brunch

MMORPG 현금 거래 네트워크 분석 및 탐지 기법

by gimmesilver

아래 글은 현재 준비 중인 RMT 네트워크 분석에 대한 논문의 draft 버전입니다.


1. Introduction

MMORPG 유저들은 기본적으로 다른 사람보다 더 강한 캐릭터로 성장하기 위해 경쟁하는 경향이 강하며 이런 경쟁이 게임의 주요 재미 요소가 된다. 또한 사람마다 느끼는 돈과 (게임에 투입하는) 시간에 대한 가치가 다르기 때문에, 어떤 유저들은 게임 내 재화나 아이템을 현실 세계의 재화와 교환하는 행위를 한다. 이것을 ‘아이템 현금 거래(Real Money Trade, RMT)’ 라고 부른다.

rmt.jpeg RMT는 시간과 돈에 대한 상대 가치의 차이에 의해 발생하는 경제 행위이다.

아이템 현금 거래(이하 RMT)는 가상 세계 경제와 현실 세계의 경제를 연결하는 매우 흥미로운 경제 시스템이며 자유 경제 시장 관점에서 볼 때 합리적인 행위라 볼 수 있다. 다만 현재의 RMT는 지나치게 음성화 및 대규모로 진행되고 있으며 특히, 이런 현금 거래를 통해 전문적으로 재화를 획득하려는 목적으로 대규모 게임봇 프로그램을 운영하는 일명 ‘작업장’ 이라 불리는 유저들에 의해 게임 컨텐츠가 심각한 수준으로 왜곡되고 있다. 더 나아가 RMT는 온라인 가상 재화를 이용한 돈세탁이나 탈세, 계정 도용과 같은 온라인 범죄와도 밀접한 관련이 있다.

한편, 이렇게 게임 내에서 음성적으로 이뤄지고 있는 RMT 행위 역시 게임 내에서는 캐릭터 간의 거래를 통해 이뤄지며 이는 결국 거래라는 행위를 통해 연결된 캐릭터 간의 네트워크로 구성될 수 있다. 따라서 캐릭터 간의 거래 네트워크의 특성 및 패턴을 분석하면 일반적인 게임 내 컨텐츠 활용을 위한 거래와 음성적으로 이뤄지는 RMT를 위한 거래를 구분할 수 있을 것이다.

더 나아가 이렇게 RMT를 탐지하게 되면 판매 캐릭터에 대한 역추적을 통해 작업장 그룹을 탐지할 수 있을 뿐 아니라 RMT구매자에 대한 파악이 가능하며 RMT 규모에 대한 집계도 가능해진다. 이를 통해 첫째, RMT와 연계된 온라인 범죄에 대한 추적에 도움을 줄 수 있고, 둘째, RMT 유저에 대한 파악 및 분석을 통해 추가적인 사업 기회를 노릴 수 있으며, 셋째, RMT 규모 변화를 추적하면 게임 내 경제 상황 파악을 위한 주요 경제 지표로 활용할 수 있다.

본 연구에서는 리니지 거래 로그를 이용해 캐릭터 간 거래 관계에 대한 네트워크를 구성하고 네트워크 분석 및 데이터 마이닝 기법을 활용해 거래 행위의 특성 파악 및 RMT 탐지 작업을 진행한다. 이후 거래 중개 사이트에서 수집한 거래 목록 상에서 파악되는 RMT 규모와 비교하여 탐지 결과에 대한 검증을 수행한다. 마지막으로 RMT에 관련된 커뮤니티들의 특징 분석을 통해 몇 가지 흥미로운 패턴을 소개한다.


2. Related Works

온라인 게임(특히 MMORPG)에서 사람들 간의 관계는 플레이어에게 재미를 줄 수 있는 중요한 컨텐츠 요소이기 때문에 현실 세계와 유사한 사회 활동을 다양하게 제공한다. 따라서 게임 내에서의 소셜 네트워크를 분석하기 위한 많은 연구가 있는데 이 중에서 본 연구처럼 dark network를 집중적으로 분석한 연구들이 있다. 먼저 Varvello 등[1]은 ‘세컨 라이프’라는 게임에서 사용자 간의 사회 활동 및 상호 관계에 대한 분석을 통해 인간과 봇 프로그램을 구분하기 위한 기법을 제안하였다. 이렇게 봇 프로그램과 인간을 분류하기 위한 기법을 제안한 연구는 많이 있지만 이 연구에서는 특히 소셜 네트워크 분석 관점에서 접근한 초기 연구라는 점에서 의의를 찾을 수 있다. Keegan 등[2]과 Ahmad 등[3]은 이런 분석 방식을 더 발전시킨 연구인데 특히 [2]의 경우 온라인 게임에서의 dark network를 현실 세계 마약 조직 네트워크와 비교하여 유사점을 분석했으며 이를 통해 해당 네트워크 집단을 붕괴시키기에 가장 효과적인 노드를 찾는 취약점 공격에 대한 가능성을 부분적으로 제시한 점에서 다른 연구와 차별점을 두고 있다. 마지막으로 Woo등[4]의연구는 본 연구와 가장 밀접한 연관성을 갖고 있는데, Introduction에서 언급했듯이 MMORPG에서 전문적으로 현금 거래를 통해 재화를 획득하는 작업장 집단의 거래 네트워크를 분석한 연구이다. 작업장을 탐지하기 위해 일반 유저들의 거래 네트워크와 작업장 캐릭터 간의 거래 네트워크의 차이점을 분석했다. 기존에 연구된 대부분의 연구들이 게임봇 개개의 특성에 집중하여 탐지 기법을 제안한 반면 이 연구에서는 집단의 특성을 파악하여 탐지하는 기법을 제안했다는 점에서 독창적인 연구이다.


