brunch

파생상품(Derivative)

현대 금융의 꽃, 악마인가 축복인가

by 권용진



피셔 블랙은 이들과 함께 방법론을 세우는데 지대한 공헌을 하였습니다.




1997년 노벨상 수상자 로버트 머튼과 마이론 숄즈


1997년 10월 14일, 노벨 경제학상을 수여하는 자리에서 이례적으로 수상자인 마이런 숄즈와 로버트 머턴 이외의 이름이 울려 퍼졌다. 이 날은 금융계에서 뉴튼의 만유인력 법칙이나 DNA 발견에 비견될 만큼 위대하다는, 파생상품 가격 결정 함수인 블랙-숄즈 모델의 주인공들이 수상하는 날이었다. 피셔 블랙과 마이런 숄즈가 블랙-숄즈 모델을 처음 정립하고 나서 로버트 머턴이 이를 발전시켜 널리 이용 가능케 만들었다. 그러나 피셔 블랙은 수상을 할 수가 없었다. 노벨상 수상이 있기 2년 전인 1995년, 후두암으로 세상을 떴기 때문이다. 생존 인물에게만 수여한다는 노벨상 위원회의 원칙상 언급도 안 하는 것이 관행이었기에 고인인 피셔 블랙의 호명은 굉장히 이례적인 일이었다.




이제는 블랙-숄즈는 금융계에서나 경제 경영학도들은 모르는 사람이 없을 정도로 기본 공식이 되었다. 공식을 잘 알지는 못 해도 그 위력에 대해서는 들어본 적이 있는 사람이 많다. 파생상품의 가치를 측정하는 이 방정식으로 인하여 금융공학 혹은 퀀트라는 분야가 시작되었다고 해도 과언이 아니다. 도대체 파생상품이 무엇이고 이 한 줄의 공식이 무슨 의미이길래 현대 금융의 밑거름이 되고 뉴튼과 비견되는 것일까?


블랙-숄즈의 아버지, 피셔 블랙 일대기



파생상품이란?


파생상품은 말 그대로 기초 상품에서 파생된 상품이다. 기초 상품은 객관적으로 측정 가능한 어떤 것이라도 될 수 있다. 어떤 물건의 값이 될 수도 있고 내일 날씨의 최고기온이 될 수도 있다. 어떤 학생의 기말고사 수학 성적으로 할 수도 있고, 리우 올림픽 1등 국가로 할 수도 있다. 이처럼 어떤 결과를 바탕으로 규칙을 정해서 두 대상이 계약을 하는 것이다.


올림픽 1등 국가가 아시아면 1억을 받는 계약

기말고사 수학 점수 1점당 만원으로 용돈을 받는 계약

배추 값이 3천 원 이하로 떨어지면 5백만 원을 받는 계약

내일 온도가 20도 이하가 되면 천 원을 받고, 30도 이상이 되면 3천 원을 내는 계약


파생상품은 두 대상 간의 계약이기 때문에 정해진 룰은 없다. 두 사람이 객관적인 결과를 중심으로 계약을 맺기만 하면 파생상품이 된다. 쉽게 말해 어떤 결과를 두고 내기를 하는 것으로 생각하면 된다.


파생상품과 보험은 굉장히 비슷하다


우리가 흔히 생각할 수 있는 파생상품으로는 보험이 있다. 만약 1억을 보장해주는 교통사고 보험을 매달 5만 원에 가입했다고 하자. 교통사고가 나지 않으면 보험료로 매달 5만 원을 보험사에 지불해야 하고 교통사고가 난다면 보험사가 가입자에게 1억을 지불해야 한다. 이는 '교통사고'를 기초 상품으로 하는 파생상품이다. 두 대상이 교통사고의 결과에 따라서 지불을 하는 계약을 맺은 것이다.


