brunch

친절한 양자론 by 다케우치 가오루

불확정성의 원리에서 '무한대 해'의 난제까지

by 야옹이버스


탐험이란 목표에 도달하는 것도 의미 있지만, 탐험 그 자체만으로도 의미가 있다


띄엄띄엄 알고 있던 양자의 세계에 대해서, 물리학자들의 고민과 이론 발전 과정을 차곡차곡 설명해 주는 책이다. 이 정도면 책이름을 '친절한' 양자론이라고 해도 인정.


나는 항상 나와 다른 인지체계를 가진 존재의 감각이 궁금했는데, 예를 들면 반향정위를 느끼는 박쥐라던가 500km 거리에서 소통하는 고래, 날개를 가진 새의 감각등이다.

이 책을 읽은 후에는 슈뢰딩거 방정식 속의 허수의 세계를 너무나 느껴보고 싶다.

양자의 세계는 허수의 세계가 포함되어 있고, 사실상 허수의 세계는 실제로 우리가 사는 세계의 일부라는 것이 이미 학계의 정설이라니. 왜 이제야 알게 된 거죠. (허수는 허수가 아니었네)

멀티버스-전생과 내세-유령과 신선-앤트맨과 와스프-닥터스트레인지의 세계가 나와 함께 존재하는 현실로 느껴진다.

파인먼다이어그램의 축을 돌리면 한 세계에서 바라보는 현상을 다른 축의 세계에서는 다르게 보게 된다. 그렇다면 대체 과거는 무엇이고 미래는 무엇인가. 시공간의 제약 없이 파인먼다이어그램을 다루는 물리학자들은 hoxy... 허수의 세계를 직관적으로 느끼는 훈련이 되어있을까.


실재론과 실증론의 혼돈의 카오스 속에서 인간의 인지능력의 끈을 붙잡고, 양자 퍼텐셜 개념을 만들어 설명하고자 노력한 봄도 리스펙트. 입자를 점이 아닌 길이를 가진 끈으로 보아 무한대의 난제를 벗어나고자 초끈이론이 등장하는 것도 리스펙트. 세상 이해를 위한 이 여정, 아름답도다.


중첩가능한 상태의 기준, 확률상태에서 확정이 되는 기준은 무엇인가에 대한 궁금증도 일부 해소 되었다.

일단 광자등의 영향을 받아 상태 변화가 가능한 양자의 세계에서는 가능하고, 그 외 어디까지 가능한가가 궁금했는데, 강한 코펜하겐 학파는 '인간'의 개입을 얘기하고 약한 코펜하겐 학파는 '관측'이라고 까지 설명한다. 하지만 확실한 규칙이 없고, 현재로서는 본질에 대한 해설이 불가능한 상태라고.


매우 흥미롭게 잘 읽었다.

그런데 한 권을 읽었으면 뭔가 양자론에 대해 더 막 궁금해져야 할 것 같은데, SF 판타지스러운 상상만 떠오르는 걸 보니 여전히 1도 모르는 것이 분명하다.



책은 크게 3장으로 이뤄져 있다


제1장 : 슈뢰딩거의 고양이 - 양자론의 확률적 해석

- 양자의 세계를 설명하는 파동함수는 확률의 파

- 양자역학 = 불확정성의 원리 + 중첩의 원리


제2장 : 봄의 양자 퍼텐셜 - '이단'의 양자론

- 양자론 해석을 둘러싼 우여곡절 - 실재론 vs 실증론

- 벨의 정리 : 논쟁에 종지부를 찍은 사건, 실증론 승

- 봄의 양자론 : 실재론의 부활, 양자 퍼텐셜(양자의 세계를 시각화해서 눈으로 볼 수 있게 해석, 벨의 정리 회피 성공)


제3장 : '무한대 해의 난제'를 해결한 파인먼의 재규격화

- 재규격화 이론 by 도모나가 신이치로(노벨 물리학상) : 무한대 해의 난제 해결

- 파인먼 다이어그램 by 리처드 파인만 : 양자 간 상호작용을 확률적으로 계산하는 데 사용하는 도식적 방법, 양자 세계를 이미지화


아래는 각 챕터의 정리 for Me ;)