3. Background & DataDescription

3.1.아이템 현금 거래와 RMT 중개 사이트

아이템 현금 거래는 다중 접속 게임(Massively Multi Online Games, MMOG)이 등장하면서 시작하였다. 1999년 한 울티마 온라인 유저가 자신의 계정을 이베이에 경매로 올린 것이 최초의 RMT로 알려져 있다[5]. 이후 울티마 온라인이 인기를 끌면서 점차 RMT 수요가 늘어 전체 시장 규모도 크게 성장하게 되었다. RMT 초기에는 이베이 등의 일반적인 온라인 거래 중개 사이트를 통해 거래가 이뤄졌지만 이후 RMT 전용 중개 사이트가생기면서 현재 대부분의 RMT는 전용 중개 사이트에서 이뤄지고 있다.

우리나라는 ‘바람의 나라’, ‘리니지’ 등의MMORPG가 큰 인기를 누리면서 RMT가 활성화 되었다. 특히 2001년에 처음 문을 연 ‘아이템베이(http://www.itembay.com)’는 세계 최초의 게임 전문 거래 중개 사이트이며 이후 ‘아이템매니아(http://www.itemmania.com)’와 함께 우리 나라의 대표적인 RMT 중개 사이트로 성장하였다. 현재 우리 나라 RMT 시장의 90% 이상이 이 두 사이트를 통해 중개되고 있는 것으로 추정되며 연간 RMT 규모는 약 1조 ~ 1조 5천억 정도로 추정하고 있다.

중개 사이트를 통한 RMT는 결제대금 예치 제도인 에스크로 방식으로 이뤄지는데 세부적인 절차는 아래와 같다. (그림. 1 참고)

1. 아이템 구매자 혹은 판매자는 사이트 게시판에 구매 신청이나 판매 물품 등록을 한다.

2. 구매 희망자는 중개 사이트에 구매하고자 하는 금액을 결제한다.

3. 결제가 확인되면 구매자와 판매자에게 게임 내 거래를 위한 정보가 전달되며 게임 상에서 지정한물품의 거래가 이뤄진다.

4. 거래가 완료되고 나면 구매자와 판매자는 완료 내역을 중개 사이트에 등록한다.

5. 양방 간의 거래 완료가 확인되면 중개 사이트는 판매자에게 일정 비율의 수수료를 제한 대금을 지급한다.


애스크로.jpg 그림1. RMT 중개 사이트 거래 절차도


현재 리니지 현금거래를 위해 유저들이 사용하는 주요 사이트로는 아이템베이와 아이템매니아가 있으며 그 외에 소규모 리니지 전문 거래 중개 사이트가 존재한다. 대표적인 사이트들은 아래와 같다.

아이템매니아: http://www.itemmania.co.kr

아이템베이: http://itembay.com

바로템: http://barotem.com

전주마트: http://www.jeonjumart.co.kr/

둘리업: http://doollyup.kr

우리업: http://xn--oy2b84tdua.com/

아데나마트: http://adenamart.com/

린트레이드: http://cafe.naver.com/lintrade


3.2.리니지 거래 로그 데이터

본 연구에서는 엔씨소프트의 대표 MMORPG인 리니지의 게임 로그를 이용했다. 리니지는 서비스를 시작한지 18년이 되었음에도 불구하고 아직까지 큰 인기를 끌고 있으며 특히 국내 RMT 시장에서 가장 큰 규모의 거래가 이뤄지고 있다(그림. 2).

RMT순위.jpg 그림 2. 국내 게임별 RMT 거래 순위 (출처: 아이템베이)

리니지에서는 각 플레이어의 활동 정보가 실시간으로 서버에 기록되고 있으며 이를 활용해 고객 분석 및C/S, 디버깅 등을 수행하고 있다. 우리는 본 연구를 위해 서버에 기록되는 로그 중 캐릭터 간 거래와 관련된 로그 두 종류를 사용하였다.