파생상품은 어떠한 형태로도 가능하지만 가장 유명하고 많이 쓰이는 것은 선물(Futures), 옵션(Options), 스왑(Swaps) 등이 있다. 선물은 미래 특정 날짜에 물건을 사고파는 것을 미리 약속하는 계약이다. 예를 들어, "2017년 1월에 배추를 포기당 5천 원에 10만 포기를 사는 계약" 같은 것이 선물 계약이다. 만약에 2017년 1월에 배추가 5천 원보다 비싸지면 그만큼 이익이고 5천 원보다 싸면 손해를 보는 것이다. 선물을 판매한 사람은 반대이다. 배추 가격이 아무리 떨어져도 5천 원에 팔 수 있기 때문에 배추 가격이 떨어지면 이익이고 오르면 손해이다. 선물 계약은 서로 동등한 조건이기 때문에 별도로 금액을 지불하지 않고 계약을 체결한다.




옵션은 선물과 비슷하지만 '권리'라는 추가 기능이 있다. "2017년 1월에 배추를 포기당 5천 원에 10만 포기를 살 수 있는 권리". 즉, 가격이 떨어지면 그냥 시장에서 싼 가격으로 배추를 사면 되고, 가격이 오르면 이 옵션을 사용해서 5천 원에 사면된다. 권리를 사용할지 안 할지 선택권(Option)이 존재한다. 이 옵션이 있으면 배추 가격이 오르든 떨어지든 손해 보진 않는다. 하지만 옵션을 판매한 사람도 이익인 부분이 있어야 한다. 때문에 옵션을 사기 위해서는 옵션료(Premium)를 지불해야 한다. 일종의 보험료이다.


어떤 물건을 정해진 가격에 살 수 있는 권리를 '콜 옵션'이라고 하고, 정해진 가격에 팔 수 있는 권리를 '풋 옵션'이라고 한다. 만약에 김치 제조 업체에서 배추 콜 옵션을 가지고 있다면, 배추값이 폭등하여도 큰 손해 없이 배추를 안정적으로 확보할 수 있다. 배추를 재배하는 농민이 배추 풋 옵션이 있다면 아무리 배추값이 폭락하여도 배추를 일정 가격에 팔 수 있어서 심각한 위험에 처하지는 않게 된다.




파생상품의 등장 배경


주식이나 금, 석유, 옥수수 같은 기초 상품만 거래하기도 어려운데 얼핏 보기에 복잡한 파생상품이 왜 필요한 것일까? 금융에는 여러 가지 기능이 있지만 이 중에서도 리스크를 분산시키거나 제거해주는 '헤지' 기능이 큰 부분을 차지한다. 과거에 농부들이 옥수수를 재배하였을 때, 수확 시기에 가격이 어떻게 될지 예측하기가 어려웠다. 옥수수 가격이 비싸져서 많은 돈을 벌면 좋겠지만, 만약에 옥수수 가격이 폭락하게 되면 당장 먹고살기도 힘들어진다. 농부 입장에선 큰 돈을 버는 것보다 최악의 상황을 피하는 것이 더 중요하였기 때문에 옥수수 가격에 대한 보험을 가입하고 싶었다. 금융 회사들은 이러한 수요에 따라 일정한 가격을 받고 옥수수 보험, 즉 옥수수를 기초상품으로 하는 파생 상품인 옥수수 옵션이나 옥수수 선물을 판매하기 시작했다.


일정한 비용을 주고 옥수수 옵션을 구입하였다면 나중에 수확철에 옥수수 가격이 폭락하더라도 정해진 값을 주고 팔 수 있다. 행여나 옥수수 가격이 폭등한다면 옵션을 행사하지 않고 비싼 값에 팔면 되는 것이다. 농부 입장에선 적은 돈을 들여서 최악의 상황을 피할 수 있어서 좋고, 금융 회사들은 이러한 옵션을 판 비용으로 추가 수익을 올릴 수 있었다.


시카고 상품 거래소


미국의 중심에서 여러 가지 곡물과 금속, 자재들을 거래하던 시카고 상품거래소에서 세계 최대의 파생상품 거래소인 시카고 옵션 거래소와 선물 거래소가 생긴 것은 우연이 아니었다. 다양한 금융회사들은 사람들의 위험 회피 조건을 만족시키는 옵션과 선물을 만들어서 거래하기 시작했다. 마치 현대 사회에서 생명보험, 화재보험, 운전자보험 등 여러 가지 보험 상품이 생긴 것과 비슷하다.


