brunch

중풍 뇌졸중 후유증 한양방 협진치료의 효과

생활기능장애, 인지기능. 우울증의 회복이 밝혀지다

안녕하세요. 광주 한방병원, 재활병원, 청연한방병원 상무점 병원장 김지용입니다.

본원에서 많이 진료하고 있는 중풍 후유증, 뇌졸중 후유증의 치료에 대해서 이야기 하려고 합니다.


뇌혈관장애는 크게 허혈성 뇌손상과 출혈성 뇌손상으로 나뉩니다. 물론 일과성 뇌허혈발작과 같이 큰 후유증 없이 회복되는 경우도 있으나 뇌혈전, 뇌색전, 뇌내출혈 등에 의한 손상의 경우 그 후유증이 크고 회복에 오랜시간이 걸립니다.


더 빠른 회복을 위해서 한양방 통합치료를 받으면 결과가 있을까요?



(자세한 진료과목은 -> http://backtowork.co.kr/?page_id=282 참고해주세요)













한양방 복합치료에 대해서 Scientific report에 한양방 복합치료를 실시 했을 때에 어떤 효과가 있느냐? 라는 위의 논문을 참고하면 큰 도움이 될 것입니다.


위의 논문은 잘 설계된 논문입니다. 무작위 평가자 맹검으로 진행되었으며, 한군데가 아닌 다기관 연구를 통해서 진행됬습니다.


환자로는 중풍(뇌졸중)이 발생한지 30~40일 정도 지난 아급성기 환자들로 생활기능의 장애가 충분히 있는 환자들을 모집했습니다. 딱 저희병원에서 많이 보시는 환자들이네요.


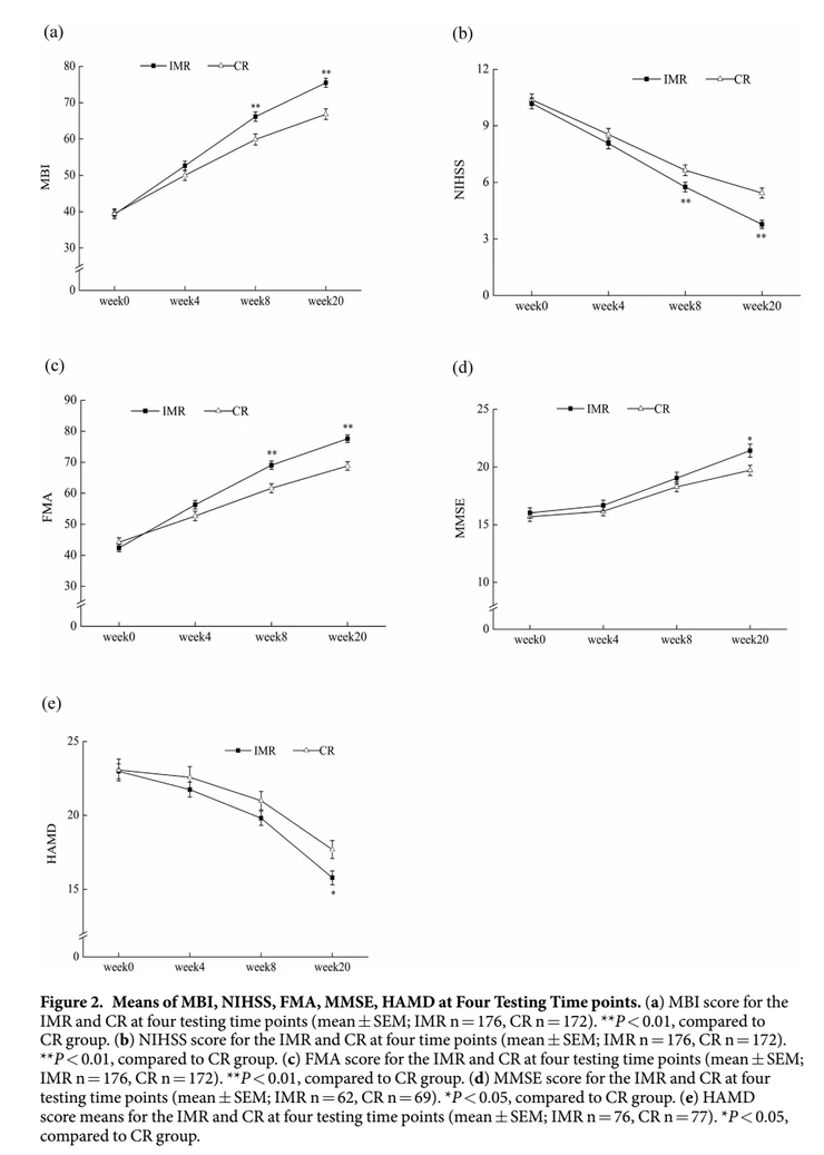
그리고 평가의 지표 역시 MBI, NIHSS, FMA, MMSE, HAMD 등 다양한 지표로 평가되었습니다. 사실 이게 하나 지표 평가하는데 마다 시간이 오래 걸리기 마련이라서 더욱 감사한 자료입니다.






