brunch

8. 디락 델타의 적분과 바람직한 선교

바람직한 선교는?, 절대자는 없지만 느끼는 무엇

by 솔찬 이규봉
8-1.JPG

산티아고로 가는 길


우리나라 남쪽에는 지리산이 있다. 남한에서 가장 높은 천왕봉을 주봉으로 하는 산으로 산세가 매우 험하여 과거 해방 정국에 세칭 빨치산들이 활약하던 곳이다. 대한민국의 어두운 현대사가 짖게 배어 있는 이 산 둘레를 걸어서 돌 수 있도록 2012년 지리산 주변의 다섯 개의 시군을 이어 완성했다. 사시사철 지리산의 정취와 옹기종기 모여 있는 100여 개의 마을을 보다 쉽게 돌아볼 수 있게 되었다. 필자는 이 길을 주말과 방학을 이용해 근 한 달에 걸쳐 돌아본 적이 있다.

제주도에는 올레길이 있다. 섬 둘레와 중산간을 걸으면서 갈 수 있어 제주만의 독특한 맛을 느낄 수 있다. 이러한 길이 인기를 끌면서 자치단체마다 산책길을 만드는 것이 유행이 되었다. 지금은 전국 곳곳에 산책할 수 있는 다양한 길들이 있다. 예전에는 주로 등산을 하였다. 등산을 한다면 반드시 산 정상을 올라가야 하는 것으로 알고 있었다, 등산의 묘미는 정상 정복이었다. 그러나 이제는 의미가 많이 달라졌다. 굳이 정상을 정복하려 하지 않고 주변을 산책하며 소통하는 것을 선호하게 되었다. 즉 정복에서 소통으로 의미가 바뀌며 말 그대로 다양성을 존중하고 생명과 평화를 지양하는 문화가 도래했다. 그러자 제주 올레길의 모델이 된 프랑스에서 스페인으로 넘어가는 일명 ‘산티아고로 가는 길(Cameno de Santiago)’이 세상의 관심을 많이 받고 있다.

한 달을 넘게 꾸준히 걸어야 완주할 수 있어 대단한 끈기를 요구하는 이 낭만적인 길을 걷거나 또는 자전거로 완주하면 인증서를 받을 수 있다. 다양한 목적으로 전 세계에서 관광객들이 산티아고로 가는 길로 끊임없이 가고 있다. 그러나 수도 없이 많은 발걸음을 간직한 이 길도 코로나19가 전 세계로 퍼지며 잠시 인적이 드문 고독을 맞이하며 평화를 누리고 있다.

산티아고로 가는 길을 걸으며 스페인의 농촌 풍경을 품에 가득 안고 낭만을 느낄 수 있겠으나 이 길은 역사적인 슬픔을 간직하고 있다. 9세기 초 아스투리아스 왕국의 알폰소 2세가 예수의 형제로 알려진 성 야고보의 무덤에 성당을 세우고, 야고보를 스페인의 수호성인으로 봉하면서 이 길은 유럽에 알려졌다. 유럽 기독교 국가들의 시민들이 성지 순례에 나서면서 자연스럽게 이베리아 반도를 지배하고 있던 당시 이슬람 세력을 축출하기 위한 국토수복운동(Reconquista)으로 연결된다.

1189년 교황 알렉산더 3세는 스페인의 기독교 왕국을 지원하기 위해 야고보의 묘를 성지로 선포하고 산티아고로 가는 길을 걷는 사람의 죄를 감해준다는 칙령을 발표했다. 걷기만 하면 자신의 죄가 사해진다는 그 말에 수많은 기독교인들이 죄의 사람을 받기 위해 몰려들었다. 기독교는 사람들이 태어나면서부터 죄를 지니고 나온다는 교리를 갖고 있다. 이른바 원죄론이다. 그래서 늘 죄인이고 그 죄의 사함을 받아야 한다는 강박관념에 빠져 있지 않겠는가? 그들 중 일부는 이슬람 세력과 싸우게 되고 기독교 세력은 점차 확장되었다. 1492년 페르난도와 이사벨라 스페인 여왕은 이슬람 최후의 거점인 그라나다를 정복함으로써 국토회복운동을 완성하였다. 그 결과 오늘날 스페인의 영토가 그려졌다.

