강구조역학_05
휨재의 설계
by
ENEAS
Sep 29. 2025
아래로
본 글은 강구조역학 스터디그룹을 위한 정리자료입니다.
보의 설계휨강도, 설계전단강도
전단응력과 전단중심
탄성좌굴모멘트
휨재의 설계
비지지 거리
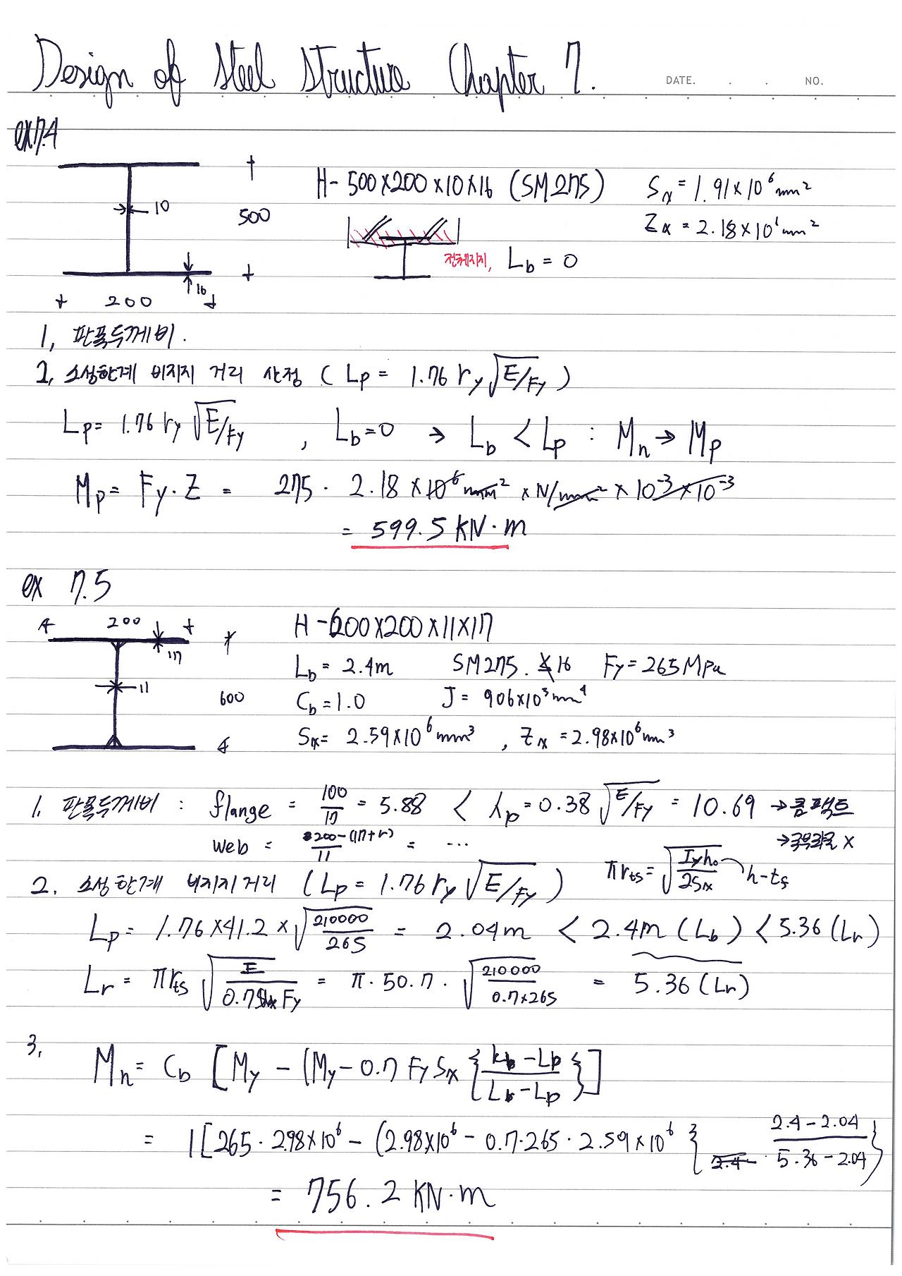
예제 7.4