그리고 논문의 결과는 위와 같았습니다.


위의 그래프의 내용을 정리하자면


1. 일상생활의 기능이 회복했고

2. 신경학적 결손이 줄어들었고

3. 인지기능의 개선이 추가적으로 되었으며

4. 중풍 후 우울증에도 유의미한 효과를 나타내었다는 것입니다.









그렇다면 궁금한게 있습니다. 전통적인 치료는 무엇이고, 한방치료의 경우 어떤 치료가 추가되었기에 이렇게 좋은 효과가 있었을까요?



1. 전통적인 치료는 재활치료사 선생님들 통한 보바스 치료를 받았습니다.

그런데 만약 언어기능 장애가 있다면 추가 1시간 언어재활 치료를 받았고,

우울증이 있으신 분들은 정신과적 상담 역시 1시간 추가로 받았습니다.




2. 그렇다면 한방치료는 어떤치료를 받았을까요?






짜잔. 복잡해보이지요? 나누어서 하나씩 보다보면 복잡하지 않습니다.





1) 일단 모든 환자는 두침치료를 받았습니다.


백회, 머리의 정중에서 Glabella-Occipital protuberance 사이의 선을 잊는 가상의 선을 생각해 봅시다. 아래사진처럼요




이부분이 두침의 운동구입니다.



그리고 그 선에서 후방 1.5cm 라인이 감각구 입니다. 이 두 선상에 침치료를 하는 것이 기본 두침치료입니다.



2) 그리고 환자들이 불편감을 느끼는 상지에는 견우, 곡지, 수삼리, 외관, 합곡 혈을, 하지에는 비관, 족삼리, 양릉천, 현종, 곤륜 등에 치료를 받았습니다.



3) 그리고 만약 인지장애가 있는 경우에는 백회, 신정, 본신, 사신총혈과 같이 두부에 침치료를 받았습니다. 뇌졸중 후 우울증이 온 경우에는 태충혈자리가 추가되었습니다.



4) 그리고 환자들의 변증에 따라서 한약과 침치료가 추가되기도 하였습니다.

풍화상요: 천마구등음

습어저체: 반하백출천마탕과 도홍사물탕

음허풍동: 진간식풍탕

기허혈어: 보양환오탕

여기에 인지기능장애가 있다면 석창포, 익지인, 원지를 가했고

우울증이 있다면 시호, 백합, 울금을 가했습니다.



재미있지요? 현재 실제로 중국에서 사용되고 있는 변증의 의미를 퇴색하지 않고서도 좋은 논문과 좋은 결과가 나올 수 있었습니다.







최근 일본에서는 중풍 뇌졸중 후유증 관리에서 아급성기 관리가 중요하다고 여기고, 보험체계를 금성기, 아급성기, 만성기로 나누어 관리하고 있습니다. 그리고 아급성기 전문 병원을 설립하여 전문적으로 관리하고 있습니다.


왜 이렇게 아급성기의 관리가 중요할까요? 이때의 회복 정도가 빨라야, 추후 장애가 적게 남고, 그것이 바로 국가 경쟁력의 상승으로 이어지기 때문입니다. 이렇게 과학적으로 밝혀진 한양방 협진치료, 광주 청연한방병원에서 시행하고 있습니다.



광주 중풍 재활, 뇌졸중 재활 전문 청연한방병원입니다. 한양방 협진을 통해서 빠른 재활과 합병증 및 재발 최소화를 위해 노력하고 있습니다.


많은 환자분들께서 광주 상무지구(상무), 첨단지구(첨단), 광주 하남, 나주, 장성, 담양, 화순 등에서 내원하고 계십니다.

keyword
매거진의 이전글허리디스크 비수술치료의 효과