이 길은 스페인의 국토를 회복하는 데 매우 큰 기여를 했으나 그 과정에서 큰 비극이 벌어졌다. 이사벨라 여왕은 스페인을 가톨릭 국가로 만들기 위해 인종청소에 가까울 정도로 이슬람교 신자와 유대교 신자들을 축출했다. 개종을 거부하는 이교도를 화형에 처하거나 재산을 몰수하고 국외로 추방시켰다. 가톨릭의 탐욕으로 일어난 십자군 전쟁 때도 역시 이 길을 통하여 스페인의 많은 십자군이 예루살렘으로 갔고 많은 희생자가 났다.

스페인의 가톨릭 세력은 20세기까지 이어졌다. 가톨릭 교회는 1936년 합법적으로 구성된 좌파 성향의 연립정부를 인정하지 않고 쿠데타를 일으켜 내전으로 이어지게 한 군부세력인 프랑코의 파시스트 세력을 지원했다. 이 전쟁에서 쿠데타 세력이 승리하면서 파시스트 정부가 수립되어 수없이 많은 사람들이 무법적으로 살상되고 사라졌다. 프랑코가 사망하고 민주 정권이 수립되자 가톨릭이 국민의 반감을 사며 영향력을 상실할 것을 우려한 교황 요한 바오로 2세가 1987년 이 길을 거쳐 산티아고를 방문하여 다시 세상에 알려졌다고 한다.

이 길을 걸으면서 이와 같은 역사적인 사실을 되새겨 보는 것은 어떨까? 이국적인 전원 풍경에 낭만만 생각하지 말고 겉으로만 이웃 사랑을 부르짖고 자신들의 이익만 탐하는 종교인들에 의해 희생된 수많은 영혼들을 떠 올리며 평화와 종교에 관한 생각에 잠겨 보는 것은 어떨까?


참다운 종교의 교리는 이웃 사랑


지구에 사는 동물 중에서 인간처럼 동족을 살해하는 종이 있을까? 침팬지? 아무튼 거의 없다고 본다. 수천 년 동안 너그러움을 중시하는 유교, 자비를 중시하는 불교, 사랑을 중시하는 기독교, 그리고 평화를 중시하는 이슬람교 등 거의 모든 종교가 한마디로 이웃 사랑을 권장한다. 그럼에도 불구하고 아이러니하게 종교는 많은 전쟁의 불쏘시개 역할을 수없이 하여 동족인 수많은 인간을 살해했다. 유교의 경전인 논어에서는 “기소불욕 물시어인(己所不欲 勿施於人)”이라며 내가 원하지 않는 일은 남에게도 하지 말라고 한다. 불교의 경전인 법구경에서는 “내게 해로운 것으로 남에게 상처 주지 말라”라고 하며, 기독교 복음서인 마태오에서는 “무엇이든지 남에게 대접을 받고자 하는 대로 너희도 남을 대접하라”라고 한다. 이슬람의 경전 쿠란도 “나를 위하는 만큼 남을 위하지 않는 자는 신앙인이 아니다.”라고 가르친다. 이 모두 이웃을 사랑하라는 말이다.

세계의 주요 3대 종교 중 가장 일찍 생긴 불교의 가르침 중에 수행하는 데 필요한 여섯 가지의 덕목인 ‘육바라밀’이 있다. 그중 처음 나오는 보시(布施)란 다른 이에게 자비심을 조건 없이 베푸는 것이다. 조금도 대가를 바라서는 안 된다. 내가 베푼 사실조차 잊어버려야 한다. 세 번째로 나오는 인욕(忍辱)은 모든 사람을 부처님으로 보며 온갖 모욕과 번뇌를 참아 어려움을 극복하여 성나고 언짢은 마음을 참고 견디라는 가르침이다.