처음에 농부나 광부들이 위험을 헤지 하기 위해 사용하던 파생상품은 점차 확장되면서 투자자들이나 사업가들도 많이 이용하기 시작하였다. 어떤 주식이나 분야에 거대한 투자를 할 때에 혹시 모를 위험을 대비해서 상대적으로 싼 가격에 풋 옵션을 사놓을 수 있다. 사업을 할 때 원재료값 상승을 대비해서 옵션을 사놓거나 환율이 심하게 변동해서 돈을 날릴 것을 대비해서 환율 옵션을 사기도 하였다. 이렇게 점점 파생상품의 중요성이 커져갔다.



파생상품 = 리스크를 사고파는 것


쌀 값 상승 리스크를 제거하기 위한 옵션


파생상품, 특히나 옵션과 선물 시장이 성장하면서 사람들은 투자나 사업을 좀 더 쉽게 할 수 있게 되었고 위험 관리가 간편해졌다. 파생 상품이 없던 시절에는 위험 헤지를 하려면 상품을 직접 거래했어야 했다. 자동차 시장에 투자를 할 때 철광석 가격 상승이 우려된다면 직접 철광석을 사야 했고, 이는 엄청나게 큰 지출이 필요할 뿐만 아니라 철광석 보관료와 인건비도 추가로 들었다. 게다가 철광석과 관련해서 원하지 않는 다른 리스크가 또 생긴다. 하지만 파생상품의 등장으로 자동차 시장에 투자를 하면서 철광석이나 철강회사 옵션을 적당히 매수해놓으면 안전하게 투자를 진행할 수 있게 된 것이다. 게다가 파생상품은 필요한 조건대로 만들어낼 수 있기 때문에 자신이 필요로 하지 않는 리스크를 자유자재로 제거한다는 장점이 있었다. 대출 이자 상승이 우려된다면 대출 이자와 관련된 파생상품을, 원자재 가격 상승이 우려되면 원자재 파생상품을, 환율 리스크 제거가 필요하다면 환율 파생상품을 구비해두면 되는 것이다.


금융 시장은 누구나 금융 상품을 사고팔 수 있다. 만약 파생상품을 사고자 하는 사람만 있거나 보험 차원에서 이용하려는 사람만 있다면 거래가 성립하지 않을 것이다. 처음에는 금융 회사들이나 투자은행들만 파생 상품 거래에 참여하였지만, 점점 많은 사람들이 이러한 파생 상품을 통해서 수익을 낼 수도 있다는 것을 깨닫기 시작했다. 리스크를 회피하려는 사람(=옵션 매수자)들이 옵션을 통해서 안정성을 확보하는 동안, 그 반대편에 있는 사람은 그 리스크를 가져가는 대신에 큰 수익을 얻을 수 있는 것이다.


급증하는 파생상품 계약


투자은행 Sales & Trading 의 파생상품 데스크는 리스크를 회피하려는 고객들의 요구에 맞춰서 퀀트들이 파생상품을 설계해주고 그에 상응하는 프리미엄(=보험료)을 받는 부서이다. 예를 들어, 얼마 전 구글은 알파고와 이세돌 경기의 상금으로 100억을 걸었다. 그들은 알파고의 승리를 확신했지만 이세돌이 승리할 리스크가 있었다. 이럴 경우에는 이세돌이 승리하였을 경우 상금을 보장받는 파생상품을 설계해달라고 투자은행에 요청할 수도 있다. 이러한 파생상품 설계 과정은 골드만삭스의 퀀트 최재혁 박사님께서 자세히 설명해주셨다.



파생상품의 가격은 누가 정하나


옵션의 거래가 활발해졌지만 커다란 문제가 있었다. 이 옵션의 가격 체계가 제대로 잡혀있지 않은 것이었다. 옵션은 두 사람 간의 약속이기 때문에 가격 또한 합의하에 정해지게 된다. 게다가 옵션은 금이나 주식처럼 단일화된 상품이 아니고 조건도 계약마다 제각각이었다.


