나이 들어도 젊은 리듬의 뇌

by 최정미의 뇌과학

휴식모드 신경망이라고도 부르는

우리 ‘쉬는 뇌’의 리듬은

마치 심장 박동처럼 뇌의 ‘리듬 건강’을 보여주는 중요한 신호인데요.


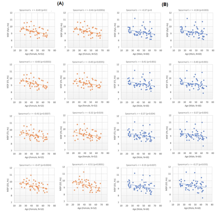
제가 주도했던 건강한 한국인 뇌파 표준화 연구 결과,

젊은이들의 경우 1초에 10번 정도 진동하는 10Hz 리듬을 보였는데,

나이가 들수록 그 리듬 속도는

서서히 느려지는 평균적인 경향이 있긴 했어요.


그래도 건강한 남녀 노인분들의 경우

8.7Hz 정도까지만 느려졌습니다.

이 정도의 변화는 자연스러운 생리적 노화의 범위로 볼 수 있는 셈이죠.


하지만 그 속도가 나이에 비해 유난히 빠르게 느려진다면,

뇌의 기능적 저하나 신경계 이상이 시작되고 있을 가능성을 의미합니다.


이는 건강한 한국인이라는 기준을 만족해야 하는 표준화 연구였기에

젊은 나이대 자원자분들은 모집이 수월했지만,

점점 고령 나이의 자원자분들을 모시는 게 어려웠어요.


당뇨약, 고혈압약 등을 복용하지 않고 계신

정말 ‘건강한 한국 노인분들’을 찾기가 쉽지 않더라고요.

그때 처음 알았네요.

우리나라 어르신들이 이렇게 많은 약을 복용하고 계신다는 사실을요.


어쨌든, 이러한 휴지기 뇌파 리듬의 속도는

재현성이 높고 객관적인 뇌기능 노화 나이 지표로 인정받고 있어,

최근 어르신 브레인케어 측정 현장에서도 점점 더 선호되고 있습니다.

휴식2.png

놀라운 점은,

80세, 90세를 넘어 100세 어르신 중에서도

젊은이 못지않은 리듬 패턴을 유지하고 계신 분들이 종종 계시다는 것인데요.


그분들의 공통점을 대략 살펴보면,

규칙적인 생활, 꾸준한 사회적 교류,

그리고 긍정적인 마음을 단단히 지켜온 습관이 있었어요.

언젠가 기회가 된다면, 그분들만 모아

‘뇌를 젊게 만든 비법’ 을 꼼꼼히 찾아내서 세상에 알리고 싶네요.


어쨌든, 이 사실은 뇌가 다른 장기나 근육과는 다르다는 걸 보여줍니다.

근육은 쓰지 않으면 쉽게 약해지지만,

뇌는 관리하기에 따라 나이를 거스르는 회복력을 지니고 있었던 것이죠.


리듬이 느려졌다고 해서 돌이킬 수 없는 게 아니에요.

인지 예비능을 높이는 활동들에

규칙적인 식사, 수면, 운동, 그리고 스트레스 관리를 함께 한다면

뇌의 리듬은 얼마든지 다시 맑아질 수 있습니다.


초고령화 사회도 두렵지 않은,

대한민국 건강한 뇌를 위하여!

화이팅입니다.




“과학으로 세상을 밝힙니다. 최정미의 뇌과학.”


네이버 카페 : https://cafe.naver.com/obraincenter

관련 동영상 링크 : https://youtu.be/FFc8cEduDRs


그림 출처 : https://journals.sagepub.com/doi/10.1177/1550059420914832


이전 04화무증상 단계에서 미리 위험을 알리는 휴식모드 신경망