보시란 꼭 재물에 여유가 있어서 하는 것이 아니다. 재물이 없어도 마음으로 얼마든지 할 수 있다. 불경에서는 남을 대할 때 “항상 화색을 띤 얼굴로, 친절하게 말하며, 따뜻한 마음으로 대하고, 웃는 눈빛으로 보며, 물으면 친절히 잘 가르쳐 주고, 앉은자리를 양보하며, 잠자리를 깨끗하게 해 주라”라고 가르치고 있다. 이를 재물이 없어도 할 수 있는 일곱 가지 보시로 무재칠시(無財七施)라고 한다.

기독교의 10계명과 같은 계율도 있으니 세상에서 두려움을 없앨 수 있는 다섯 개의 계율로 오계(五戒)라 한다. 살생하지 않는 불살생(不殺生), 주지 않는 것을 갖지 않는 불투도(不偸盜), 그릇된 성관계를 갖지 않는 불사음(不邪淫), 거짓말을 하지 않는 불망어(不妄語), 술에 취하지 않는 불음주(不飮酒)이다. 이 모두를 한 마디로 줄이면 이웃을 사랑하라는 말이다.

그다음 생긴 기독교를 살펴보자. 기독교 신자라면 반드시 지켜야 하는 10계명에는 이웃에 대한 사랑을 담은 내용이 자그마치 여섯 개 조항이나 있다. “너희 부모를 공경하라. 살인하지 말라, 간음하지 말라. 도둑질하지 말라, 이웃에게 불리한 거짓증언을 하지 말라, 네 이웃의 재물을 탐내지 말라”

신약성서를 보면 예수가 말씀하신 것 중 가장 중요한 말도 ‘네 이웃을 사랑하라’이다. 곳곳에 이와 비슷한 말이 많이 나온다. “원수를 사랑하고 너희를 박해하는 사람들을 위해 기도하라”, “내가 바라는 것은 나에게 동물을 잡아 바치는 제사가 아니라 이웃에게 베푸는 자선이다”, 잃은 양 한 마리를 비유하면서 “하늘에 계신 너희의 아버지께서는 이 보잘것없는 사람들 가운데 하나라도 망하는 것을 원하시지 않는다 “, “‘네 이웃을 네 몸같이 사랑하라’는 둘째 계명도 첫째 못지않게 중요하다” 그리고 “너희가 여기 있는 형제 중에 가장 보잘것없는 사람 하나에게 해 준 것이 바로 나에게 해 준 것이다” 등등. 기독교의 으뜸 교리 역시 이웃을 사랑하는 것이다.

이슬람교는 관용의 종교라 한다. ‘이슬람’이란 아랍어는 원래 순종과 평화를 뜻한다. 이슬람교의 창조자는 알라이다. 무함마드(일명 마호메트)가 창시한 것이 아니라 다만 그를 통해 알려진 것이다. 주요 경전에는 기독교에서 사용하는 예수의 복음서도 들어있다. 가장 중요한 경전인 꾸르안은 “종교에는 강제가 있을 수 없다”라고 하여 신앙의 자유를 강조한다. 따라서 이슬람교는 유대교의 여호와나 기독교의 하느님 같은 다른 교의 유일신을 배척하거나 차별하지 않는다. 모두가 같은 유일신인 만큼 숭배하라고 한다. 참고로 유대교와 기독교 그리고 이슬람교는 모두 셈족이 만든 종교로 유대교의 여호와와 기독교의 하느님 그리고 이슬람교의 알라는 결국 같은 존재로 볼 수 있다. 이슬람을 관용의 종교라 하는 것은 인간은 원래가 착한 존재이므로 실수나 죄, 불의 같은 것은 일시적인 것으로 용서할 수 있다는 이슬람의 종교적 이념에서 온 것이다. 이슬람의 생사관은 삶의 아름다움을 구가하고, 현세에서 선행과 삶을 오래 즐길 것을 권장하며, 원죄가 아닌 후천성에서 비롯된 죄는 자진 회개하고 알라의 용서를 빌며, 헛된 죽음을 하지 말라는 것이다.