2017년 5월에 배추 10만 포기를 5천 원에 사는 권리

2017년 3월에 배추 10만 포기를 3천 원에 사는 권리

2018년 1월에 배추 5만 포기를 9천 원에 사는 권리

20XX 년 X월에 배추 X만포기를 X원에 사는 권리 등등


이들의 적정 가격이 어느 정도인지 알아내고 옵션끼리 어떤 상관관계를 가지는지, 또 옵션 가격과 배추는 어떤 관계가 있는지, 가격과 시간의 흐름에 따라 어떤 관계가 있는지 등을 알아내기가 쉽지 않았다. 당시에 옵션은 부르는 게 값이어서 쉽게 거래하기 힘들었다. 전통적으로 수많은 경제학자들이 이 옵션의 가치를 평가하기 위한 시도를 하였다. 초창기에는 수요와 공급으로 인한 이론을 제시하였으나 애초에 필요에 의해서 만들어지는 파생상품의 특성상 수요와 공급으로 제대로 된 가격이 형성되기 어려웠다. 한계 효용 이론을 적용해보려 해도 위험을 피하고 싶어 하는 구매자와 최대한 이익을 내고 싶어 하는 판매자 사이의 괴리 때문에 설명이 되지 않았다.


결국 가장 타당한 방법은 수학적인 방법으로 기댓값을 찾는 것이었다. 마치 주사위나 복권의 가격을 계산하듯이 옵션의 기댓값을 찾으려고 많은 수학자들과 경제학자들이 도전하였다. 옵션의 기댓값을 찾으려면 먼저 특정 시점에 기초 상품의 가격이 어디에 위치해 있을지 예측해야 한다. 그러나 미래의 주가나 상품 가격을 예측하는 건 거의 불가능에 가깝다. 애초에 그것이 가능했으면 옵션 가격 측정 같은 것이 아니라 미래 예측을 통해서 직접 돈을 벌면 되었을 것이다. 게다가 옵션은 주가뿐만 아니라 시간에 따라서도 가치가 변한다. 같은 조건의 옵션도 오늘과 내일은 가치가 다르다. 10년짜리 보험과 15년짜리 보험의 가치가 다른 것과 비슷하다고 생각하면 된다. 게다가 매 순간마다 이자도 적용이 되어서 가치가 변한다. 옵션의 수익 함수 자체도 특이해서 정해진 가격 밑에는 아예 가치가 0이 된다. 이 모든 것을 한꺼번에 고려하려 하니 굉장히 복잡하여서 결국 옵션 가격 계산은 점점 미궁 속으로 빠졌다.


옵션의 수익곡선. 일정 가격 이하에는 수익이 0인 특이한 그래프이다.


이때 피셔 블랙과 마이런 숄즈는 획기적인 방법을 제안한다. 주가를 예측하려 하지 않고 완전 무작위로 움직인다고 가정했다. 그러면 이는 꽃가루가 날아다니는 듯한 움직임인 기하 브라운 운동을 따르게 된다. 그러고 나서 전체의 기댓값을 한 번에 구하려 하지 않고 특정 시점과 그다음 시점 사이의 관계를 식으로 나타내었다. 이렇게 나타낸 편미분 방정식을 풀어서 일반 함수로 나타내면 옵션의 기댓값을 구할 수 있는 것이다. 이 함수가 바로 블랙-숄즈 함수인 것이다.


블랙 숄즈의 원리, 색칠한 부분의 기대값을 구하는것이다. (출처 :아마추어퀀트님의블로그 http://blog.naver.com/PostList.nhn?blogId=chunjein)



블랙-숄즈 모델의 등장


블랙-숄즈를 구하는 과정 자체는 그리 쉽지만은 않다. 수학적인 개념만으로도 Lto process, 테일러급수, 편미분 방정식, 마팅 게일 등을 거쳐서 블랙숄즈 함수가 도출된다. 그러나 결과 자체는 생각보다 간단하고 아름답다. 마치 아인슈타인의 이론이 심플하게 e=mc^2로 표현되는 것과 비슷하다.


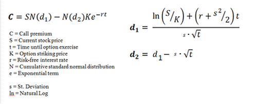
블랙-숄즈 함수, 콜 옵션의 가격을 한 줄로 표현했다


블랙-숄즈 함수는 보기엔 복잡해 보이지만 의외로 간단하다. C는 콜 옵션의 가격, S는 주식 가격, K는 옵션 계약 상 가격, r은 이자율, t는 시간이다. 저 식에다 이 모든 값을 넣기만 하면 옵션 가격이 나오는 것이다. 도저히 가격을 알 수 없었던 옵션도 위 식에다 차례대로 하나씩 대입을 하면 가격이 나온다.