제1장 : 양자론의 확률적 해석, 슈뢰딩거의 고양이에 관해


1-1 양자란 무엇인가

- 1900 시작, 양자론 : 극소(1/1000만 mm 보다 작은) 세계(비상식적인 일이 생기는 세계)를 기술하는 물리학 이론

- 1905 시작, 상대성이론

- 두 이론의 의미 : 물질에서 실증으로

- 물질 : 뉴턴역학, 고전역학, 단독 존재-단독 실재

- 고전역학 : 물질은 질량/위치/에너지(운동&위치) 가짐

- 실증 : 존재는 관측에 의존, 관측장치와 관계에 따라 실증


1-2 슈뢰딩거의 등장

- 엘빈 슈뢰딩거 : 가설(양자론)을 학문(양자역학)으로 올림

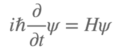
- 1925 슈뢰딩거의 방정식 : 미분사용한 파동방정식(파가 어떻게 에너지를 전달하는지 기술)


1-3 짧지만 핵심적인 양자론의 역사

- 아이작 뉴턴, 빛이 입자라고 생각 vs 크리스티안 하위헌스 빛이 파동이라고 주장

- 20C : 빛이 둘 중 하나라고 하는데 한계가 있는 게 아닌가라는 의심

- 막스 플랑크 : 빛에 '최소 단위(플랑크 상수)' 있음 발견, 양자가설 최초 주장, 양자론 창시자

- h = 6.62607 X 10^-34 J·s

- 알베르트 아인슈타인 : 플랑크 생각 구체화, 파라고 여긴 빛이 최소단위(퀀텀 <quantum, 양자>) 가진 입자 성질 있다고 주장

- 닐스 보어 : 최소단위 h 바탕으로 전자궤도 정해진 전자가 핵 주위를 돈다고 생각

- 루이 드브로이 : 물질파 개념(노벨 물리학상), 입자라고 여기던 전자에 파의 성질 주장

- 아인슈타인 + 드브로이 : 모든 물질은 입자와 파 두 성질이 다 있구나


1-4 허수와 파동의 세계를 다룬 슈뢰딩거 방정식

슈뢰딩거의 방정식

- ℏ(디렉상수) = h(플랑크상수)/2π

- H(에너지) = 운동에너지+퍼텐셜(위치)에너지

- ψ(프사이) : 시간 t와 공간 x의 함수로서 파동함수(wave function)

- 방정식의 해석 : 우변의 에너지를 구체적으로 알고 있으면, 변수 ψ의 시간적 변화(ψ의 t미분)를 계산할 수 있다


1-5 ψ는 왜 파동함수일까?

- 답 : 슈뢰딩거 방정식의 해가 사인과 코사인의 형태로 나타나기 때문

- 설명 갑니다

- ψ(t, x) : 시간과 공간의 함수

- 미분 법칙 = 사인을 미분하면 코사인, 코사인 미분하면 사인 = 삼각함수 미분하면 삼각함수

- ψ 미분하면 ψ


1-6 파동함수 ψ에 숨은 의미

- ψ는 '무엇'의 파동이냐면 => '확률'의 파동

- 슈뢰딩거 : 내 방정식에 등장하는 ψ는 양자라는 실체를 나타내는 파(본인은 실재의 파라고 믿음)

- 막스 보른 : 슈뢰딩거 방정식의 ψ는 양자 그 자체가 아니라 양자가 존재할 확률의 파(현재는 이게 맞다고 입증됨)

- 코펜하겐 해석 : ψ 는 확률의 파 (보어, 보른, 하이젠베르크)

- 실재론 : ψ는 실체의 파(아인슈타인, 슈뢰딩거, 드브로이)


1-7 확률파를 살펴보자

- 보어의 수소 원자 모델 : 전자 에너지가 클수록 바깥궤도, 에너지를 잃으면 안쪽으로 떨어지고 잃은 에너지는 빛으로 외부 방출 (궤도는 불연속적, 플랑크 상수가 결정)

- 전자궤도는 실제로 태양계 모습보다는 확률의 구름 모양. 이 구름 모양이 ψ의 모양(확률파)


1-8 확률파를 수축시키는 '관측'

- 아인슈타인 : 확률적 예측인 슈뢰딩거 방정식은 완전하지 않음, 더 완전한 방정식 나올 것 '신은 주사위를 던지지 않아'