이슬람의 호전성을 상징하는 ‘한 손에는 코란, 다른 손에는 칼을’이란 말은 오랫동안 전해져 왔으나 사실이 아니고 조작된 것이다. 이 말을 처음으로 사용한 사람은 13세기 중엽 십자군이 이슬람 원정에서 최후의 패배를 당하던 시기의 이탈리아 신학자 토마스 아퀴나스라고 한다. 더구나 십자군 전쟁은 정치 경제적으로 탐욕에 찌든 가톨릭이 성지 탈환이라는 명분으로 일으킨 끔찍한 전쟁이다. 십자군 전쟁이나 기독교인의 아메리카 침략을 잘 살펴보면 오히려 ‘한 손에는 성경, 다른 손에는 칼’이 훨씬 더 어울리지 않을까? 가짜 뉴스는 옛날이나 지금이나 항상 그 위력을 과시한다. 왜냐하면 사실 관계는 중요하지 않고 자기 신념대로 그렇게 믿고 싶어 하는 민중이 너무도 많아서 아닐까?

불교도 타 종교를 배척하지 않는다. 석가모니는 이미 그 당시 있던 민족 종교의 신앙을 오히려 장려하였다. 불교를 숭상한 인도의 아소카왕은 다음과 같은 칙령을 발표했다.


“누구나 자신의 종교만을 숭앙하고 다른 종교를 저주해서는 안 된다. 여러 가지 이유로 다른 종교도 존중해야 한다. 자신의 종교를 전파하면서 다른 종교에도 봉사해야 한다. 그렇지 않으면 누구나 자신의 종교에 무덤을 파는 것이며 다른 종교에 해를 끼치는 것이다. 다른 종교의 가르침이나 교의에도 귀를 기울이라.” - 백찬홍, <종교의 안부를 묻는다>, 146쪽


이처럼 대부분의 종교는 타 종교를 비난하지 않고 이웃 사랑을 그 근본 교리로 한다. 그러므로 우리가 부처님이나 하느님이나 알라를 믿는다면 그들이 가르치는 ‘이웃 사랑’을 몸소 실천해야 한다. 여기서 이웃이란 같은 종교를 믿는 신자들만 말하는 것이 아니다. 종교와 관련 없이 생명이 있는 모든 중생을 뜻한다.

자신의 종교를 선교함에 있어서 절대로 무력을 동원하거나 강제로 개종시켜서는 안 된다고 김용옥은 말한다.[김용옥 379] “종교는 권유이지 강요가 아니다. 과도한 전도주의는 죄악이다. 종교가 우리 사회의 합리적 소통을 방해하는 이념이 될 수 없다”라고. 선교를 하는 데 있어서는 절대 강요가 있어서는 안 된다. 더구나 무력을 동원해서는 안 된다. 무력을 동원하는 것은 이미 그 종교는 믿을 수 없는 사이비라는 뜻과 같다. 사람들은 종교를 믿는 신자들의 행동 하나하나 그리고 그 됨됨이로 그가 믿는 종교를 판단한다. 따라서 신자들의 생활 그 자체 하나하나가 선교를 대신한다. 참된 신자라면 어떻게 자기들의 삶이 자신이 믿는 종교를 나타내는지 수학을 통해 살펴보자.


