고 정의할게요.

yqMiCoDI2sehfBsRkhpUBh93oOjHqhcFOEA5LVcj6WC0qlwymg9HucV1dj2YDi8SIQgYVEqTA73VQrXTbqzpdAIiM0PLTeGm0fT90XWFHeK7UoKnCnzKcqjrvxs50FVI9x76PxYt

위의 식은 예상되는 손실값이에요. 이 손실값은 실제로는 k인 상황이지만 행동 αi를 취해서 생기는 손실이에요.

_eSk47T083dZDqLuhOAyvRWVVzHGI7HDwnq3ZSgHVlyhkDibr6aWJLUUCDBda9gg7-SK8yG3vHcRsY2oL9rXocY689JsGNb6CA9_TdMRrse3BPBBAvon7606kVTq-u_4cXNDegfI

손실을 줄여야 하기 때문에 가장 작은 손실이 생기는 행동을 취해야 해요. 따라서 위의 식을 보면 argmin함수를 이용해서 k개의 행동 중 가장 작은 손실을 취해요.


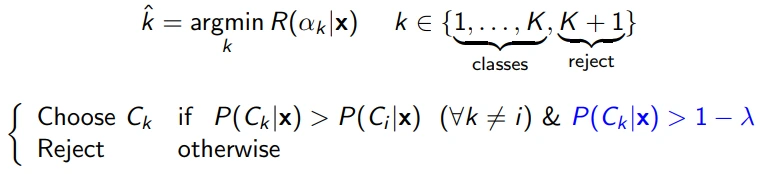
Reject


의사 결정이 어려운 경우에는 의사 결정을 피하는 것이 더 적절한 경우도 있어요. 이때는 어떠한 행동도 하지 않는 행동 αK+1을 추가해요.

Jo6U4xcEGl7mwEnDntEszltIH3Z5Hrg12c4nj3e1QwYpKZk7aC6wpa_5VmzEGLOTCeNeGhk0M2atADtSlYM9MdV34CjPKhMPDBpDl-DXpewUzutmDsaf3o4bQUOlPt1UJxpG1XXE

action αK+1을 추가하면 αK+1에 따른 손실 λik 또한 하나가 더 늘어요.

Qv6TAMltr5-UnHU_4HoJA9gzz-WJsEePRWc09GpA_MPPAw1SYiRwLa43y_BYm8QH4Iqpijtg8uw8L9ocOXi5FXkzHJjlE4kGdq9F497W_2FpT7biL0JngxzPgdxb5cUKh3aMBqUd

위의 수식은 reject 행동을 포함했을 때 결정을 내리는 식인데 간단하게 참고하시면 될 것 같아요.


이번에는 베이즈 결정이론에 대해 자세하게 다뤘는데요. 이번 수업은 교수님께서 많은 것을 가르쳐주셔서 저 같은 초보자가 듣기에 조금 힘든 점이 있었어요.

벌써 8주차 이론수업의 절반 이상이 지났는데요. 5주 동안 배운 많은 이론들을 코드로 능숙하게 표현하는 데에는 많은 노력이 필요하겠지만, 이만큼 왔다는 것만으로도 뿌듯한 기분이 들어요. 8주차부터 시작하게 될 팀 프로젝트에서 실력 발휘를 하기 위해서 더 열심히 수업에 임해야겠어요!


* 이 글은 AI스쿨 - 인공지능 R&D 실무자 양성과정 5주차 수업에 대하여 수강생 최유진님이 작성하신 수업 후기입니다.

keyword
매거진의 이전글컴공생의 AI 스쿨 필기 노트 ④ 교차 검증과 정규화