- 벨의 정리가 증명되면서, 궁극적 법칙은 주사위 던지기 입증


1-9 하이젠베르크의 불확정성원리

- 베르너 하이젠베르크 : 양자의 세계는 행렬로 기술되리라, 행렬역학

- 폴 디렉 : 슈뢰딩거의 파동역학 = 하이젠베르크의 행렬역학임을 이후에 입증

- 하이젠베르크가 계산한 것 : 양자의 위치 x와 운동량 p의 관측 정밀도 사이에 반비례 관계 성립(반비례 계수가 플랑크 상수)

- 양자의 관측은 플랑크 상수보다 더 정밀한 측정이 불가함(자연에는 물리적 측정 한계 존재) = 불확정성원리

- 전자, 양자같이 매우 작은 입자는 광자(빛)가 충돌하면 어딘가로 튕겨 나감 = 사람이 보았을 때 그 자리에 없음 = 관측 행위가 대상의 상태에 영향 줌


1-10 실재론 vs 실증론

- 아인슈타인 : 광양자가설(빛은 입자 성질, 노벨 물리학상)

- 달을 등지고 있을 때, 달은 존재하는가? 실증론자:관측하지 않아서 알 수 없음

- 불확정성이 적용되는지 여부(플랑크상수 크기)가 갈림길


1-11 '슈뢰딩거의 고양이' 패러독스에 대한 고찰

- 양자역학의 양대 기본 원리 : 중첩의 원리(principle of superposition)와 불확정성원리(uncertainty principle)

- 양자역학에는 입자의 궤도 존재하지 않음 : 불확정성원리

- 이 정도로 고전역학을 거부하긴 부족, 파동함수의 중첩원리가 더해지면 가능

- 고전역학(위치, 속도), 양자역학(상태)이 이론의 기반 => ψ : 상태벡터, 파동벡터(확률의 파동 함수)의 공간 : 힐베르트 공간(유클리드 공간을 무한차원으로 확장한 공간)

- 물질은 소립자(전자, 양성자, 중성자, 중간자 등)가 결합하는 방식에 따라 성질(색, 온도, 굳기 등)이 결정됨

- 따라서 소립자는 그런 성질이 없음

- 또한 소립자는 위치와 운동량의 정확한 값을 동시에 가질 수 없음


1-12 '슈뢰딩거의 고양이'에 관한 현대적 전개

- 1996 베릴륨 원자의 중첩 상태(두 장소에 동시에 존재) 실험으로 입증됨

- 2000 전류에서 오른쪽으로 도는 상태와 왼쪽으로 도는 상태 중첩이 존재함 연구 결과 사이언스지에 실림

- 슈뢰딩거 방정식의 '허수' : 양자역학의 외부세계(뉴턴역학 세계와 비슷, 실수) 내부세계(복소수, 허수) 중 '내부세계' 표현

- 양자의 움직임은 복소수의 세계로 표현, 그럼 우리의 세계도 복소수로 이루어진 거 아닌가

- 복소수 세계에 존재하는 것 = 파동함수 파의 성질을 가진 썸띵 = 파와 입자 성질을 모두 가진 확률로만 예측가능한 존재 = 모든 가능성


제2장 봄의 양자 퍼텐셜로 본 '이단의 양자론'


2-1 파동과 입자로 해 본 이중 슬릿 실험

- 파동의 간섭무늬는 검은색(상쇄간섭)에서 흰색(보강간섭)으로 부드럽게 단계적으로 변화


2-2 양자를 이해할 수 있는 또 다른 이중 슬릿 실험

- 이중 슬릿에 양자 발사 : 이중 슬릿을 통과할 때 파동성이 나타나 동시에 두 개의 틈을 통과

- 최종 도달 지점에서 양자가 관측장치(스크린)와 상호작용하여 점의 형태로 외부세계에 나타남

- 우리는 외부세계밖에 못 보니 중간과정(내부세계)까지도 외부세계의 감각으로 이해하려 하니 모순처럼 느껴짐


2-3 양자론으로 밝혀낸 원자의 모습

- 수소원자의 원자핵과 전자는 모두 양자

- 고전역학의 러더퍼드 원자모델(입자적 모델) : 주위를 도는 전자는 가속도 운동을 하므로 빛을 방출하고 에너지를 잃고 궤도를 유지 못해 핵 쪽으로 빨려 들어가게 됨 => 실제 원자는 붕괴하지 않음, 러더퍼드 모델은 유지 불가

