매거진 서평

『서평』찰리 멍거 바이블

by 백야


당신이 일어났을 때보다 조금 더 현명해지려고 노력하면서
매일 하루를 보내세요.

- 찰리 멍거, 버크셔 해서웨이 부회장



이 책은 다섯 장으로 구성되어 있지만, 내가 읽은 찰리 멍거 바이블은 크게 네 가지 범주로 나눌 수 있다.


1. 격자틀 인식 모형

2. 패리 무츄얼 게임

3. 오판의 심리학

4. etc.


King's College
격자틀 인식 모형
: 세상을 살아가는 지혜


찰리 멍거의 독특한 사고 체계를 '격자틀 정신 모형Latticework of mental models라고 부른다. 그는 시장에 영향을 주는 여러 요소를 "물리학, 생물학, 사회학, 철학, 심리학을 포함하는 더 커다란 지식 체계의 일부"로 바라보았다. 그는 수학을 전공했고, 전쟁 때는 기상학 장교로 복무했다. 버핏이 숫자를 잘 다루고 기억력이 뛰어난 천재이기는 해도, 경제경영을 전공한 그가 멍거처럼 고차원적인 미적분을 풀거나 물리학, 생물학을 깊이 접하지는 못했을 것이다.


격자틀 인식 모형은 다양한 학문에서 분석 도구와 방법론을 빌려와 하나로 꿰맨 사고의 틀이다. 소위 '통섭'을 실제 의사결정에 활용해 성공한 사례라고 볼 수 있다. 이는 복잡한 투자 문제에 내재하는 혼돈을 제거하고 명확한 펀더멘털을 도출할 수 있는 분석 도구를 제공해 준다.


멍거는 다양한 학문에서 유용한 개념을 빌려왔다. 수학의 복리 개념, 물리학의 티핑 포인트임계점, 화학의 자가 촉매, 생물학의 현대 진화 이론, 심리학의 인지적 오판 모형 등이다. 흥미롭게도 이 격자틀 인식 모형은 멍거가 독학으로 만들어낸 것이다. 그는 대학에서 경제학, 경영학, 심리학, 화학을 배운 적이 없다. 멍거의 지적 능력, 기질, 경험은 그를 버핏이 인정하는 비즈니스 분석의 일인자로 만들었다.




격자틀 인식 모형은 6단계로 구성되어 있다.


1. 다학제적으로 접근하라

2. 가장 중요한 모형에 집중하라
(단 80~90개의 모형이 문제의 대부분을 해결)

3. 모형들을 융합하라

4. 충분히 익혀라
(평생 자동으로 떠올라야 한다)

5. 일상적으로 사용하라
(망치 든 사람 증후군 피하기)

6. 객관적으로 생각하라
(체크리스트 활용하기)



한눈에 봐도 멍거가 '의사 결정'에 많은 자원을 투자하고 있다는 것을 알 수 있다. 투자 결과는? 아무렴 어떤가. 멍거는 "세상 사는 지혜를 터득하는 동안 자연스레 돈을 벌 수 있을 것"이라고 말한다. 그가 이렇게 말하는 데는 나름의 이유가 있다.


복잡계 과학의 창립 기관이자 여러 학문 분야에 걸친 연구를 세계적으로 주도하는 산타페 연구소Santa Fe Institute의 이사회 의장인 마이클 모부신에 따르면, 결과는 운과 과정(노력)의 산물이다. 여기에 더해 투자에서는 적절한 기질까지 필요하다. 운은 우리가 통제할 수 없는 영역에 있다. 그리고 기질은 후천적으로도 습득할 수 있지만 대체로 선천적인 경향이 강하다. 더군다나, 기질은 특정 분야에 적합한 수준에 도달하기만 하면 되기 때문에 오랜 기간에 걸쳐 크게 성장할 여지가 없다.