이 블랙숄즈의 등장으로 금융 시장은 엄청난 혁신을 거치게 된다. 그동안 명확한 기준 없이 거래되던 옵션의 가격 가이드라인이 생겼고 이를 통해서 적정 가격에 옵션 시장이 형성되기 시작했다. 적정 가격에 대한 믿음이 생긴 옵션 시장은 급격히 활성화되었고 사람들은 리스크 관리 도구로 옵션을 적극적으로 이용하기 시작했다.


옵션의 가격 측정이 가능해진 것은 옵션뿐만 아니라 기초 상품과 산업에 대한 투자의 활성화를 불러왔다. 주식과 상품에 투자하는 투자자들도 쉽게 옵션으로 리스크를 헤지 할 수 있고 비용 계산이 가능해짐으로써 금융 시장을 활성화시킨 것이다. 사업체들도 필요한 리스크를 옵션으로 헤지 하기 쉬워지면서 신 사업에 진출하는 빈도가 증가하였다.


블랙-숄즈의 대단한 점은 여기서 끝이 아니다. 블랙숄즈 이전에는 옵션은 주식 같은 기초 상품과 아예 다른 특별한 상품이라고 생각하였다. 그도 그럴 것이 옵션은 다른 기초 상품들과 아예 다른 형태의 움직임과 특이한 그래프를 가지고 있기 때문이다. 하지만 블랙숄즈 함수 이후로 상황이 변했다. 블랙 숄즈 함수를 살펴보면 다양한 구성요소를 통해서 옵션 가격을 계산 한다. 주식이나 이자율, 시간 등등이 그 구성 요소이다. 반대로 말하면, 이 함수를 각각의 구성요소로 편미분을 하면 각 구성요소가 어느 정도 비율로 옵션에 들어가 있는지 알 수 있게 되었다. 이 비율을 이용해서 다양한 기초 상품을 재료삼아 옵션을 똑같이 합성해 낼 수 있게 된 것이다. 어떤 고객이 옵션을 필요로 할 때, 이제는 옵션 자체를 굳이 새로 계약하지 않고 가지고 있는 주식과 채권 등을 이용해서 옵션을 합성해도 되는 것이다. 비용도 싸질 뿐만 아니라 고객의 입맛에 맞춘 다양한 종류의 옵션을 자유자재로 만들 수 있는 유연성까지 갖추게 되었다.


고객의 입맛과 재료 상황에 맞는 파생상품 합성이 가능해진 것이다.



파생상품, 악마가 되어 돌아오다


리스크를 자유롭게 분배하는 파생상품의 특징에 레시피의 비밀까지 발견한 블랙숄즈의 조합은 파생상품 시장의 폭발적인 성장을 불렀다. 특히나 다양한 고객의 입맛에 맞춰서 파생상품을 설계하는 '금융공학'이 크게 발전하게 되었다. 블랙-숄즈는 여느 물리학 이론처럼 여러 가지 현실과 동 떨어진 가정을 많이 하였기 때문에 직접 사용하려면 좀 더 정교한 튜닝이 필요하였다. 새로운 파생상품 설계와 정교한 튜닝을 위해 투자은행들은 앞다투어 금융공학 전문 퀀트를 채용하기 시작하였다.




74195_77961_74.jpg



금융공학 기술은 날로 발전하여서 더욱 정교해졌고 정교해진 기술로 더욱 큰 수익을 찾기 시작했다. 하지만 큰 수익에 대한 욕심은 파멸로 이어졌다. 위에서 설명하였듯이 파생상품을 설계할 때에 기초 상품은 완전 무작위인 정규분포를 따른다고 가정했고, 정규분포에서 가장 끝부분인, 일어날 확률이 거의 없는 부분은 0으로 처리하였다. 결국 이렇게 일어날 확률이 0에 가까운 리스크를 모두 모아서 파생상품으로 만든 것이다. 이렇게 만든 파생상품은 리스크는 0에 가까우면서 안정적이고 큰 수익을 보장해주었다. 이 파생상품이 바로 금융위기의 주범이었던 MBS와 CDO이다.


