강구조역학_04

압축재의 설계

by ENEAS
본 글은 강구조역학 스터디그룹을 위한 정리자료입니다.

강구조1_34.png 압축재의 좌굴, 비탄성좌굴

강구조1_35.png 강재단면의 종류 및 구속판/비구속판요소

강구조1_36.png 유효좌굴길이계수, 압축요소의 한계 판폭두께비_비구속판요소

강구조1_37.png 압축요소의 한계 판폭두께비_구속판요소, 압축재의 세장비 제한

강구조1_38.png 예제1

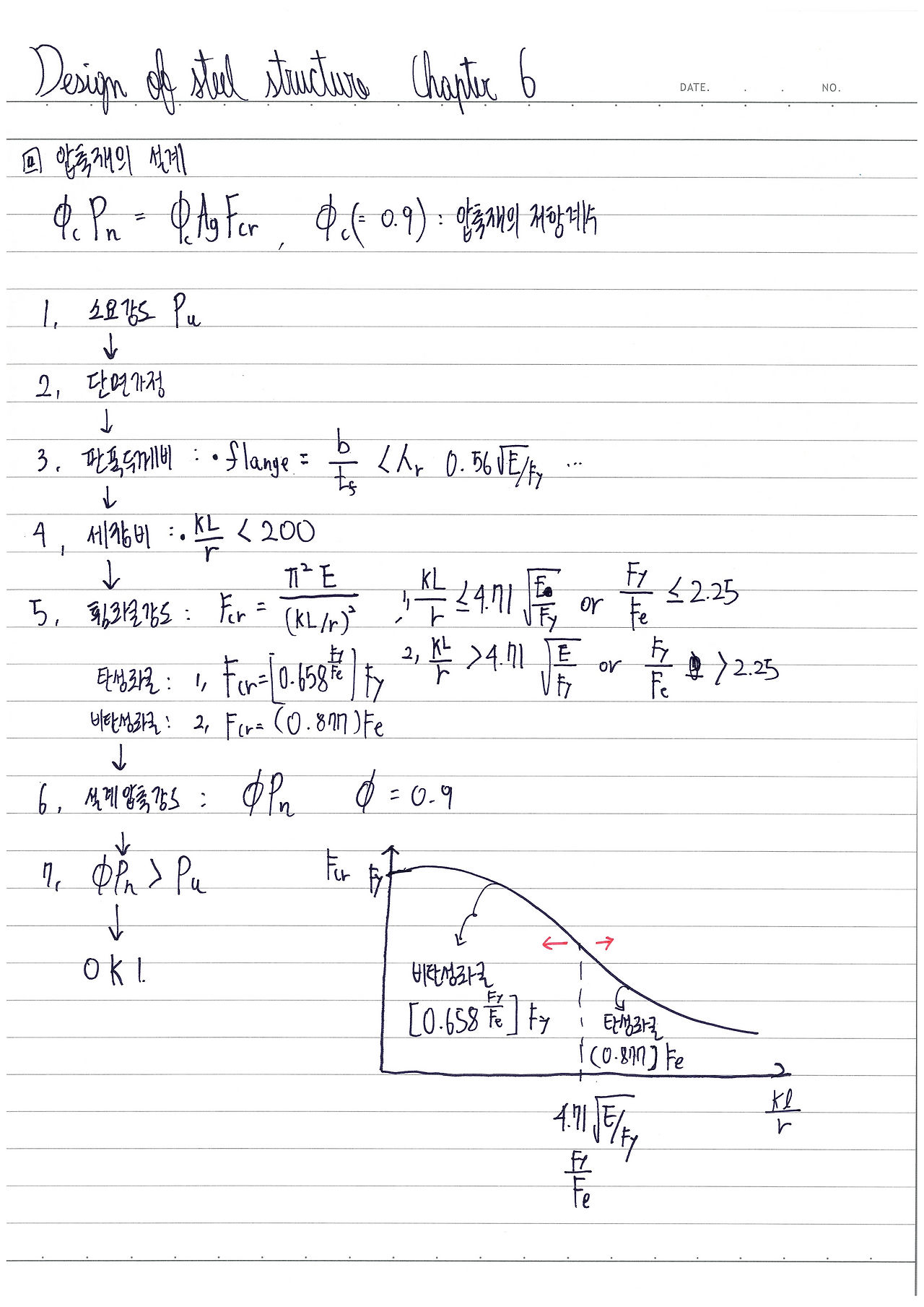
강구조1_39.png 압축재의 설계 process

강구조1_40.png 예제 6.4

강구조1_41.png 예제 6.5

강구조1_42.png 예제

강구조1_43.png 예제

강구조1_44.png 예제

강구조1_45.png 예제