개인 거래 로그: 게임 내에서 캐릭터 간에 아이템 교환 시 발생하는 게임 로그. 동시에 여러 개의 아이템을 주고 받으면 각 아이템 별로 게임 로그가 남으며 이 때 준 캐릭터와 받은 캐릭터의 정보도 함께 출력된다.

창고 거래 로그: 게임 내 존재하는 여러 가지 창고에 아이템을 넣거나 뺄 때 발생하는 게임 로그. 리니지에서는 개인 창고, 계정 창고, 혈맹 창고가 존재하는데 이 연구에서는 계정 간의 거래와 관련된 혈맹 창고 이용 로그만 사용했다.


4. Experiments

4.1.중개 사이트 데이터 수집

본 연구에서는게임 로그를 통해 추정한 RMT 규모에 대한 검증을 위해 중개 사이트에서 실제 거래되는 RMT 내역을 수집한 후 이와 비교를 통해 신뢰도를 측정하였다. 앞서 3.1에서 언급했듯이 리니지에는 다양한 RMT 중개 사이트가 있지만 ‘아이템베이’와 ‘아이템매니아’가 전체 RMT의 90% 이상을 차지하고 있기 때문에 이 두 사이트의 거래 내역을 수집하였다. 우리는 이를 위해 두 사이트에 있는 아이템 판매 게시판 페이지(그림. 3. 참조)를 자동 수집하는 크롤러를 만들어 하루에 한번 해당 게시판 데이터를 수집한 후 HTML 파싱 및 정제 작업을 통해 테이블로 만들어 DB에 적재하였다.

RMT사이트게시판.png 그림 3. 중개 사이트 판매 게시판


4.2.거래 네트워크 구성

우리는 리니지 한 개 서버에서 일주일간 게임 유저들이 주고 받은 개인 거래 및 혈맹 창고 거래 로그를 이용해 방향성 있는 네트워크를 구성하였다. 이 때 노드는 계정 혹은 혈맹 아이디가 되며 엣지 정보에는 1주일 사이에 주고 받은 거래 횟수 및 거래한 재화량을 추가하였다. 구체적인 분석에 앞서 전체 네트워크의 특성을 확인하기 위해 네트워크 시각화를 진행하였다. 시각화를 위해 Gephi 툴[6]을이용했으며 레이아웃 방식은 fruchterman-reingold 알고리즘을 사용하였다. 시각화 결과는 그림. 4와 같으며 전체 네트워크의 주요 지표는 표. 1에 정리하였다.

거래네트워크.png 그림 4. 거래 네트워크 시각화


표. 1. 거래 네트워크 주요 지표

구분

node 26,165

edge 27,235

betweenness mean 31,064.42

betweenness sd 459802.8

degree mean 2.08

degree sd 10.72

Avg. Path Length 9.311

diameter 2208

cluster coefficient 0.024


위 시각화 결과및 네트워크 지표를 보면 리니지 거래 네트워크는 여러 개의 응집력 높은 커뮤니티들로 나뉠 수 있다는 것을 알 수 있다. 또한 표. 1에 정리한 지표 중 cluster coefficient를 보면 값이 매우 낮은 것을 볼 수 있다. 커뮤니티 응집력이 높은데도 불구하고 이렇게 cluster coefficient가 낮은 것은 노드의 연결 관계가 서로 거미줄처럼 얽히기 보다는 특정 허브를 중심으로 이뤄지고 그런 커뮤니티 사이에는 매우 약한 연결 관계만이 존재한다는 것을 간접적으로 보여준다. 이는 SNS 같은 scale-freenetwork 에서도 발견되는 특성이지만 리니지의 거래 네트워크는 좀 더 극단적인 성향을 보인다.


4.3.커뮤니티 분류

한편 일반적으로 게임 내의 거래 행위는 현실 세계처럼 일종의 사회 활동이기 때문에 거래에 참여한 캐릭터 간의 친밀도와 밀접한 관련이 있다. 다시 말하면 서로 게임 내/외적으로 친분이 있는 캐릭터끼리 주로 거래 활동이 이뤄진다. 따라서 서로 밀접한 관련이 있는 집단끼리 커뮤니티를 형성하게 된다. 반면 RMT는 중개 사이트를 통해 연결된 인위적인 관계 사이에서발생하는 거래 행위이기 때문에 사회적 친밀도와 상관없이 거래 관계가 형성된다. 따라서 RMT를 위한 거래는 커뮤니티 내부 노드 간의 거래가 아니라 커뮤니티 외부 노드와 거래일 가능성이 높다.