투자 결과 = 운 + 과정 + 기질


이 공식은 우리가 무엇을 해야 할지 직관적으로, 그리고 명확하게 알려준다. 투자자라면 누구나 탁월한 투자 성과에 집착하는 것이 아니라 과정을 개선하는 것에 집중해야 한다. 기질을 갖춘 투자자가 장기적으로 의사 결정 개선에 힘쓴다면, 실적은 반드시 우상향 할 것이다. 오늘 나는 이 두 사람에게 또 한 번 빠진 것 같다.



경마.jpg


패리 무츄얼 게임
: 경마와 주식 투자의 공통점


찰리 멍거는 기회가 있을 때마다 "경마와 주식 투자의 성공 비결이 똑같다"라고 말한다. 주식 투자가 도박으로도 인식되는 경마와 똑같다고? 고개를 갸우뚱거리게 되지만, 알고 보면 멍거가 맞다.


대다수 국가에서 경마는 1867년 프랑스의 요셉 올리가 창안한 패리 무츄얼 방식을 채택하고 있다. 즉 이긴 말에 베팅한 전체 금액 중 하우스 몫인 비용과 수수료를 제외한 나머지 금액을 배당률에 따라서 나누어 주는 방식이다. 이 방식은 경마, 그레이하운드 경주, 하이 알라이 등 비교적 짧은 시간에 순위가 결정되는 스포츠 게임에서 채택되었으며 약간 수정되어 일부 복권에서 사용되기도 한다.


패리 무츄얼은 말 그대로 상호mutual 간의 내기betting다. 다른 사람의 베팅에 따라 배당률이 달라지기 때문에, 우승 확률이 높으면 배당률은 낮아지고 그 반대면 배당률은 높아진다. 한국 마사회에서 발간한 <경마를 처음 시작하는 분들을 위한 교안서>에서도 경마가 "총 베팅 금액에서 시행체에 수수료를 공제하고 그 잔액을 경기 결과를 맞힌 사람들이 나누는 방식, 즉 패리 무츄얼 제도로서 주식시장과 비슷하다"라고 설명하고 있다. 또한 베팅마다 27%를 공제(단식과 연식은 20%) 한다고 명시되어 있다.


패리 뮤추얼은 베팅이 종료되기 전까지 배당률이 결정되지 않기에, 배당률이 미리 정해진 고정 배당률 게임과 다르다. 경마가 정태적 패리 무츄얼 게임이라면 주식시장은 동태적 패리 무츄얼 방식이라고 할 수 있다. 마권 판매 마감 이후 배당률이 결정되는 경마와 달리 주식 시장은 마감이 없기 때문에 배당률이 끊임없이 바뀐다.


멍거는 주식시장이 경마의 패리 뮤추얼 방식만큼 효율적이라고 말한다. 인기 있는 주식이 장기적으로 성장할 가능성이 높지만 그 주식에 베팅한 사람이 반드시 수익을 얻는 것은 아니기 때문이다. 멍거는 미국의 철도 관련 주식과 IBM 주식을 예로 들었다. 철도 관련 주식은 경쟁 기업과 강성 노조로 인해서 주가순자산배수PBR가 0.33배에 불과하지만 IBM 주식의 PBR은 전성기 때 6배에 달했다. 누구나 IBM의 사업 전망이 철도 업종의 전망보다 좋다는 사실을 알았고 이들이 IBM에 베팅했기 때문이다. 그런데 가격을 고려하면 상황이 달라진다. 과연 PBR이 6배인 IBM 주식을 매수하면 PBR이 0.33배인 철도 관련 주식을 매수하는 것보다 높은 수익률을 올리게 될까?




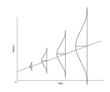
그림 1-1

IBM 사례와 관련해서 하워드 막스는 흥미로운 말을 했다. [그림 1-1]은 투자업계 어디서든 쉽게 볼 수 있는 그래프로 리스크와 수익 사이의 관계를 나타낸 것이다. 그래프에서 우상향하는 자본시장선은 리스크와 수익의 양의 관계를 의미한다. 시장은 스스로 이 같은 상황을 만들어 리스크가 큰 자산일수록 높은 수익을 제공한다. 그렇지 않다면 리스크가 큰 자산을 누가 사려고 할까?