- 전자가 파를 이루는 원자모델 : 전자궤도는 불연속, 파장은 정수배의 개수만 생김 (양자조건), 전자구름, 여러 개의 전자가 존재해서가 아닌 그 전체로서 한 개의 전자가 동시에 존재하는 개념


2-4 '이단'의 물리학자 봄의 등장

- 데이비드 봄 : 1952 양자론의 실재론적 해석

- 참고 : 로버트 오펜하이머의 제자라 추방당함

- 오펜하이머 : 최초 원자폭탄 개발 이끎, 수소폭탄 반대, 스파이 누명, 쫓겨남(오펜하이머 사건)

- 숨은 변수라는 독창적 개념 만듦


2-5 '숨은 변수'란 무엇인가

- 숨은 변수 : 이중 슬릿의 도중의 경로 의미

- 코펜하겐 학파 : 도중의 경로는 이야기할 수 없는 부분

- 실재론자 : 양자론이 불완전해서 현재는 설명 못하나 언젠가 밝혀지면 실재함 => '숨은 변수 이론'

- 참고 : 좋아하는 마음을 상대에게 고백하지 않았을 때는 상대와 친구로 지낼 수 있지만, 한 번 고백하고 상대의 마음을 알면 더 이상 친구로 지낼 수 없다, 좋아한다는 말이 상대에게 영향을 끼치기 때문이다


2-6 스핀 변수와 슈테른-게를라흐 장치

- 스핀 : 양자의 회전, 플랑크상수에 비례하여 불연속적 값 가짐. '양자 팽이'는 회전축 방향(스핀)이 불연속적이며 위아래 두 방향으로만 가능

- 슈테른-게를라흐 장치를 통과시켜서 특정 회전축을 가진 양자만 통과시키도록 했는데, 결론은, 양은 줄었으나 빔이 나왔음 = 스핀 방향이 정해지지 않았다


2-7 스핀 변수도 관측하지 않으면 정해지지 않는다?

- 실증론적 해석 : 양자의 스핀 변수(회전축 방향)는 관측 장치와 상호작용하여 결정된다


2-8 EPR 패러독스와 벨의 정리

- EPR : 아인슈타인(E) + 포돌스키(P) + 로젠(R)

- EPR 패러독스 : 멀리 떨어진 두 양자가 서로 연계되어 순식간에 정보 교환이 이뤄지는 듯 보이는 현상

- 정보가 빛의 속도보다 빠를 수 없으므로(아인슈타인의 상대성 이론) 이것은 역설임

- 두 전자가 싱글렛 상태 : 한 전자가 오른쪽으로 돌면, 다른 전자는 왼쪽으로 도는 상태

- ERP현상 관측이 됨 : 신호가 광속을 넘을 수 없다면, 관측으로 인해 결정된 게 아니라 방출된 순간 이미 결정된 것 아닐까?

- 약한 코펜하겐 해석 : 자전 방향등 상태는 관측 전엔 확률적, 관측하면 확정

- 강한 코펜하겐 해석 : 인간의 의식이 관측하면서 확정된다

- 실재론적 해석 : 관측 전에 이미 확정되어 있지만 인간이 알지 못하는 것뿐, '숨은 변수 이론'


2-9 베르틀만 박사의 양말

- 베르틀만 박사의 양말(Dr. Bertlmann's socks) : 양말의 강도 실험 결과 아래의 부등식 얻음

p[a+b-] + p[b+c-] >= p[a+c-] : 벨의 부등식, 베르틀만의 부등식, 베르틀만의 정리

- 양말이 0도 세탁 이상무 다음 22.5도 세탁 찢어질 확률 + 22.5도 세탁 이상무 다음 45도 세탁 찢어질 확률 >= 0도 세탁 이상무 다음 45도 세탁 찢어질 확률


2-10 벨의 부등식

- 양자를 이용해서 실험(우회전하는 양자, 좌회전하는 양자)하면, 벨의 부등식이 성립 안 함

p[a+b-] (7.32%) + p[b+c-] (7.32%) >= p[a+c-] (25%)

- 그 이유는, 벨의 부등식에는 암묵적인 전제가 있었기 때문. 전제 = 상태는 관측과 상관없이 실재한다(숨은 변수가 존재한다)

- 잠정적 결론 : 숨은 변수는 존재하지 않으며 양자역학은 옳다

- 비국소성(nonlocality) : EPR 패러독스처럼 멀리 떨어진 전자가 초광속 신호로 연결되어 있는 것 같은 상태

- 임의로 조작할 수 있는 게 아님.


