전신 마취 후, 왜 예전처럼 머리가 맑지 않을까?

by 최정미의 뇌과학

수술을 앞두면 누구나 마음 한켠이 불안해집니다.
수술 자체보다 더 걱정되는 건, 아마도 ‘전신 마취’일 거예요.

“혹시 안 깨어나면 어떡하지?”, “기억이 흐릿해지진 않을까?”

이런 생각이 머릿속을 맴돌죠.


전신 마취는 통증을 느끼지 않게 해주고, 수술을 안전하게 진행하기 위한 필수 과정입니다. 하지만 제가 참여한 최근 연구 결과를 보면, 마취는 단순히 ‘깊은 잠’이 아니라 우리 뇌의 리듬 자체를 바꿔 놓는 과정이라는 사실을 확인할 수 있어요.


우리 뇌는 아무 일도 하지 않을 때도 가만히 멈춰 있는 게 아니죠. 멍하니 있을 때, 과거가 떠오를 때, 혹은 그냥 잡념에 시달리고 있을 때도 ‘디폴트 모드 네트워크(DMN)’라는 일종의 ‘내면 회로’가 작동하고 있어요. 이를 ‘쉬는 뇌’ 라고 부르는데, 이 회로가 건강하지 않으면 많은 뇌 질환들이 생기게 됩니다.


그런데 우리가 전신 마취를 하게 되면 이 DMN 리듬이 갑자기 느려집니다.

다운로드 (3).png

수술 후, 이 리듬은 다시 조금씩 빨라지지만 그 속도는 사람마다 달라요. 수술 후 1~2년 정도 추적 관찰해 보면, 젊고 건강한 사람은 약 한 달쯤 지나면 80% 정도 회복되지만, 그래도 완전히 이전 상태로 되돌아가려면 거의 1년이 걸리기도 합니다.


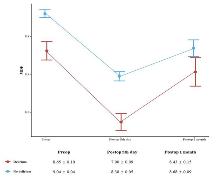
문제는 이미 이 리듬이 느려진 사람들, 특히 나이가 든 분들에게서 나타난다는 점이에요. 노화나 여러 이유로 인해 DMN 리듬이 약해진 상태에서 마취를 하게 되면 수술 후 ‘섬망’이 생길 위험이 높아지니까요.


섬망은 수술 직후 치매 증상과 비슷하게 혼란스럽거나 방향 감각을 잃는 상태를 말하는데, 기억이 흐릿해지거나 착각을 하는 경우도 있습니다. 이런 현상은 단순히 일시적인 혼란이 아니라, 뇌가 자신의 중요한 리듬이 손상되었다는 신호이기도 합니다.

다운로드 (4).png

더 큰 문제는 이렇게 생긴 섬망이 장기적으로는 치매로 이어질 가능성을 높인다는 점이에요. 요즘처럼 고령에도 수술을 하게 되는 초고령화 시대에서는 세계적으로 중요한 사회적 이슈이기도 합니다. 그래서 최근에는 수술 전에 이러한 뇌의 리듬을 미리 살펴보는 ‘뉴로메트릭 평가’를 권하는 경우가 늘어나고 있는데요.


간단히 비침습적으로 통증없이 측정되는 EEG(뇌전위) 검사를 통해 DMN의 뇌 리듬이 정상적인 주파수를 가지고 있는지, 얼마나 안정된 연결 상태인지를 파악해서 수술 후 회복력이 충분한지를 미리 확인하는 것이 점점 중요해지고 있어요.


이 평가 결과를 통해 뇌가 피로하거나 리듬이 느려지고 불안정할 때는 마취 강도를 조절하거나 수술 일정을 조금 늦추기도 하니까요. 이런 세심한 조치 하나가 수술 후 뇌의 회복 속도를 크게 바꿀 수 있거든요.


물론 이러한 회복이 잘 진행되고 있는지 까지 다소 번거롭더라도 객관적인 추적 관찰로 계속 확인한다면 당신의 뇌는 더욱 안전하게 관리될 수 있겠지요.

여러분의 건강한 뇌를 응원합니다.




“과학으로 세상을 밝힙니다. 최정미의 뇌과학.”


네이버 카페 : https://cafe.naver.com/obraincenter

관련 동영상 링크 : https://youtu.be/qRh6wNfjsIY


그림 출처 : https://www.frontiersin.org/journals/aging-neuroscience/articles/10.3389/fnagi.2023.1224264/full