이에 대한 확인을 위해 거래 네트워크에 대한 커뮤니티 분류 작업을 수행했다(그림. 5). 커뮤니티 분류를 위한 여러 가지 기법들이 있는데 여기서는 Clauset 등[7]이 제안한 알고리즘을 사용하였다. 이 알고리즘을 사용하면 1106개의 커뮤니티로 분류되며 이 때 modularity 는 0.963이다. [7]에 의하면 일반적인 네트워크에서 modularity가 0.3 이상이면 커뮤니티 구조가 잘 형성되었다고 판단하기 때문에 이 수치는 매우 높은 수치이며 이는 리니지 거래네트워크의 커뮤니티 응집력이 일반적인 네트워크에 비해 월등히 높다는 것을 의미한다.

커뮤니티분류.png 그림 5. 커뮤니티 별 노드 색깔을 구분하여 표시한 거래 네트워크


4.4.커뮤니티 별 주요 특성

4.3에서 분류한 커뮤니티들을 살펴 보면 몇 가지 특이한 구조를 갖는 커뮤니티들이 서로 혼합된 형태라는 것을 관찰할수 있다. 거래 네트워크 상에서 관찰 가능한 커뮤니티 유형 및 시각화 자료는 아래와 같다.


Giant component: 가장 많은 노드로 구성되어 있으며 일반적인 소셜 네트워크 상에서 발견되는 대규모 네트워크의 특성을 보임

Star network: 하나의 노드를 중심으로 수십~수백개 노드가 연결되어 있는 중앙 집중형 네트워크

Crazy train: 수십 ~ 수백 개 노드가 긴 사슬 형태로 연결된 네트워크

Hierarchical network: 가장 상위 노드부터 말단까지 여러 개의 가지를 거쳐 2~3단계의 tree로 구성된 고도로 체계화된 네트워크

주요유형.png 그림 6. 왼쪽 위부터 시계 방향으로 Giant component, Star network, Hierachical network, Crazy train


리니지의 거래 네트워크가 이렇게 독특한 특성을 갖는 커뮤니티가 많이 발견되는 이유는 Introduction에서 언급한‘작업장’ 때문이다. 리니지는 RMT가 매우 발달된 게임이기 때문에 대규모 작업장이 많이 존재하는데 이들 작업장은 효율적인 재화 생산을위해 체계적이고 집단적으로 캐릭터를 제어하기 때문에 위에 나온 star / hierachical network와 같은 거래 네트워크를 형성하게 된다. 이런 네트워크를 갖는 커뮤니티에서는 말단 노드에 해당하는 캐릭터에서 생산한 재화를 중심 노드 캐릭터로 취합하여 관리하는 식으로 철저히 분업화되어 플레이를 한다.

한편 crazy train 유형의 커뮤니티는 기존에 보기 힘든 매우 독특한 형태의 네트워크이다. 이 커뮤니티의 캐릭터는 자신이 보유한 재화를 계속해서 다른 캐릭터에게 옮기는 행위를 반복한다. 이렇게 다른 캐릭터에게 재화를 이동하는 행위는 수십 ~ 수백 개의 캐릭터 사이에 계속 일렬로 이어지는데 이 흐름은 한 방향으로 이어지거나 양방향으로 왔다갔다하기도 하고 꼬리를 문 뱀처럼 결국 큰 원을 형성하기도 한다. 얼핏 무척 비효율적이고 무의미한 것처럼 보이는데도 불구하고 이런 네트워크를 구성하는 이유에 대해 두 가지 추측을 할 수 있다.

첫 째, 이렇게 재화를 계속 이동시킴으로써 특정 캐릭터에게 재화가 집중되어 발생할 수 있는 위험을 회피하려는 의도가있을 수 있다. 게임 회사에서는 작업장 캐릭터를 탐지할 경우 해당 캐릭터의 활동을 제한하고 보유한 게임 재화를 압류하는 운영 정책을 펼친다. 이 때 가급적 작업장에게 경제적 타격을 주기 위해 재화를 집중관리하는 캐릭터를 제재하려고 한다. 즉, 앞서 언급한 star/hierachical network 유형의 경우 중심 노드가 제재되면 해당 커뮤니티의 경제적 손실이 극대화된다. 그러나 crazy train 커뮤니티는 이런 공격에 매우 강건한 형태를갖고 있다.