특히 경기가 호황일 때는 모든 사람들이 이런 말을 듣는다. "리스크가 높은 투자일 수록 수익도 높다. 만약 당신이 더 큰 수익을 올리고 싶다면, 정답은 더 큰 리스크를 부담하는 것이다." (중략)


하지만 리스크가 높을수록 수익을 많이 보장하는 것이 절대 아니다. 왜냐고? 이유는 간단하다. 위험한 투자일 수록 수익도 확실히 크다면, 이는 확실한 투자이지 위험한 투자가 아니기 때문이다. 막스는 이어 자신이 다시 그린 자본시장선을 보여준다.




그림 1-2

[그림 1-2]에서 알 수 있듯이, 리스크가 클수록 투자 결과는 불확실해진다. 즉 수익의 확률분포(가능한 모든 확률변수)가 더 넓다. 적정 가격으로 투자하는 경우 리스크가 클수록 다음을 포함해야 한다.


기대 수익의 증가

수익이 하락할 가능성

경우에 따른 손실 가능성




[그림 1-1]과 같이 전통적인 리스크와 수익 그래프는 리스크와 수익 사이의 양의 관계는 보여주되, 그 관계가 얼마나 불확실한지는 보여주지 않는다는 점에서 문제가 있다. 또한 리스크가 클수록 수익도 크다는 점을 끊임없이 시사함으로써 수많은 사람들에게 불행을 안겨주었다. 유감스러운 일이 아닐 수가 없다.


다시 IBM과 철도 관련 주식 사례로 돌아가 보자. 일반적으로 주식시장은 가격이 상승할수록 가격 하락에 대한 리스크가 증가하는 경향이 있다. 자본은 유한하기 때문이다. IBM의 PBR이 6배 달한다는 것은 그만큼 많은 사람이 IBM 주식의 미래를 긍정적으로 생각하고 베팅했다는 말이다. 따라서 IBM 주식의 리스크는 과거에 비해 상대적으로 증가했을 것이다. 잠깐, 리스크가 증가했다고?


[그림 1-2]로 다시 돌아가 보자. 리스크가 클수록 기대 수익은 증가한다. 동시에 수익이 하락할 가능성 또한 증가한다. 언뜻 보면 역설적이지만 문제를 해결할 방법은 있다. [그림 1-1]에 부연한 말에서 생략한 부분에 그 답이 있다.




좀 더 명확히 말하면, 자본을 유치하기 위해 리스크가 큰 투자들은 더 큰 수익을 낼 수 있다는 전망, 약속, 기대감을 제공해야 한다.




가격이 상승할수록 리스크는 증가하는 경향이 있다. 리스크가 클수록 기대 수익은 증가한다(증가하는 것처럼 보인다). 그리고 동시에 수익이 하락할 가능성 또한 증가한다. 다시 말해, 가격이 상승할수록 수익이 하락할 가능성은 증가한다. 이는 시장이 사이클을 만드는 경향이 있기 때문이다. 시계추는 영원히 상승하거나 하락하는 법이 없다.


여기서 가치투자자들이 가장 좋아하는 '비대칭 기회'가 만들어진다. 사이클이라는 특성 때문에 만들어진 시장의 극단에서는 우리가 책에서만 봤던 말도 안 되는 가치와 가격 사이의 괴리가 형성된다.



인지적 편향.jpg cognitive bias
오판의 심리학
: 진화 과정에서 유래한 확증 편향


멍거는 확증 편향을 인간의 진화 과정에서 유래한 것으로 보았다. 인간의 뇌는 '불일치 회피inconsistency avoidance'를 위해 변화를 꺼리도록 프로그래밍 되어 있고 이것이 확증 편향의 원인 중 하나라는 것이다. 특히 정보화 사회에 진입한 후에는 정보가 기하급수적으로 증가해 확증 편향 극복이 더 어려워졌다. 많은 진화생물학자가 지적했듯이 인간의 사고 구조는 현대 사회에 최적화된 구조가 아니다.