2-11 양자얽힘이란 무엇인가?

- 결정실험 : 양자론 vs 숨은 변수이론 결정을 위한 실험, 벨의 부등식 필요함

- 양자 얽힘(quantum entanglement)이라는 불가해한 현상과 관련됨

- 양자도 싱글렛이 있음. 싱글렛인 두 양자의 회전축 방향은 반대임, 이때 두 양자는 '양자얽힘' 상태임

- 멀리 떨어져 있어도 두 양자는 특별한 방법으로 정보를 공유하고 있는 얽힌 상태


2-12 실재론을 잠재운 아스페의 실험

- 얽힌 양자 짝으로 실험, 입증된 것은 (1) 실재론의 숨은 변수는 존재하지 않음 (2) 양자론의 예측은 옳음

- 알랭 아스페 : 1980년대에 벨의 정리를 실험으로 검증, 아인슈타인이 주장하던 '국소적인 숨은 변수이론', 실재론을 잠재움


2-13 데이비드 봄의 '반란'

- 데이비드 봄 : 벨의 부등식의 허점을 발견(아스페 실험을 지적한 것 아님)

- 허점 : 숨은 변수이론이 '국소적으로 숨은 변수'에 관한 이론임을 간파

- 국소적 : 눈앞에 있는 개미는 그곳에만 있음

- 비국소적 : 개미의 존재가 파처럼 퍼져있고 중첩가능


2-14 양자 퍼텐셜은 어떤 모양인가?

- 봄은 슈레딩거 방정식을 그대로 두고 '해석'만 바꾸고자 함, 슈뢰딩거 방정식을 '파'와 '입자' 두 부분으로 나눠 버림

- 양자 퍼텐셜 : 양자의 '파' 부분은 이중 슬릿 실험의 파와 동질한 것으로 봄


2-15 양자 퍼텐셜과 경로

- 양자 퍼텐셜 : 양자가 스스로 만들어내는 진공의 파

- 입자는 이중 슬릿의 한 틈으로 나와 양자 퍼텐셜 위를 파도타기 하며 나아감


2-16 불확정성이 확률적인 예측을 낳는다

- 봄 학파 해석에도 확률적 예측만 가능

- 측정의 정밀도에는 플랑크 상수라는 한계가 존재

- 불확정성이 확률적 예측을 낳는 것


2-17 터널 효과의 코펜하겐 해석

- 터널효과(tunnel effect) : 양자가 귀신처럼 벽을 뚫고 지나가는 것

- 슈뢰딩거 방정식의 퍼텐셜 우물(potential well)로 설명가능 (반대는 퍼텐셜 장벽 potential barrier)

- 파의 높이는 양자가 '거기서 발견될 확률'과 관련됨. 퍼텐셜 장벽 안에서 파동 함수 약해짐


2-18 봄에 의한 터널효과 해석

- 퍼텐셜만 존재하는 세계는 온전한 사각형의 퍼텐셜 장벽뿐이지만, 거기에 살아있는 양자가 들어가면 서로 영향을 주고받아 세계 자체의 구조가 변화됨


2-19 터널을 통과한 양자의 경로

- 봄 학파의 양자론을 해석하게 되면 사각 퍼텐셜 장벽이 유기적으로 꿈틀거리는 생물과 같은 양자 퍼텐셜이 되어 양자의 바다를 입자가 서핑하듯 움직이는 이미지가 됨


2-20 뉴턴역학에 브라운운동을 합한 양자론?

