brunch

크립토 리스크 전이의 인과 네트워크

Causal Network of Crypto Risk-spillovers

by hkk

Intro


올해 우리 연구실의 가장 큰 주제는 ‘Causality’이다. 앞선 포스팅에서 잠깐 설명했듯이 앞으로는 점차 상관관계(correlation)보다 인과관계(causality)가 더 중요해질 것인데, 아직 시스템화 되지 않은 크립토 시장에서는 명확한 인과추론이 필요하다. 특히나 크립토 시장은 주식 초기 시장처럼 우리가 명확하게 정의하기 힘든 변동성들이 많다. 그리고 이러한 연구를 진행하던 중, 상장 기업간 리스크 전이 즉, 상장 기업간에 주가 변동성의 인과 관계를 추론한 연구를 발견하였고, 이를 크립토 시장에 접목 시켜 보았다. 크립토 시장의 역사가 짧아 데이터의 신뢰성이 주식시장보다는 떨어지지만 단기적 리스크 전이 효과를 측정하면서, 향후 연구를 확장한다면 좋은 주제가 될 것같다.


모형설명


우선, 리스크 프리미엄을 정의할 필요가 있다. 리스크 프리미엄은 경제학 모델중 가장 유명한 CAPM model로 정의되는데 이는 좌측은 개별 주식 수익률에서 무위험 이자율을 뺀 것으로 개별주식의 리스크 프리미엄이라고 한다. 우측은 시장 수익률에서 무위험 이자율을 뺀 것으로 시장의 리스크 프리미엄이라고 한다. 그리고 이 둘의 관계를 회귀식으로 나타내면 아래와 같은데 t시기의 개별주식 리스크 프리미엄은 시장의 리스크 프리미엄과 선형관계를 나타낸다는 것이다.

1*gv0w6sG5WcJVowXGrep_nA.png

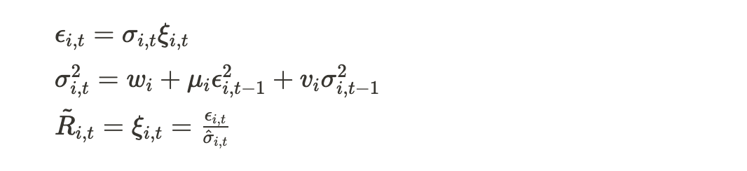
이 이론에 따르면, 개별주식의 리스크 프리미엄은 오직 시장의 리스크 프리미엄에만 영향을 받는다는 것인데, 그런 시장은 없다는 것을 모두가 알고 있을것이다. 그래서, 우리는 관측되지 않은 risk-premium을 찾아야 하고 이는, 오차항에 내재되어 있다고 볼 수 있다. 오차항에 내재되어 우리가 관측할 수 없는 리스크 프리미엄의 경우 아주 유명한 리스크 모델인 GARCH 모형을 활용한다. GARCH모형을 간단히 설명하면 t시점의 주식의 표준편차는 t-1시점의 오차항의 제곱과 표준편차와 선형관계를 가진다는 것이고, 우리는 이러한 성질을 활용해 t시점의 분산을 추정하고, 전시점의 오차항과 분산을 통해 filtering된 risk-premium인 GARCH-filtered firm specific risk premium을 인과추론에 사용할 것이다.

1*U97KDfAeedz2wH3EorKaTA.png

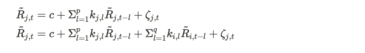
마지막으로, 추정된 risk premium을 두가지 Vector Auto Regression(VAR)을 사용해 가설검증을 시행할 것이다. 첫번째 VAR식은 t시점의 회사 j의 리스크 프리미엄은 t-1~t-p시점의 회사 j의 리스크 프리미엄에 영향을 받는 다는 것이고, 두번째 VAR은 t시점의 회사 j의 리스크 프리미엄은 t-1~t-p시점의 회사 j의 리스크 프리미엄과 회사 i의 리스크 프리미엄에 영향을 받는 다는 것이다. 이번 실험에서 p=50이다.

1*vXB9uBK6I6Qx5MYvIuJ_Cw.png

그리고 이 두가지 식의 통계적 유의성을 검증하기 위해 F-test를 진행하였고, 식을 통해 나온 critical value가 95%신뢰수준 하의 F통계량보다 크면, ‘회사 i는 j에 인과 관계를 주지 않는다’는 귀무가설은 기각하고, 회사 i는 j에 인과 관계를 형성하게 된다. 이렇게 두 회사 사이의 인과 관계를 추론하여 인과관계가 있으면 1, 없으면 0인 엣지를 만들게 되고, 이는 각 verteces(회사)와 연결된 그래프 Gt(Vt,Et)를 만들 수 있다.