국부좌굴강도, 보의 전단강도
예제 7.1,2,3
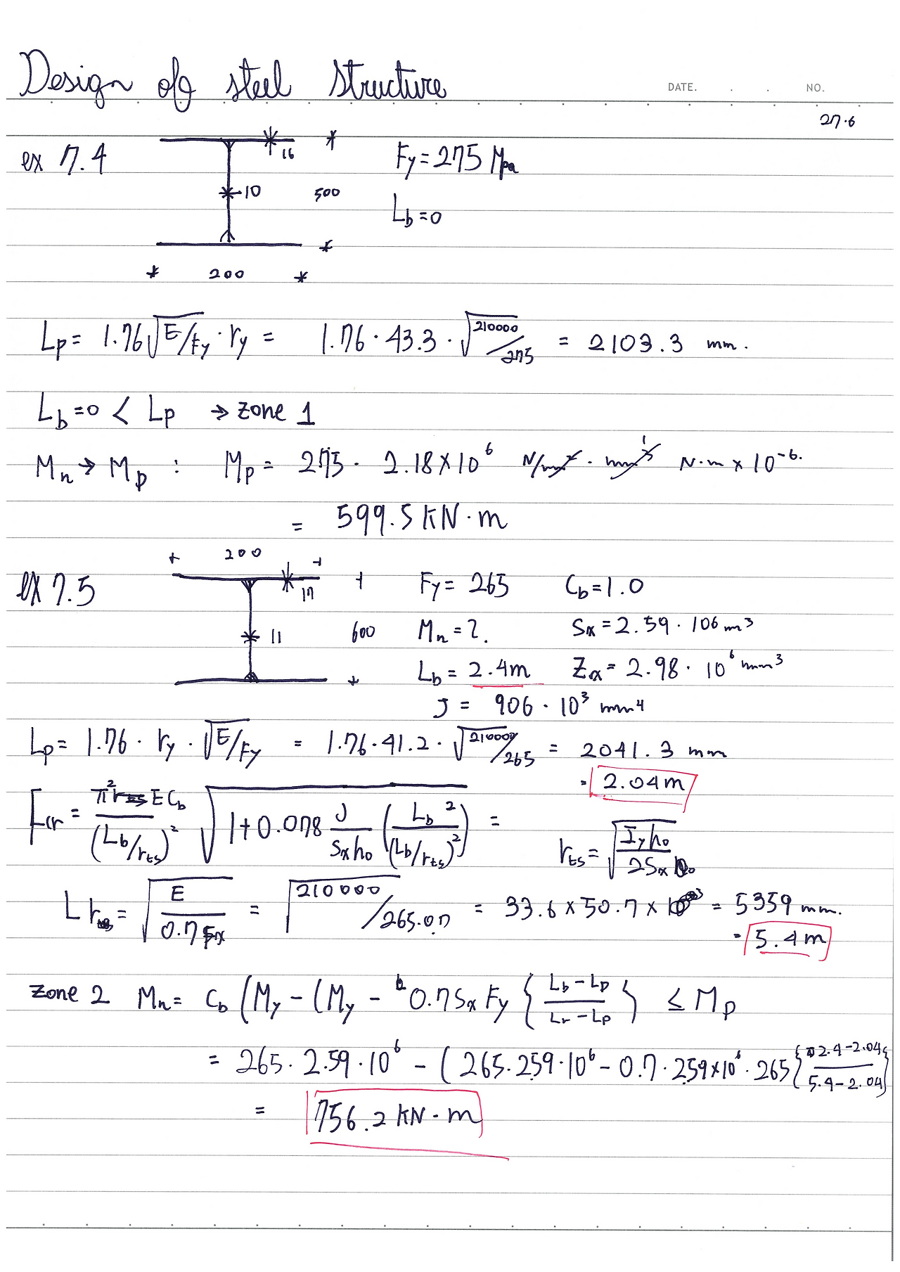
예제 7.4,5
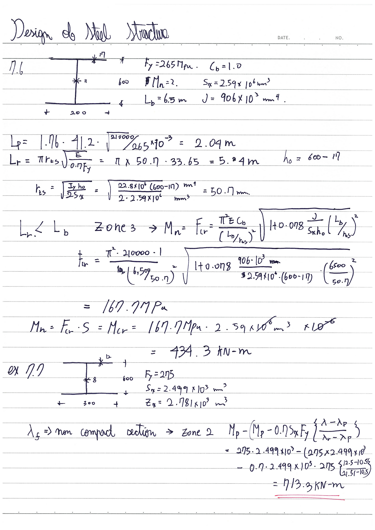
예제 7.6,7
keyword
스터디
건축공학
역학
매거진의 이전글
강구조역학_04
강구조역학_06
매거진의 다음글