리스크가 없이 큰 수익을 준다니 어느 누가 싫어하겠는가? 많은 은행들은 앞다투어 여러가지 파생상품을 사들였고 여기서 생긴 리스크들을 모아서 다시 새로운 파생상품으로 판매하였다. 하지만 일어날 확률이 거의 없는 부분이라 해도 일어날 확률이 아예 없는 것은 아니다. 끝내 거의 일어나지 않을 사건이 일어나는 검은 백조(Black swan) 현상이 나타나버리면서 이러한 파생상품을 대량으로 가지고 있던 기업들이 줄줄이 파산을 하게 되고 금융 위기를 초래한 것이었다.




독보적인 파생상품 거래량을 가지고 있었던 한국


한국은 파생상품의 가장 큰 시장이다. 얼마전까지만 해도 전 세계에서 1등인 파생상품 시장을 가지고 있었고, 거래량은 세계 최고의 파생상품 거래소인 시카고를 상당히 앞지르고 있었다. 여러 가지 이유가 있겠지만 건전한 투자보다는 투기적인 성향이 강한 한국의 투자 성향이 가장 큰 이유로 꼽힌다. 꾸준한 수익보다는 한 번에 큰 수익을 원하는 사람이 많아 기초 자산인 주식이나 채권보다는 파생상품에 투자하는 사람이 많은 것이다. 그러나 개인이 별다른 리스크 이해 없이 파생상품에 뛰어드는 것은 굉장히 위험하다.


예를 들어 100만 원으로 A는 10만 원짜리 주식을, B는 1만 원짜리 콜옵션에 투자를 한다고 생각해보자. 콜옵션은 "주식을 10만 원에 1주 살 수 있는 권리"라고 하자.


100만원으로 주식 vs 옵션


A는 100만 원으로 모두 주식을 사면 10주를 살 수 있다. 이 주식이 11만 원이 되면 10만 원의 이익으로 10% 수익을 얻을 수 있다. 반면에 B는 100만 원의 수익을 얻어 200%의 수익을 올릴 수 있다. 그러나 만약 가격이 아예 변하지 않거나 오히려 떨어지면 B는 모든 돈을 잃게 된다. A는 10%가 하락하더라도 큰 손해가 아니다. 이처럼 파생상품은 리스크에 훨씬 민감한 편이다. 이러한 리스크에 대한 적절한 교육 없이 파생상품 거래에 뛰어드는 사람이 많아 한국 투자자들의 건전성을 크게 해치고 있다.



파생상품의 미래


2009년 금융 위기 이후로 파생상품에 대한 규제 대폭 강화되었고 여러 가지 우려로 기초적인 파생상품 이외에는 거래량이 급감하였다. 때문에 각종 투자은행의 파생상품 데스크는 철수하거나 규모를 대폭 축소하고 기존의 금융공학자들의 일거리가 많이 사라진 것이 사실이다. 한국도 투자 건전성을 위해서 파생상품 규제를 대폭 강화하였고 파생상품 거래량은 2015년에 비해 반 이하로 떨어졌다. 그러나 이것은 파생상품의 몰락보다는 파생상품의 원래 기능인 '리스크 분산과 수익 분배'의 역할에 다가가는 것이라고 생각한다. 파생상품의 위험성 때문에 파생상품 자체를 없애야 한다는 주장도 나오고 투기적인 목적으로 파생상품에 투자하는 사람을 비판하는 경우가 많다. 그러나 파생상품이 없어지면 투자가 둔화되고 금융 자체의 유연성이 떨어져서 경제를 둔화시킬 우려가 있다. 앞으로 파생상품은 새로운 상품의 설계만큼이나 그 감독과 검증이 철저히 이루어져야 한다. 각종 투자은행의 모델 검증 그룹에서 금융공학자를 뽑고 금융감독원이나 SEC에서 이러한 파생상품에 대한 이해도가 높은 사람을 찾고 있다. 파생상품은 조심히 다루어야 할 중요한 도구 중 하나로 인식하고 철저히 발전시켜 나가야 할 것이다.

keyword
매거진의 이전글데이터 없이 빅데이터?