둘 째, 게임 내 아이템 시세를 조작하기 위한 허상 거래일 수 있다. 리니지는 RMT는 물론이고 게임 내 일상적인 거래를 통한 상업 활동 역시 매우 활발한 게임이기 때문에 게임 내에서 교환 거래를 통해 형성되는 아이템 시세가 매우 중요하며 이런 시세 차익을 통해 수익을 얻는 행위 역시 게임 내 재화 형성에 중요한 경제 활동이다. 따라서 게임 내 모든 캐릭터들이 자신이 보유한 아이템의 시세에 매우 민감하게 반응한다. 그런데 몇몇 대규모 자본을 소유한 캐릭터 혹은 집단은 자신이 보유한 경제력을 이용해서 아이템의 시세를 조작하는 경우가 있다. 가령, 평균 시세보다 싸게 판매되는 아이템을 독점적으로 구입한 후 약간 높은 가격에 되팔아 차익을 얻는 것이다. 그런데 이 때 차익을 극대화하기 위해 어떤 집단은 평균 시세 자체를 조작한다. 이를 위해 커뮤니티 내부에서 자기들끼리 조작하고자 하는 시세로 아이템 거래를 수행하는 것이다.

우리는 이렇게 각기 다른 특징을 보이는 각 커뮤니티에 대해 좀 더 자세한 정보를 얻기 위해 상세 분석을 진행하였는데 이를 위해 먼저 전체 커뮤니티에 대해서 커뮤니티를 유형별로 분류하는 작업을 진행하였다.


4.5.커뮤니티 유형 분류 및 유형 별 주요 지표

유형 분류를 위해 각 유형을 잘 표현할 수 있는 네트워크 지표를 선정하였다. 우선 star network의 경우 하나의 노드가 극단적으로 높은 degree를 갖고 나머지 노드는 중심 노드로만 연결되기 때문에 degree가 1이 될 것이다. 따라서 이런 커뮤니티는 degree 값이 평균은 낮지만 표준 편차는 클 것이다. 한편, hierachical network는 중심 노드의 degree는 star network에 비해 높지 않지만 대신 betweenness가 매우 높을 것이다. 그리고 crazy train 네트워크의 경우 대부분의 노드가 양 옆에 이웃 노드와만 연결된 형태이기 때문에 degree 평균 및 표준 편차는 낮고, 일렬로 연결된 형태이기 때문에 graph size에 비해 radius 수치가 매우 높을 것이다. 게다가 대부분의 노드가 비슷한 degree를 갖고 연결되기 때문에 degree assortativity는 다른 커뮤니티 유형에 비해 상대적으로 높을 것이다.

따라서 이런 예상을 토대로 각 커뮤니티 별로 위상 구조와 관련이 높은 주요 네트워크 지표를 추출한 후 K-means 알고리즘을 이용해 군집화를 수행하였다.

degree assortativity: degree가 비슷한 노드끼리 연결되는 경향이 강하면 1, 그렇지 않으면 -1에 수렴

betweenness mean: 해당 커뮤니티의 각 노드별 betweenness 평균

betweenness sd: 해당 커뮤니티의 각 노드별 betweenness 표준편차

degree mean: 해당 커뮤니티의 각 노드별 degree 평균

degree sd: 해당 커뮤니티의 각 노드별 degree 표준편차

radius: 해당 커뮤니티의 네트워크 평균 거리

graph size: 해당 커뮤니티에 속한 노드 개수


이 때 적절한 k값을 정하기 위해 클러스터링 수행 시 k를 1 ~ 20까지 변경하면서 within group sum of squares(이하WSS)를 계산하였고 이 값이 감소하는 폭이 완화되는 변곡점을 최적 k값으로정하였다(그림. 7).

wss.png k값의 변화에 따른 WSS 변화 그래프


K-means 알고리즘에 의해 분류된 각 유형별 커뮤니티 네트워크(그림. 8) 및 각 유형 별 지표 분포(그림. 9)는 아래와 같다. 참고로 여기서는 (e)유형이 하나 추가되었는데 이것은 2~3명의캐릭터끼리 연결된 매우 작은 규모의 네트워크이다. 이 커뮤니티는 뚜렷한 특성은 없지만 다른 유형과 네트워크구조 면에서 차이가 있기 때문에 별도 유형으로 분류되었다.


커뮤니티클러스터.png 그림 8. 커뮤니티 유형별로 색상을 구분하여 표시한 거래 네트워크 및 유형별 네트워크
네트워크지표.png 그림 9. 유형별 네트워크 지표 Box plot


