수학 속 마법의 번역과정

라플라스 변환

by 공학하는 우주인

오늘은 라플라스 변환에 대해 알아보자. 라플라스 변환은 공학 및 물리학에서 굉장히 많이 쓰이는 수학의 마법이다. 이 마법은 주로 복잡한 미분방정식을 대상으로 삼는데, 그러한 방정식을 단순한 대수 방정식으로 탈바꿈시켜 문제해결을 매우 편하게 만들어준다. 쉽게 비유하면, 어려운 한자 문장에 담긴 뜻이 파악이 안 될 때, 이를 쉬운 우리말로 번역해서 푼다고 볼 수 있을 것이다. 이때, 라플라스 변환은 그 번역 과정에 해당한다.

엄밀하게 라플라스 변환은 함수를 대상으로 한다. 한문 문장을 집어넣으면 한국어 문장이 나오듯이, 함수 f를 집어넣으면 그것을 변환한 함수 F가 나온다. 이렇게 보면, 라플라스 변환은 함수에 관한 함수이다. 이게 무슨 말이냐? 함수를 집어넣으면 함수가 나온다는 것이다. 이것은 어떻게 보면 대응 관계라 볼 수 있으니 함수라 할 만하다. 이때 대상이 되는 함수와 결과로 나오는 함수는 본질적인 차이가 있는데, 그것은 바로 정의역(domain)의 차이이다. 대상이 되는 함수는 주로 시간(time=t)의 함수이고, 결과로 나오는 함수는 주파수(s라 한다.)의 함수이다.

많은 독자들이 고등학생 때, 수학에서 위치/속도 문제나, 물리에서 역학 문제를 한 번쯤은 풀어본 경험이 있을 것이다. 그때의 기억을 더듬어 보면, 우리가 다루었던 시간 t는 언제나 양수였다. 이것은 라플라스 변환에도 그대로 적용이 되어 우리는 앞으로 t가 0 이상이라고 둘 것이다.


위에서 결과로 나오는 함수가 주파수(s)를 정의역(domain)으로 한다고 말했다. 번외로 이런 경우에 함수가 s-domian을 가진다고 말한다. 당연히 시간의 경우에는 t-domain이다. 다시 돌아와 설명을 진행하면, 우리가 다룰 s는 복소수까지 확장한 개념이 될 것이다. 복소수란 무엇인가? 복소수는 고등학교 때, a+bi 라 정의한 그것이다.


이제 본격적으로 라플라스 변환을 다뤄보자. 거두절미하고 식으로 바로 들어가자. 함수 f(t)를 변환한 함수를 F(s) 라 하면, 아래와 같은 관계가 성립한다.

이것은 인간이 만든 개념이다. 다시 말해, 위의 공식은 자연에서 발견한 것이 아닌 인간이 “약속”한 것이다. 이제 다음 장부터 실제 계산을 진행해보자.

라플라스 계산을 직접 해보자. 가장 간단한 함수부터 시작해보자. 가장 간단한 함수라 하면 무엇이 떠오르는가? 아마 많이들 f(t)=1이 떠오를 것이다. 한 번 해보자.

그림2.png

엄밀한 수학적 계산보다는 라플라스 변환에 대한 소개를 목적으로 하는 글인 만큼, 정확한 수학적 과정(이상적분 등)은 생략하고 간단히 계산을 해보았다. 그 결과는 1/s. 그렇다! 1이라는 함수의 라플라스 변환값은 1/s인 것이다.


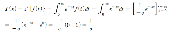
하나만 더 해보자. 이번에는 f(t)=t를 해보도록 하자.

그림3.png

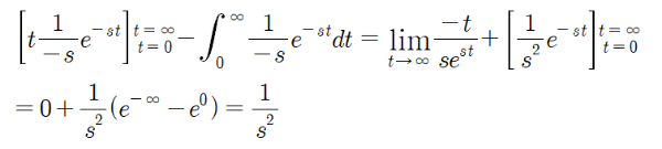
이런! 계산이 간단하지가 않다. 여기서 부분적분을 해보자.

그림4.png

아! 고로 t의 라플라스 변환은 s의 -2제곱인 것이다.


이런 식으로 우리는 온갖 함수들의 라플라스 변환결과를 구해볼 수 있다. 계산이 걱정된다고? 다행히 우리는 선조(?)들이 이미 해놓은 표를 이용할 수 있다. 그 표의 일부를 보면 아래와 같다.

2024_11_04-491e4c0958a34c4ce497ea4b927214ae.png

공대생이라면 누구나 배우는 라플라스 변환에 대한 이번 글이 모두에게 도움이 되길 바라면서 마무리를 해본다.

작가의 이전글수열? 함수열?