1*b1TOcInBnpDKSpDmLxfxug.png



실증분석


데이터 분석 기간은 2021년 2월 3일 부터 2022년 8월 18일까지 데이터를 분석하였다. 시가총액 상위 기준 총 38개의 크립토 가격의 로그수익률을 크롤링 하였는데, 크립토 가격의 역사가 짧아, 데이터 분석기간도 짧아졌고 분산은 30일 이동선을 사용하였다.


해당 network connectivity를 분석하였다. Network connectivity는 위의 F-test 결과에서 명시했듯이, 두 자산간 causality가 있으면 1, 없으면 0이 되는 것으로, 첫번째로 시간에 따른 리스크 확산을 분석하였다. 해당 실험에 근본이 되는 논문에서는 긍정적 이슈에는 리스크 확산이 상승하고, 부정적 이슈에는 리스크 확산이 하락한다 하였다. 즉, 긍정적 이슈가 발생하면 리스크프리미엄이 더 붙는것이다. 하지만, 크립토의 경우 분석 기간이 워낙 짧아 시간에 따른 긍정/부정적 이슈의 영향을 확인하기에는 역부족이었다. 그래서, 네트워크 connectivity 전체를 보기로 하였다.

1*lQ-qxZqmYzfBFLQpa2pVAg.png


두번째로 전체기간의 network connectivity를 분석하였다. Normalized Network Connectivity(NC)는 전체 기간의 causality의 합산을 표준화 한 것이다. 아래 그래프에서 볼 수 있듯이 알고랜드(ALGO)의 connetivity 평균이 가장 높고, 그 다음 카다노(ADA), 비트코인 캐시(BCH), USDC가 뒤따랐다. 알고랜드나 카다노의 connectivity가 가장 많지만, 그만큼 분산이 커서 특정 날짜에 connectivity가 강하게 생겼다는 것으로 유추할 수 있고, 반면 비트코인 캐시는 해당 기간 전체적으로 connectivity가 골고루 강하게 분포하는 것으로 보인다. 또한 USDC, USDT, TUSD 등 스테이블 코인들 또한 평균이 높고 분포가 작아 전체 기간에 골고루 connectivity를 형성한 것으로 보인다.


1*xOk9R29rcAh_sjZSX88Ytg.png


그리고, causal을 받는 즉, 리스크 프리미엄을 다른 코인으로부터 받는 정도를 알 수 있는 Normalized In Degree(NiD)의 경우 알고랜드(ALGO), 카다노(ADA), USDC, 트루USD(TUSD), USDT 순서로 평균 NiD가 높았다. 알고랜드와 카다노는 위에서 구한 NC가 높게 나왔는데 리스크 프리미엄을 받는 쪽인 것으로 파악된다. USDC, TUSD, USDT의 NiD의 평균은 높고, 분산도 작다. 즉, 전체 기간에서 균등하게 다른 코인들로부터 risk-premium을 받는 것으로 파악된다.


1*PloV92iWGQQW9lML5m-2jg.png


아래의 알고랜드와 카다노의 리스크 전이 그래프를 보면, 작년말과 올해 8월에 NC가 크게 상승하는 것으로 보인다. 즉, 작년말과 올해 8월에는 크립토 시장의 급락이 있었는데, 알고랜드와 카다노는 다른 코인들보다 이와 같은 부정적인 리스크에 대해 다른 코인들의 변동성에 영향을 많이 받는다고 알 수 있다.


1*LnkoJ2b2WrkMp1XrY6FeXw.png


리스크 프리미엄을 다른 코인에게 주는 Normalized Out Degree(NoD) 평균의 경우 랩트비트코인(WBTC), 비트코인(BTC), 이더리움(ETH), 비트코인 캐시(BCH), 바이낸스코인(BNB), 모네로(XMR) 순서로 높았다. NoD의 경우 NiD와는 다르게 전체적으로 코인들의 분산이 비슷한 양상을 보인다. NoD 상위 코인들의 경우 비트코인, 이더리움 관련 코인들로 유동성이 크고 역사가 오래된 코인들이다. 그리고 이 코인들은 NiD에서는 하위권으로 나타났는데 리스크 프리미엄을 받기보다 주는 쪽에 속한다고 볼 수 있다.