4.6. 커뮤니티 유형별 행동 패턴 및 특징

4.5에서 분류한 커뮤니티 유형에 대해서 각 유형에 속한 캐릭터들의 게임 내 플레이 특성을 확인하기 위해 플레이 특징 별로 군집화를 수행했다. 커뮤니티유형 분류를 할 때와 동일하게 군집화 알고리즘으로는 K-means를 사용했으며 7개 그룹으로 유형을 분류했다. 이렇게 분류한 캐릭터 그룹을 앞서 분류한 커뮤니티 유형과 통합하여 각 커뮤니티 유형별로 어떤 플레이 특징을 갖는 캐릭터가 속했는지 확인하기 위해 누적 막대 차트로 표시하였다(그림. 10). 거래 네트워크를 분석할 때는 혈맹 창고 거래를 포함했기 때문에 노드에 혈맹 창고가 포함되어 있지만 플레이 패턴을 분석할 때는 캐릭터만 들어가 있다. 따라서 네트워크 커뮤니티 유형 데이터와 플레이 패턴에 대한 군집 데이터를 비교할 때는 7개 그룹에 추가적으로‘0번 혈맹창고’ 그룹을 추가해서 표시했다. 그리고 누적 막대 차트의 X축에 있는 1 ~ 5는 각각 (a) giant component, (b) starnetwork, (c) crazy train, (d) hierarchical network, (e) outcast 에 해당한다.

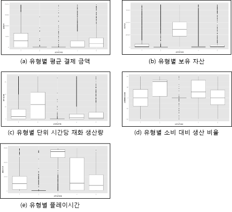
또한 RMT는 게임 내 재화를 현실 세계의 재화와 교환하는 행위이기 때문에 RMT 공급자 입장에서는 자신이 게임에 투자한 비용(시간 및 게임 플레이를 위해 소비하는 결제 금액)에 비해 더 많은 게임 내 재화를 획득하여 RMT를 통해 수익을 얻어야 의미가 있다. 따라서 커뮤니티 유형 별로 게임 회사에 지불한 결제 금액, 현재 보유한 게임 내 자산, 단위 시간당 생산한 재화량, 게임 내에서 소비한 재화 대비 생산한 재화의 비율을 추출하여 유형별 비교를 해보았다(그림. 11).

플레이패턴.png 그림 10. 커뮤니티 유형별 플레이 패턴
유형별플레이통계.png 그림 11. 유형별 RMT 관련 통계

우선 그림. 10의 막대 차트를 보면 giant component와 outcast의 경우 캐릭터 개수의 차이는 있지만 거의 비슷한 비율로 다양한 플레이 유형의 캐릭터들이 속한 것을 볼 수 있다. 그리고 그림. 11에 나온 5가지 지표 역시 나머지 3개 그룹과 비교했을 때 유사한 지표를 갖는데, 투자비용에 해당하는 결제 금액은 높은 반면 단위시간당 생산량이나 소비 대비 생산 비율이 낮은 점으로 미루어볼 때 RMT 경제에서 공급자보다는 소비자에 가깝다는 것을 추정할 수 있다.

Hierarchical network도 다양한 플레이 유형의 캐릭터가 존재하지만 앞선 두 커뮤니티에 비해 ‘5번작업장’으로 분류되는 캐릭터의 비중이 높은 것을 볼 수 있다(반면 이 ‘5번작업장’ 그룹은 다른 커뮤니티 유형에서는 거의 보이지 않는다). 또한 위 두 그룹에 비해 결제 금액은 낮고 대신 소비 대비 생산 비율은 높은 것을 볼 수 있다. 이것은 4.4에서 설명했듯이 작업장의 경우 체계화된 구조로 거래 네트워크를 구축하는 경향이 높다는 가정을 어느 정도 뒷받침하는 자료라 볼 수 있다. 다만 뒤에 설명할 다른 두 개 그룹에 비해 전반적인 생산 효율은 많이 떨어지는 것으로 봐서 RMT 시장에서 경쟁력이 높은 공급자라고 보기에는 힘들다.

Star network은 2개의 플레이 유형으로 구성된다. 하나는 ‘1번라이트유저’그룹이며 또 하나는 ‘4번상점전문’그룹인데 거래 네트워크 구조 상에서 말단 노드에 속하는 캐릭터들이 대부분 라이트 유저 그룹이고 중심 노드가 상점 전문 그룹에 속한다. 그림. 11를 보면 이 그룹의 투자 대비 효율이 매우 높은 것을 확인할 수 있다. 이 그룹의 유저들은 게임을 위해 소비한 결제 금액과 전체 플레이한 시간이 다른 유형에 비해 매우 낮은 반면 단위 시간당 획득 재화량 및 소비 대비 생산 비율은 가장 높다. 이를 통해 이 집단은 짧은 시간에 많은 재화를 획득하여 이 재화를 거의 자신을 위해 소비하지 않고 대부분 RMT를 위해 사용한다는 것을 유추할 수 있다.

마지막으로 crazy train 커뮤니티 유형은 극소수를 제외하고 모두 ‘4번상점전문’그룹으로 분류되었다. 이들은 플레이 시간 대부분을 상점 거래 활동에만 투입하고 있는데 전체 플레이시간이 다른 유형에 비해 가장 높은 반면 생산과 관련된 수치는 매우 낮고 보유한 자산은 가장 많다. 이 정보를 토대로 종합해서 판단해 볼 때 4.4에서 추정한 가정 중 두 번째인, 시세 차익을 노리고 대규모 자본을 이용해 시세 조작을 위한 허상 거래를 전문으로 하는 대규모 RMT 집단이라고 추정할 수 있다.