절대자를 나타내는 디락 델타 함수


면적이 1인 직사각형이 있다. 직사각형의 면적은 가로(밑변) 곱하기 세로(높이)라는 것은 알겠지. 그래서 면적은 그대로 유지하고 밑변을 점점 작게 해 주면 그 직사각형의 높이는 점점 커진다. 즉 밑변의 길이가 1이면 높이는 1이 되고, 밑변의 길이가 1/2이 되면 높이는 2가 된다. 일반적으로 밑변의 길이가 2a이면 높이는 1/(2a)가 된다. 밑변에 따라 높이가 달라지므로 이 직사각형의 높이를 밑변에 대응하는 함수로 나타낼 수 있다.

t0를 중심으로 반경 a인 구간 (t0-a, t0+a)을 밑변이라고 하자. 그러면 밑변의 길이는 2a이다. 주어진 상수 a와 t0에 대하여 d_a(t-t0)를 구간 (t0-a, t0+a)에서는 크기가 1/(2a)이고 그 구간 밖에서는 0인 함수라고 하자. 이 함수 y=d_a(t-t0)를 디락 델타(Dirac delta) 함수라 한다. 그러면 이 함수로 둘러싸인 직사각형의 면적은 항상 1이므로 이 함수를 실수 위에서 적분한 값은 a와 t0에 관계없이 항상 1이다. 즉


∫d_a(t-t0)dt=1


y=d_a(t-t0)는 a가 0으로 가까이 가면 점차 t0을 제외한 모든 곳에서는 0이 되고 0에서는 그 값이 점점 크게 되어 존재하지 않게 된다. 그러나 면적은 a에 따라 변하지 않으므로 a가 0으로 가까이 가도 면적은 변함없이 1이다. 다시 말하면 t0=0인 경우 y=d_a(t)는 (-a, a)에서 함숫값이 1/(2a)이 되어 a=2, 1, 1/2, 1/4, …과 같이 점점 a가 작아질수록 그래프는 다음과 같이 0을 중심으로 구간이 점점 좁아지면서 그에 대응하는 함숫값은 점점 커진다.

8-2 델타함수.jpg

그러나 직사각형을 이루는 면적은 변하지 않으므로 y=d_a(t)의 적분 값은 a에 관계없이 항상 1이다. 즉 a가 0으로 가까이 감에 따라 y=d_a(t)가 가까이 가는 그 실체는 보이지 않게 되지만 항상 존재한다. 마찬가지로 a가 0으로 가까이 갈 때 y=d_a(t-t0)가 가까이 가는 그 함수를 y=d(t-t0)라고 하자. 그러면 y=d(t-t0)은 t0가 아닌 곳에서는 모두 0이지만 실수 위에서 그 면적은 항상 1이다. 즉 ∫d(t-t0)dt=1이다.

y=d(t-t0)의 모양을 보면 한 점 t0를 제외한 모든 곳에서 0이다. 즉 아무것도 없다. 보이지 않는다. 냄새도 없고 들리지도 않는다. 그렇다고 존재하지 않는 것은 아니다. 전 구간에서 적분한 값은 1로 항상 존재하므로 무언가 있다. 느낄 수 있다. 기(氣)가 존재한다. 그것이 기독교에서 믿는 하느님이든, 불교에서 믿는 부처님이든, 이슬람에서 믿는 알라든. 우리가 종교를 갖고 있다면 우리가 믿는 절대자는 바로 그러한 느낌 아닌가? 실체는 없지만 늘 내 주변에 있는 것 같은. 다시 말하면 y=d(t-t0)은 절대자처럼 볼 수 있다. 그렇지 않은가?


절대자는 믿는 사람을 통해 발현


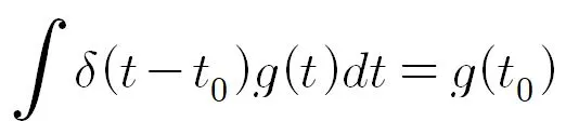
실체가 없고 기만 느끼는 디락 델타 함수가 연속함수를 만나면 그 실체를 드러낸다. g(t)를 t0에서 유한하고 연속인 함수라 하자. 그러면 y=d(t-t0)는 자신의 존재를 t0에서 g(t)의 함숫값 g(t0)로 다음과 같이 나타낸다. 수학 시간이 아니므로 아래 결과는 사실이니 무조건 믿자. ‘믿습니다’


∫d(t-t0)g(t)dt=g(t0)


종교를 가진 사람들에게는 대체로 자신이 믿는 절대자란 그 실체는 보이지 않지만 존재한다고 믿고 있다. 성경에 따르면 하느님은 예수라는 인간의 형태로 이 세상에 태어나 그 실체를 보여주었다. 그러나 그가 죽고 부활한 후에는 아직까지는 그렇게 직접 나타난 적은 없지만 하느님이 있다고 믿는다. 그러면서 재림하기를 기다리고 있다. 그 사이 여러 번 재림이 무산되었음에도 불구하고.