- 봄학파의 양자 퍼텐셜은 진공에 존재하는 브라운운동의 원인이 된다고 볼 수 있음

- 그렇다면, 양자론 = 뉴턴역학 + 브라운운동 , 라고 생각할 수 있음

- 양자 = 뉴턴역학의 '입자' + 브라운운동의 원인이 되는 수면 같은 '울퉁불퉁한 진공'

- 브라운 운동 : 수면의 꽃가루 불규칙한 지그재그 운동, 양자의 운동도 브라운 운동


2-21 '봄 학파 양자론'에 관한 보충 해설

- 양자역학은 허수(imaginary number, 상상의 수)를 이용

- 그러나 양자역학은 현실 세계를 기술함

- 그럼 현실 세계도 허수가 존재함

- 사각 반듯하게 보이는 물건, 실은 기묘한 파가 쳐서 틈 투성이(양자 퍼텐셜 모습) 일 것

- 단지 우리가 허수의 세계를 보지 못할 뿐

- 그 틈을 통해 반대쪽으로 갈 수 있는가? 있다. 양자역학의 세계에는 터널 효과가 존재

- 봄의 이론은 아직 당당히 살아있음. 비상대론적인 슈뢰딩거의 방정식과 상대론적인 디렉방정식도 다룰 수 있음

- 인과해석(causal interpretation) : 실재론적으로 입자는 위치나 운동 궤도가 존재하기 때문에 원인과 결과를 따르는 고전역학 개념으로 이해할 수 있음


제3장 '무한대 해의 난제'를 해결한 파인먼의 재규격화


3-1 수학에서 본 재규격화의 예

- 양자론의 계산에서 최대난제인 '무한대', 그것을 유한한 양으로 만드는 '재규격화'

- 재규격화이론 : 무한을 유한으로 만드는 원리를 이해하는 것이 곧 양자 세계의 확장을 이해하는 길

- 재규격화(renomalization) : 소수를 다루는 수학, 현대수학에서 일반적으로 사용

- 예 : 1+2+3+4+5+6+... = - 1/12

- 초끈이론에서도 사용


3-2 재규격화이론을 생각한 물리학자들

- 한스 베테 : 수소 원자의 두 에너지 상태가 미세하게 어긋남 설명 성공

- 전자가 자신이 만들어낸 전자기적 복사장과 자체상호작용(self-interaction) 하기 때문

- 자체상호작용 : 욕조에 공을 던지면 파가 생기고 그 파가 욕조벽에 부딪혀 자신에게 되돌아와 영향을 줌

- 쿨롱의 법칙 : 전자가 다른 전자에게 영향 주는 방식

F= k x q1xq2/r^2

- 두 개의 전자가 완전히 일치할 경우, r이 0이므로 무한대 해가 생김

- 계산결과는 무한대지만 실제 전자 사이의 힘, 에너지는 유한한 양

- 실험과 이론의 괴리 해소 필요 => 한스 베테의 재규격화 방법


3-3 파인먼다이어그램 입문

- 원격작용(action at a distance) : 입자관점, 대전입자 사이에 작용하는 힘은 순간적으로 동시에 전해짐

- 근접작용(action through medium) : 파동관점, 욕조에 담아둔 물의 파문처럼 천천히 힘이 전해짐

- 리처드 파인먼, 파인먼다이어그램(Feynman diagram) : 양자마당(quantum field)에서 생긴 일을 그림으로 나타낸 것

3-4 파인먼스코프 사용법

- 파인만다이어그램 : 과거에서 미래까지 & 모든 공간을 시공간의 그림으로 나타냄

- 파인먼스코프 : 파인만다이어그램에서 현재와 지금 공간에 초점을 맞추어 일부만 보게 하는 도구

- 참고) 양자론을 하는 물리학자들은 '자연단위계'라는 특수한 단위를 사용. 광속 = 1, 플랑크상수=1, 전자의 전하 e^2 =1/137


3-5 과거와 미래의 의미

- 파인먼 다이어그램에서 축을 돌리면, 다른 해석이 가능함

- 아인슈타인의 상대성 이론에 따르면 우주에 존재하는 시간은 유일무이한 것이 아니라 수없이 많음

- 우주선을 타고 있는 고양이 눈에 전자가 광자를 방출하는 것처럼 보이는 현상을 지구에 있는 사람이 본다면 전자와 양전자가 부딪혀 광자가 쌍생성된 것처럼 보일 수 있음

- 시공간의 '좌표' 속에 그린 파인먼 다이어그램, 결과적으로 좌표 자체에는 보편적 중요성이 없음

- 그래서, 물리학자 : 아무것도 없는 종이 위에 파인먼다이어그램만 그리고 계산

- 배우는 입장 : 시공간 토대 위에(축을 가지고) 파인먼다이어그램을 그리는 것이 이해 쉬움


3-6 광자가 소멸하는 순간, 진공편극

- 진공편극(vacuum polarization)