인류의 진화 과정은 약 400만 년 전에 시작되었으며 인간이 농경 생활을 시작한 것은 약 1만 년 전이다. 즉 인간은 진화 기간의 99%가 넘는 시간 동안 수렵 채집 생활을 해왔기 때문에 우리의 뇌는 수렵 채집 생활에 최적화되어 진화했다. 20세기까지 대부분의 기간에 인간은 일생 동안 아주 적은 양의 새로운 정보를 받아들이고 복잡한 선택을 해야 하는 처지에 놓였다. 정보의 홍수에 매몰되지 않기 위해서 결국 인간은 지름길을 선택하게 된다. 즉 우리가 원하는 결과와 부합하는 정보에 매몰된다. 우리의 믿음을 강화해 주는 정보를 받아들이는 것은 상대적으로 쉬울 뿐만 아니라 정신 에너지 소모도 적기 때문이다. 반면 기존의 믿음을 부정하는 정보는 어떻게 해서든 피하려고 노력한다. 우리의 믿음을 끊임없이 재평가하는 험난하고 먼 길 대신 기존의 믿음을 강화하는 지름길을 선택하는 셈이다.




찰스 다윈이 확증 편향을 극복한 방법


진화론을 바탕으로 현대 생물학에 혁명을 주도한 다윈은 자신의 가설을 부정하는 정보를 수집하기 위해 특별한 노력을 기울였다. 다윈은 자서전에서 다음과 같이 말했다.


"나는 오랜 세월 동안 한 가지 황금 법칙을 지켜왔다. 언제든지 내가 내린 결과에 반대되는 출판물, 새로운 관찰 또는 생각을 보거나 떠올렸을 때 반드시 즉시 메모하는 일이다. 나는 이런 사실과 생각이 내게 유리한 것보다 훨씬 쉽게 기억에서 사라진다는 사실을 경험을 통해서 알게 되었다. 이 습관 덕분에 내 견해에 대한 반대 중 내가 주목하거나 대답하려고 시도하지 못한 것은 극소수에 불과하다."




멍거에 따르면, 우리가 오판을 내리는 원인에는 25개의 경향이 존재한다고 한다. 리스트는 아래 표와 같다. 자세한 내용을 알고 싶다면 『찰리 멍거 바이블』 289페이지에서 305페이지를 읽어보는 것을 권한다.


오판의 25가지 경향.jpg



etc.
: 찰리 멍거의 말들


출처: 교보문고

마지막으로 다룰 주제는 '멍거주의'라는 제목의 다섯 번째 장이다. 그의 말속에는 유머와, 인생의 지혜, 그리고 삶이 담겨 있다.



Q 2021. 두 가지 상반된 견해를 동시에 유지하려면 어떻게 해야 하나요?


방법이 있습니다. 그동안 내게 유용했으므로 내가 준수하는 원칙입니다. 상대편의 주장을 내가 더 효과적으로 반박할 수 없다면 나는 그 주제를 함부로 언급하지 않습니다. 이 원칙을 항상 준수하고 반박 증거를 찾으면서 자제력을 발휘하면 무지에서 벗어날 수 있습니다. 그런데 어렵게 발견한 사실이나 자신이 믿는다고 이미 공언한 사실에 대해서는 누구나 과신하는 경향이 있습니다. 큰 소리로 외친다고 지식이 확장되지는 않습니다. 지식이 주입될 뿐입니다. 나는 이 사실을 항상 인식하고 있으므로 이 망할 주주총회를 제외하면 매우 조용하게 지낸답니다.