4.7.커뮤니티 간 거래 네트워크

마지막으로 4.3에서 언급했던 ‘RMT를 위한 거래는 커뮤니티 내부 노드 간의거래가 아니라 커뮤니티 외부 노드와 거래일 가능성이 높다.’ 라는 가정을 최종 확인하기 위해 거래 네트워크에서 동일 커뮤니티에 속하는 노드들을 하나의 노드로 통합하고 커뮤니티 간에 주고 받는 거래 활동만 엣지로 추출하여 전체 네트워크를 다시 구성하였다(그림. 12). 캐릭터간 거래 네트워크를 통해 확인했듯이 대부분의 캐릭터들은 커뮤니티 내부의 구성원들끼리만 거래를 하며 커뮤니티 외부와의 거래 활동은 거의 하지 않는다. 따라서 상당수의 커뮤니티는 다른 커뮤니티와 연결되지 않은 폐쇄적인 형태를 띠지만, 그렇지 않고 외부와 거래하는커뮤니티를 보면 거의 대부분의 거래가 giant component에게 집중되는 것을 확인할 수 있다(그림. 12의 중심에 있는 파란색 노드가 giant component이다). 4.6에서 분석한 플레이 유형에 따른 커뮤니티 특성을 고려해 볼 때 이렇게 커뮤니티 간 거래에서 giant component에게 연결되는 거래가 현금 거래인 것으로 추정된다.

이 때 커뮤니티간 거래 중 금액이 낮은 거래는 제외하는 규칙을 추가로 적용했다. 왜냐하면 중개 사이트는 대개의 경우RMT 금액이 일정 이상이 되어야만 거래 등록이 가능하기 때문이다. 참고로 리니지의 경우 현재 아이템베이와 아이템매니아에서는 최소 거래 가능 금액이 100만 아데나(리니지 게임머니 단위)이기 때문에 커뮤니티 간 거래 중에서 금액이 100만 아데나 이상인 거래만 추출했다.

커뮤니티네트워크.png 그림 12. 커뮤니티 간 거래 네트워크


4.8. RMT 탐지 및 검증

앞서 분석한 여러 가지 자료를 토대로 RMT를 추출하기 위한 알고리즘을최종적으로 정리하면 아래와 같다.

① 유저 간 거래 네트워크 구성 및 커뮤니티 분류

(a) 캐릭터간 게임 머니 거래와 혈맹 창고 거래 로그 추출한다.

(b) 캐릭터 및 혈맹 창고를 노드로 하고 거래 관계를 엣지로 하는 방향성 네트워크 구성한다.

(c) 거래 관련성이 높은 노드끼리 커뮤니티를 분류한다. 우리가 커뮤니티 분류에 사용한 알고리즘은 [7]에서 제안한 알고리즘이다.

② 커뮤니티별 네트워크 지표 추출 및 유형 분류

(a) 각 커뮤니티별로 표. 6에서 설명한 네트워크지표를 추출한다.

(b) K-means 군집화 알고리즘을 이용해서 전체커뮤니티를 5개 그룹으로 분류한다.

③ RMT 거래 추출

(a) 전체 거래 중에서 giant component에 속하지 않은 캐릭터에서 giant component에 속한 캐릭터로 100만 이상의 금액이 전달되는 거래만 추출한다.


위 알고리즘의 정확도를 검증하기 위해 RMT 중개 사이트에서 확인 가능한 모든 거래 내역을 수집하여 이 데이터와 우리가 네트워크 분석을 통해 추출한 RMT 데이터를 비교해보았다. 다만 이 검증 방식에는 몇 가지 한계가 있다.

첫째, 우리가 수집 대상으로 정한 RMT 중개 사이트를 이용하지 않는 RMT는 검증에서 제외가 된다.

둘째, 실제 게임 상에서 거래를 하는 시점과 중개 사이트 게시판에 업데이트 되는 시점이 정확히 일치하지 않는다.

셋째, 중개 사이트에는 게임 내 캐릭터 정보와 매칭할 수 있는 정보가 없기 때문에 정확히 1:1 매칭을 할 수 없다.