디락 델타 함수 d(t-t0)는 t0를 제외한 모든 수에서는 0이고 t0에서는 정의되지 않아 그 실체는 볼 수가 없지만, 적분한 값은 항상 존재하므로 그 존재감은 분명히 있다. 따라서 디락 델타 함수는 이 세상 어느 곳에서나 존재하는 절대자로 생각할 수 있다. 함수 g(t)는 사람이 어느 곳이나 또는 어느 시간 t에서 하는 행동을 나타낸다고 하자. 즉 함수 g는 신앙을 가진 모든 사람으로 볼 수 있고, g(t)는 어떤 지점 또는 어느 시간 t에서 그 사람이 보여주는 언행이라고 생각할 수 있다.

우리 인간은 유한한 존재이므로 t는 제한되어 있다. g(t)란 바로 우리가 믿음을 갖고 있을 때 나타내는 언행이다. 참다운 신앙을 가졌다는 것은 자기가 믿는 절대자를 믿고 마음에 품은 것이므로 그 사람 g가 있는 때와 곳 t0에서 신자로서 보여주는 언행은 자기가 믿는 절대자와 함께 하는 마음으로 ∫d(t-t0)g(t)dt로 나타낼 수 있다. 그런데 ∫d(t-t0)g(t)dt=g(t0) 이므로 절대자의 실체는 보이지 않고 오로지 그의 언행만 보인다. 즉 절대자는 자신을 믿는 그 사람을 통해 우리에게 자신의 모습을 보여준다. 절대자는 변하지 않는다. 다만 사람과 장소와 시간이 다를 뿐이다. 각자의 언행이 자신이 믿는 종교의 내면을 보여주는 것이다. 따라서 자신의 언행이 올바르지 못하면 그것은 자신이 믿는 종교를 욕되게 하는 것이다. 그러나 자신이 올바른 언행을 하면 다른 사람은 그러한 언행을 보고 그 종교를 믿게 되는 것이다.

우리가 신앙을 갖는다는 것은 우리의 몸과 행동을 통하여 우리가 믿는 그분의 생각을 나타내는 것이다. 이것을 잘 나타낸 성경 구절이 마태오 5장 16절이다.


“너희의 빛이 사람들 앞을 비추어 그들이 너희의 착한 행실을 보고 하늘에 계신 너희 아버지를 찬양하게 하여라.”


예수의 삶 그 자체가 하느님을 보여주는 것이다. 사람들은 예수가 하는 행동을 보고 그가 믿는 하느님을 믿게 된다. 예수는 헐벗은 이웃을 위해 살았다. 그러기 위해서 자신들이 거룩하고 깨끗하다고 믿는 당시 기득권 세력에 대항하게 됐고 결국 십자가에서 처형됐다.

2013년 제266대 교황으로 선출된 프란치스코 교황은 기득권 세력이 아닌 이 세상의 가난한 이웃을 위해서 현재의 비인간적인 경제체제를 개혁하라고 촉구했다. 금융투기와 부패가 수백만 명을 굶주리게 하고 있으며 자신의 재물을 가난한 사람들과 공유하지 않는 것은 그들을 강탈하는 것이며 또한 그들에게서 생명을 빼앗는 것이라며 교회가 복음을 선포하기 위해 교회 밖으로 나가야 한다고 했다. 그러면서 정치에 참여하는 것은 그리스도인의 의무라고 말했다.