- 진공편극 1 : 진공의 과거에서 갑자기 음전기를 띈 전자와 양전기를 띈 양전자와 중성인 광자가 생성됨, 그리고 다시 소멸하여 모두 사라짐 : 진공에서 양자가 생성되어 편극(극의 나뉨)되었다

- 진공편극 2 : 처음엔 광자만 있다가 광자가 소멸하는 순간 전자와 양전자가 쌍생성되었다가 다시 쌍소멸하여 광자만 남음 : 전자와 양전자가 진공에서 편극되었다

- 진공 편극 발생 확률의 계산 : (1) 교차점 개수에 1/137을 곱 (2) 에너지 수지(인풋 아웃풋이 맞아떨어짐) 고려하며 모든 에너지 분배 가능성을 합

- 진공편극 2 경우 양쪽으로 분리되는 에너지의 종류는 무한대의 해 가짐


3-7 무한대 해의 난제

- 무한대 해는 뿌리 깊은 난제

- 뉴턴 만유인력 법칙

F = G x Mm / r^2 : 거리가 0이면?

- 고전물리학에서는 '그렇게 까지 거리가 가까워지면 고전 물리학을 뛰어넘는 기초 이론이 필요하므로 생각하지 마'라고 해왔음

- 그르나 양자론에서는 더 이상 묻을 수 없음


3-8 '섭동'이라는 수학적 방법

- 함수 (A) 1/1-x를 (B) 1+x+x^2+....로 근사식으로 표현해 볼 수 있음

- 섭동 : x를 0.01이라고 할 경우, 제0근사는 1, 제1근사는 0.001, 제2근사는 0.000001 이렇게 작은 보정을 계속해 나가는 방법

- 원래 행성의 운동을 계산할 때 제0근사는 태양영향만 생각, 제1근사로 옆에 있는 행성 영향.. 사용하던 것이 시초

- 양자론의 반응 확률 계산에도 이런 근사식 사용

- 반응확률 f(x) = e^2 + e^4g(x) + e^6h(x) + ...

- 근사식 (B) 1+x+x^2+... 있을 때, 이 무한급수가 의미를 가지려면 x 절대값이 1 이하여야 함

- 1보다 크면, 무한대 해의 난제

- 해법은 간단, 원래 식 (A) 1/(1-x) 쓰면 됨, 단 x=1 아닐 때 의미 있음

- 즉, 발산은 적용 범위가 좁게(1보다 작은 것만 수렴함) 정의된 식에서 그 적용범위를 넘어선(1보다 큰) x 값을 대입하기에 생기는 문제

- (B)의 식을 (A)의 식으로 바꾸는 '무한대의 제거'가 바로 '재규격화'


3-9 흐름결합상수

- 지금까지 기본 전하 e는 상수라고 생각해 옴

- 그러나 e는 변함. e는 에너지에 의존하는 함수

- 흐름결합상수(running coupling constant) : 에너지에 따라 결합상수도 변해가는 것

- 어떤 에너지 μ , 모든 에너지 x

- 모든 에너지 반응확률 f(x) = e^2 + e^4g(x) + e^6h(x) + ...

- 어떤 에너지 반응확률 f(μ) = e^2 + e^4g(μ) + e^6h(μ) + ...

- 여기서 μ 를 가지고 한 실험결과로 f(μ), g(μ), h(μ) 값이 정해지면 e 도 정해짐

- f(μ) = 0.1이라면 제0근사에서 e^2=0.1

- e_R : 재규격화된 전하

- f(μ) = e_R^2


3-10 '제한'과 고차의 재규격화

- 또 하나의 기법 '제한' : 적분의 무한대를 일시적으로 유한한 양으로 제한하는 방식의 계산법

- 반응함수의 g(x), g(μ)는 무한대까지의 적분, 무한대를 풀기 위해 상한을 특정 값으로 제한하여(재규격화) 계산 후 다시 특정 값을 무한대로 되돌려도 {g(x) - g(μ)} 는 유한함

- 재규격화 이론의 개요

-1 반응확률의 섭동을 전개

-2 재규격화의 수식(실험값)을 준비

-3 맨몸의 전하 e를 재규격화한 전하로 전개(일종의 변수 변환)

-4 무한대를 제한하여 일시적으로 유한한 특정 값으로 바꿈

-5 반응확률에 재규격화 수식을 대입

-6 특정값을 무한대로 되돌림

- 재규격화 후 : f(x) = e_R^2 + e_R^4{g(x)-g(μ)} + ...