Q 2020. 과거에 당신은 가치투자를 어부에 비유했습니다. 그리고 투자자가 장기적으로 얻는 수익은 기업이 벌어들이는 이익과 비슷하다고 말했습니다. 그렇다면 미국에는 초우량 기업이 많으니 이들 기업을 집중적으로 분석하는 것이 가장 유리하지 않을까요? 그리고 나는 경마에서 배당률이 매우 중요하다고 생각합니다. 당신은 우수한 말과 그 말의 배당률 중 어느 쪽에 비중을 더 두나요?


둘 다 중요합니다. 우리는 항상 지불하는 대가보다 더 많은 보상을 받으려고 한다는 점에서 모두 가치투자자입니다. 그러나 우리가 여러 주에서 열리는 마라톤 대회에 동시에 참가할 수 없듯이 여러 시장을 동시에 분석할 수는 없습니다. 그러므로 집중적으로 분석할 시장, 즉 사냥터를 정해야 합니다. 그리고 그 사냥터에서 가치를 찾아내야 합니다.


당신은 초우량 기업이 미국에 많다고 말하지만 내 생각은 다릅니다. 나는 미국 기업보다 중국 기업이 더 강하고 성장도 더 빠르다고 생각합니다. 나는 중국 기업에 투자 중이고 당신은 투자하지 않습니다. 나는 옳고 당신은 틀렸습니다. 여러분은 웃지만 내 말이 단순한 진실입니다. 리 루중국 태생 미국 헤지펀드 매니저도 여기 있습니다. 청중 속에 있더군요. 그가 이 방에서 가장 성공한 투자자입니다. 그는 어디에 투자할까요? 중국입니다. 훌륭한 선택이었습니다. 투자 솜씨도 훌륭했습니다.


좋은 사냥터를 찾을 줄 알면 정말로 유리해집니다. 사냥하기 쉬운 곳을 선택하면 우리는 누구나 사냥을 더 잘하게 됩니다. 어부인 내 친구가 말하더군요. "고기잡이에 성공하는 간단한 원칙은 고기가 있는 곳에서 잡는 것이라네." 주식이 저평가된 곳에서 투자하십시오. 방법은 아주 간단합니다. 현재 투자하는 시장이 엉망이라면 다른 시장을 찾아보십시오.




Q 2021. GDP가 감소하는 상황에서도 가치투자는 여전히 타당하다고 생각하나요? 패시브 투자는 어떻게 생각하나요?


내가 생각하는 가치투자는 절대 구시대의 유물이 되지 않을 것입니다. 가치투자라는 것은 내가 지불하는 가격보다 더 많은 가치를 얻으려는 것이기 때문입니다. 이런 기법은 절대 유행을 타지 않을 것입니다.


가치투자를 현금이 풍부한 부실기업에 투자하는 것으로 생각하는 사람도 있습니다. 그러나 나는 그런 투자를 가치투자로 정의하지 않습니다. 훌륭한 투자 모두가 가치투자라고 생각합니다. 건전한 기업에서 가치를 찾는 사람도 있고 부실한 기업에서 가치를 찾는 사람도 있습니다. 그러나 모든 가치투자자는 자기가 지불한 가격보다 더 많은 가치를 얻으려고 노력합니다. 흥미롭게도 4~5종목을 보유할 때보다 100종목을 보유할 때 더 전문성 높은 투자자라고 생각하는 사람이 많습니다. 이는 완전히 미친 생각입니다. 4~5종목을 선정해야 내 생각이 적중할 확률이 높습니다. 그러므로 100종목을 선정하는 것보다 4~5종목을 선정하는 편이 훨씬 쉽습니다.


많은 사람이 '다각화diversifiaction'가 필요하다고 주장하지만, 나는 이런 다각화를 (누군가의 표현을 빌려) '다악화diworsification'라고 부릅니다. 나는 내가 잘 알며 우위가 있다고 생각하는 2~3종목을 보유할 때 마음이 훨씬 더 편합니다.






keyword
매거진의 이전글오류와 불확실성에 투자하라