1*T01Tlkb5M540Mu2M_hGjbQ.png


NoD와 NiD 공통적으로 상위권인 코인은 찾아볼 수 없었다. 즉, 코인들 사이에 리스크 프리미엄을 주는 코인과 받는 코인으로 나눠진다고 볼 수 있는데, 다른 코인에서 리스크 프리미엄을 받는 코인들은 USDC, USDT, TUSD 등 스테이블 코인이고 다른 코인으로 리스크 프리미엄을 주는 코인은 BTC, ETH, BNB 등 시가총액이 높고 유동성이 좋은 코인들이다.


마지막으로 섹터간 connectivity를 보았다. 섹터는 Bitcoin Related, Ethereal Related, Smart Contract, Platform, Stable Coin, DeFi, Meme, Privacy 그리고 etc 총 9개로 나누었으며 섹터의 network causality 평균을 산출하였다. 섹터간 리스크 프리미엄 전이가 가장 큰 섹터는 smart contract이고 그 다음 bitcoin related, ethereum related가 뒤따랐다. Smart contract는 meme과 가장 많이 인과관계를 형성했고 그 다음 platform, stable coin 순으로 인과관계를 형성했다. Bitcoin related코인은 이더리움 관련 코인 그리고 privacy 관련 코인과 가장 많은 인과관계를 형성했다.


1*QBgAGdgTFJ-nRDGiVA_DKA.png


리스크 프리미엄 전이를 많이 주는 섹터는 bitcoin related, ethereum related, privacy 섹터이다. 앞선 box plot과 마찬가지로 비트코인과 이더리움 관련 코인들이 다른 코인에 리스크를 전이 시키는 것으로 나타났다. 비트코인 관련 코인은 이더리움 관련코인에 리스크를 많이 전이 시키고, 이더리움 관련코인은 DeFi, 탈중앙화 그리고 privacy 관련 코인에 리스크를 가장 많이 전이 시킨다.


1*fo-Y4ginzm-poG4mw4O4nA.png


리스크 프리미엄을 많이 받는 섹터는 stable coin과 smart contract이다. 섹터 NiD또한 box plot결과와 유사하게, stable coin과 smart contract관련 코인이 다른 섹터로부터 리스크 전이를 많이 받는 것으로 나타났다. Stable 코인은 밈코인으로부터 가장 많이 리스크 전이를 강하게 받는 것으로 나타났고, smart contract 코인도 밈코인 그리고 DeFi 로부터 전이를 가장 강하게 받는 것으로 나타났다. 하지만 이는 밈코인이 도지코인 하나 뿐이라서 나타난 외곡현상으로 해석할 수 있어 사실상 stable coin과 smart contract에 리스크 전이를 주는 코인은 stable coin과 smart contract 서로 인것이 더 타당하다.


스크린샷 2022-08-23 오전 10.52.53.png

결론적으로 종합하자면, 1) 알고랜드와 카다노는 부정적 리스크 전이에 취약하다. 알고랜드와 카다노는 다른 코인대비 리스크 전이를 많이 받는 것으로 나타났는데 특히나 크립토 급락이 있었던 시기에 리스크 전이를 많이 받아 다른 코인들의 가격 하락에 따른 하락의 가능성이 큰 것으로 나타난다. 2) 비트코인과 이더리움 관련 코인들은 리스크 전이에 중심에 있다. 다른 코인들에 리스크를 전이시키는 가장 큰 섹터는 비트코인과 이더리움 코인이다. 이들은 코인들이 시장대비 over/under perform할때 다른 코인들의 리스크 프리미엄을 가장 많이 전파시키는 변동성의 중심에 있다고 볼 수 있다. 3) 스마트 컨트랙트와 stable coin은 다른 코인들 변동성에 영향을 가장 많이 받는다. 그도 그럴 것이 smart contract는 블록체인 네트워크 기술 자체이므로, 코인 시장 자체가 그들의 위험요인이 되는 것이고 stable coin도 이와 마찬가지다. 즉, 이 둘의 위험요인은 코인 자체의 risk 보다 systematic한 ‘코인 시장’의 위험이 영향요인으로 더 작용할 것이라고 추측할 수 있다.


Reference: Time-varying causal network of the Korean financial system based on firm-specific risk premiums


keyword
작가의 이전글비트코인 밸류에이션을 위한 영향요인 분석