- e 도 재규격화되고(2-3단계), g함수도 유한값이 됨(4-6단계)


3-11 머릿속에 쏙쏙! 양자론 개념 총정리

- 1) 두 파가 혼재

- 실재론자 : 아인슈타인, 슈뢰딩거 : 세계는 물질로 이뤄짐, 물질을 기술하는 것이 방정식

- 고전역학의 완전 계산-예측되는 세상을 추구, 양자론이 완성되면 결정론적 이론이 만들어질 것 믿음

- 실증론자 : 하이젠베르크, 보어, 보른 : 실증할 수 있으면 그만이고 실재는 아무런 의미가 없음

- 완전한 것은 불가, 양자론은 확률적 예측만 가능

- 2) 실증론의 승리

- 두 입장이 다투는 사이, 알랭 아스페의 결정적 실험으로 대부분은 실증론 편으로, 존 벨의 정리(실제로 전재로 만든 부등식이 실험해 보니 성립 안 함)로 종지부

- 3) 실재론 입장의 해석 등장

- 실증론 승리에 반기를 들고 이단의 물리학자 데이비드 봄, 방정식은 그대로 인용하나 실재론적 입장에서 해석 시도, 양자역학 방정식을 파와 입자 두 부분으로 분리(변수분리), 이해하기도 쉬움

- 봄은 실재론적 해석을 하지만 아인슈타인이나 슈뢰딩거와 달리 '파의 비국소적 성질'을 주장

- 비국소적 : 정보가 전체에 퍼져있음. 전체를 보지 않으면 어느 한 부분도 예측 불가 (네트워크 이론과 유사)

- 봄의 뛰어난 점 : 비국소적인 부분을 모두 파의 해석에 포함시킴, 입자는 국소적 존재이나 봄은 그 입자가 비국소적인 파 위에 있어서 영향을 받았다는 해석을 시도함

- 4) 재규격화

- 파인만, 계산결과가 무한대 난제를 유한한 양으로 재규격화 하는 것으로 해결

- 5) 초끈이론의 등장

- 양자중력에서는 재규격화가 무한대 해결 못함 : 양자중력이론(quantum graviti theory), 즉 중력에 관해서는 재규격화 사용이 안 되는 것이 판명됨

- 해결을 위한 아이디어, 입자 간의 거리가 완전히 0이 되지 않게 하자

- 초끈이론(superstring theory) : 입자가 점이 아닌 '길이'를 가진 끈으로 설정하여 퍼져나갈 수 있게 함. 점을 끈으로 승격, 그러면 길이가 있으므로 크기가 완전히 0이 되지 않음


- 실재론자 : 상보성(complementarity) : 어느 때는 입자, 어느 때는 파 (wave or partivle), 보완하며 존재

- 봄학파의 실재론 해석 : 소립자는 입자이며 위치도 실제, 양자의 파는 입자와 따로 존재, 파와 입자(wave and particle), 양자 퍼텐셜로 시각화 가능


- 관측 문제 : 확률적인 상태가 확정되는 것은 언제부터인가

- 미확정에서 확정으로 이행 = 파속의 수축(collapse of wave packet) = 파동함수의 붕괴(collapse of wave function)

- 미확정->확정 상태로 이행을 기술하는 확실한 규칙이 없음, 현재로서는 본질 해설 불가능

- 폰 노이만 : 인간의 의식이 관측한 순간에 파속이 수축한다

- 마치다-나미키 이론 : 실험을 통해 계산하여 근거 제시, 파동함수 아닌 밀도행렬(density matrix)로 정식화함, 수학적으로는 초선택규칙(superselection rule)

- 봄 학파 : 원래 입자 위치가 실재하므로 수축 자체가 존재하지 않음

- 여러 가능성이 있다는 것은 여러 세계가 있다는 뜻, 그중 하나가 확정된다는 것은 다세계(many worlds)중 한 세계가 실현되어 우리가 그 안에 살고 있음을 뜻함


keyword
매거진의 이전글감정은 어떻게 만들어지는가? by 리사 펠드먼 배럿