하지만 이 세상에는 거짓된 신앙인이 너무도 많다. 어느 종교든지 이웃을 사랑하고 살인하지 말라고 한다. 절대적으로 살인을 금하고 있다. 그럼에도 불구하고 이웃을 사랑하기는커녕 그럴싸한 핑계를 대며 자신들이 믿는 신의 이름으로 살인을 하거나 또는 살인하게 만드는 종교인들이 너무도 많다.

진실된 신앙인일수록 자신이 믿는 그분이 행동하는 것처럼 보이도록 노력해야 할 것이다. 종교를 불문하고 으뜸인 신앙의 가르침은 이웃 사랑이다. 당신이 이웃을 사랑할 때 당신의 모습을 통해 당신이 믿는 절대자의 모습이 나오는 것이다.


성직자 본회퍼의 이웃 사랑


독일의 성직자 본회퍼(Dietrich Bonhoeffer, 1906~1945)는 1933년 히틀러가 권력을 잡고 있을 때 라디오 방송을 통해 국민들을 잘못 인도할 지도자가 될 수 있는 지도자를 우상처럼 떠받드는 우상숭배의 위험성을 경고하며 나치 정권에 대항하였다. 그는 다음과 같이 말하면서 히틀러 암살을 꾸미는 반나치 저항 운동에 가입했다.


“만일 어떤 미친 운전사가 사람들이 많이 다니는 인도 위로 차를 몰아 질주한다면 목사인 나는 희생자들의 장례나 치러주고 가족들을 위로하는 일만 하는 것이 나의 유일한 임무라 생각하지 않습니다. 나는 그 자동차에 뛰어올라 그 미친 운전사로부터 핸들을 빼앗아야 할 것입니다.” [오강남, <종교, 심층을 보다>, 현암사, 2011, 245쪽]


성직자로서 그는 암살 음모에 가입하는 것 자체가 죄가 되지만 그 죄를 다른 사람과 다음 세대를 위해 어쩔 수 없이 자기가 떠맡아야 한다고 생각했다. 체포된 본회퍼는 1945년 4월에 교수형을 당했다. 그의 사상은 그리스도가 나를 위해서라기보다는 우리를 위해, 결국에는 남을 위해 사신 분이라며 남을 위한 존재라는 점을 강조하였다.


“값싼 은혜는 우리 교회의 치명적인 적이다. 오늘 우리의 싸움은 값비싼 은혜를 얻기 위한 싸움이다. 값비싼 은혜는 예수의 십자가를 지고 가는 것인데, 값싼 은혜는 예수의 십자가를 타고 가려는 것이라 할 수 있다.” [오강남, <종교, 심층을 보다>, 현암사, 2011, 245쪽]


이 장을 마무리하면서 서정윤 시인의 <사랑한다는 것으로>를 옮긴다. 이기적이 아닌 이타적인 사랑의 실체를 확실히 보여주는 시이다.


사랑한다는 것으로

새의 날개를 꺾어

너의 곁에 두려 하지 말고

가슴에 작은 보금자리를 만들어

종일 지친 날개를

쉬고 다시 날아갈

힘을 줄 수 있어야 하리라


시사 및 읽을거리


김용옥, 《도올의 도마복음2》, 통나무, 2010

류시화, 《나는 왜 너가 아니고 나인가》, 김영사, 2003

백찬홍, 《종교의 안부를 묻는다》, 평사리, 2010

오강남, 《종교, 심층을 보다》, 현암사, 2011

정수일, 《이슬람문명》, 창작과비평사, 2004

디트리히 본회퍼, 《본회퍼의 삶과 옥중 시집》, 솔라피데, 2009

와타나베 쇼코, 법정 옮김, 《불타 석가모니》, 문학의 숲, 2010

한겨레21 2012년 12월 3일 “겨울의 역지사지”

오마이뉴스 2013년 10월 10일 “정치 참여는 그리스도인의 의무입니다.”

keyword
작가의 이전글7. 적분 그리고 고통과 쾌감