이런 제약을 최소화하기 위해 우리는 중개 사이트 중에서 가장 사람들이 많이 이용하는 RMT 사이트 2곳인 ‘아이템베이’와 ‘아이템매니아’를 수집 대상으로 정했다. 앞서 3장에서 설명했듯이 이 두 사이트는 전체 RMT의 90% 이상을 중개하는것으로 알려져 있기 때문에 이 두 사이트의 데이터를 수집하는 것만으로 어느 정도 검증이 되리라 생각했다. 그러나 이렇게 비교 검증용 데이터가 있더라도 거래 시점과 사이트 업데이트 시점의 불일치 문제와 거래 당사자를 매칭할 수 없는 문제로 인해 일반적인 탐지 알고리즘을 검증하는 것처럼 거래 건당 직접적인 비교를 통해 정확도 및 재현율을 측정할 수 없는 문제는 남아 있다. 그래서 정확한 비교는 불가능하지만 간접적으로 추정 수치의 유사성을 측정하기 위해 일주일 단위로 게임 서버별 RMT 거래 건수와 거래 금액 집계량을 비교하는 방식을 취했다. 현재 리니지에는 49개의 서버가 존재하기 때문에 만약 위 알고리즘이 부정확하다면 서버별, 일주일 단위로 집계한 거래 건수 및 금액을 RMT 중개 사이트에서 수집한 집계량과 몇 개 서버의 값이 우연히 비슷할 수는 있어도 49개를 비교했을 때는 그 차이가 커질것이고 반대로 어느 정도 정확성이 있다면 대략 대부분의 서버에서 유사한 값을 가질 것이다. 또한 서버별 데이터에 대해서 두 데이터의 상관계수를 구할 경우 추정량이 중개 사이트 집계값과 비슷한 서버별 분포를 보이는지 여부를 정량적으로 표시할 수 있어 정확도를 간접적으로 측정할 수 있다.

그래서 특정 기간 동안의 ‘아이템베이’와 ‘아이템매니아’의 RMT 거래완료 내역을 추출하고 동일 기간 게임 로그를 통해 추정한 RMT 데이터에 대해서 서버별 거래 건수와 거래량을 비교하였다. 두 데이터에서 추출한 서버별 거래 건수 및 추정량에 대한 상관 계수 및 거래량 비교 그래프는 아래와 같다. 탐지 성능에 대한 비교를 위해 기존에 단순 필터링 방식으로 추정한 거래 건수 및 거래량을 함께 표시하였다. 이를 보면 기존에 추정하는 양에 비해 중개 사이트 거래 내역과 훨씬 근접한 추정이 가능한 것을 알 수 있다.

RMT 건수 상관 계수: 0.80

RMT 수량 상관 계수: 0.84

RMT비교.png 서버별 RMT 거래 건수 및 거래량 비교


5. Conclusions

온라인 게임에서 RMT가 미치는 게임 내/외적인 영향은 매우 크다. 따라서 게임을 운영하는 회사에서는 RMT의 규모와 시세에 대한 시간에 따른 변화를 모니터링하는 것은 매우 중요한 작업이다. 그러나 대부분의 RMT는 음성적으로 이뤄지기 때문에 관련 데이터를 수집하거나 집계하기 어렵다. 따라서 이 연구에서는 게임 내에서 캐릭터 간에 이뤄지는 거래 행위를 기반으로 네트워크 분석을 통해 RMT를 추정하는 기법을 제안하였다. 아울러 거래 네트워크 상에서 나타나는 다양한 거래 패턴 및 커뮤니티에 대한 분석을 통해 거래 네트워크 분석이 단순히 RMT탐지에만 활용할 수 있는 것이 아니라 다양한 캐릭터들의 플레이 패턴을 파악하고 이를 통해 RMT의 주요 공급자 역할을 담당하고 있는 작업장을 비롯한 대규모 자본가 집단을 탐지할 수 있는 가능성이 있음을 볼 수 있었다.


References

[1] Varvello, M. and Voelker, G.M.,“Second life: a social network of humans and bots”, NOSSDAV, 9-14, 2010

[2] Keegan, B., Ahmad, M.A.,Williams, D., Srivastava, J. and Contractor, N., “Dark gold: Statisticalproperties of clandestine networks in massively multiplayer online games”,SocialCom, 201-208, 2010

[3] Ahmad, M.A., Keegan, B.,Sullivan, S., Williams, D., Srivastava, J. and Contractor, N., “Illicit bits:Detecting and analyzing contraband networks in massively multiplayer onlinegames”, SocialCom, 127-134, 2011

[4] Woo, K., Kwon, H., Kim, H.C.,Kim, C.K. and Kim, H.K., “What can free money tell us on the virtual blackmarket?”, ACM SIGCOMM, 41(4), 393-393, 2011

[5] http://web.archive.org/web/20051124071021/http://retailsupport.ea.com/corporate/pressreleases/uo_ebay.html

[6] http://gephi.github.io

[7] Clauset, A., Newman, M.E.,Moore, C., “Finding community structure in very large networks”, Pysical reviewE, 70(6), 2004

keyword
매거진의 이전글더 플랜과 통계적 가설 검정