강구조역학_06

조합력을 받는 부재의 설계

by ENEAS
본 글은 강구조역학 스터디그룹을 위한 정리자료입니다.

강구조1_56.png 기둥 -보 부재의 2차효과, 최종설계 모멘트

강구조1_57.png 횡변위 효과에 의한 증폭계수

강구조1_58.png 설계기준의 증폭계수

강구조1_59.png 예제 8.1

강구조1_60.png 예제 8.2

강구조1_61.png 조합력을 받는 부재의 설계흐름도

강구조1_62.png 설계 예제



강구조1_63.png 설계 예제2

강구조1_64.png 예제 8.7.1

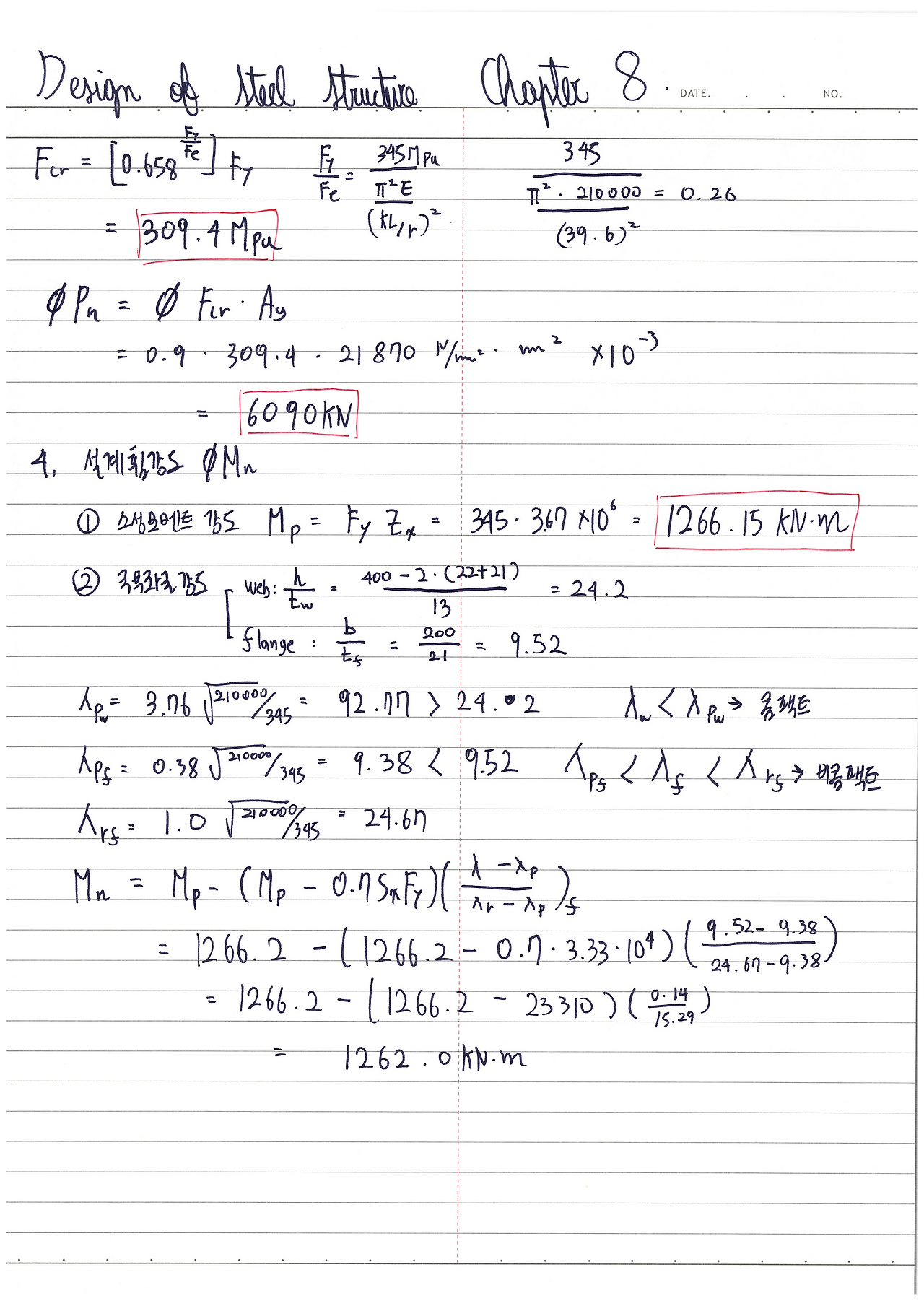
강구조1_65.png 예제 8.7.2

강구조1_66.png 예제 8.7.3

강구조1_67.png 예제

강구조1_68.png 예제

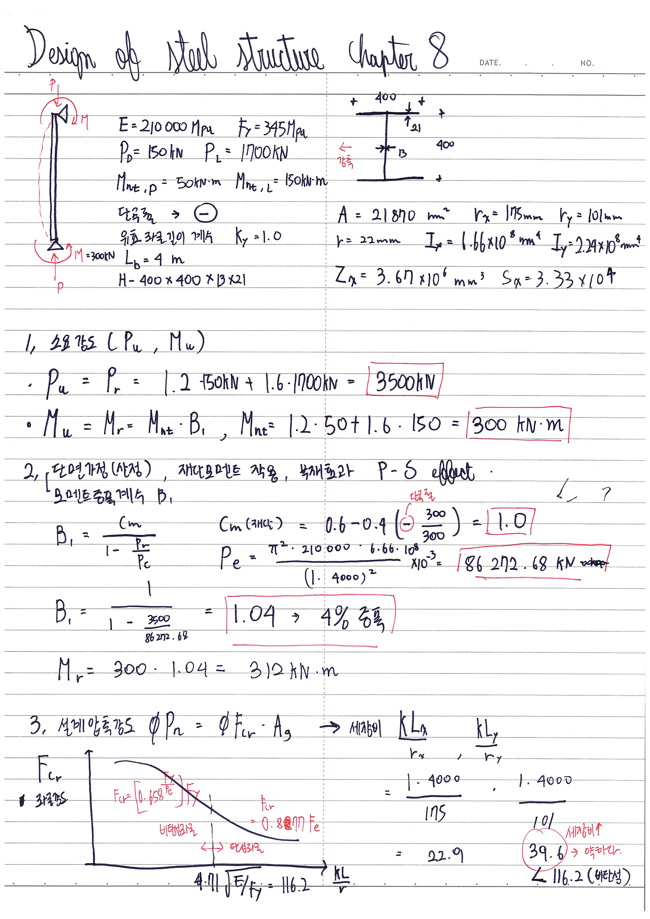
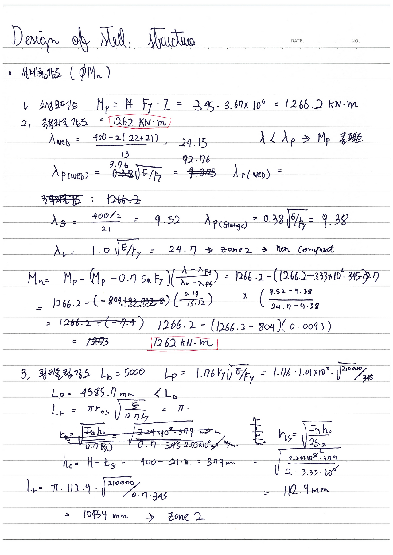
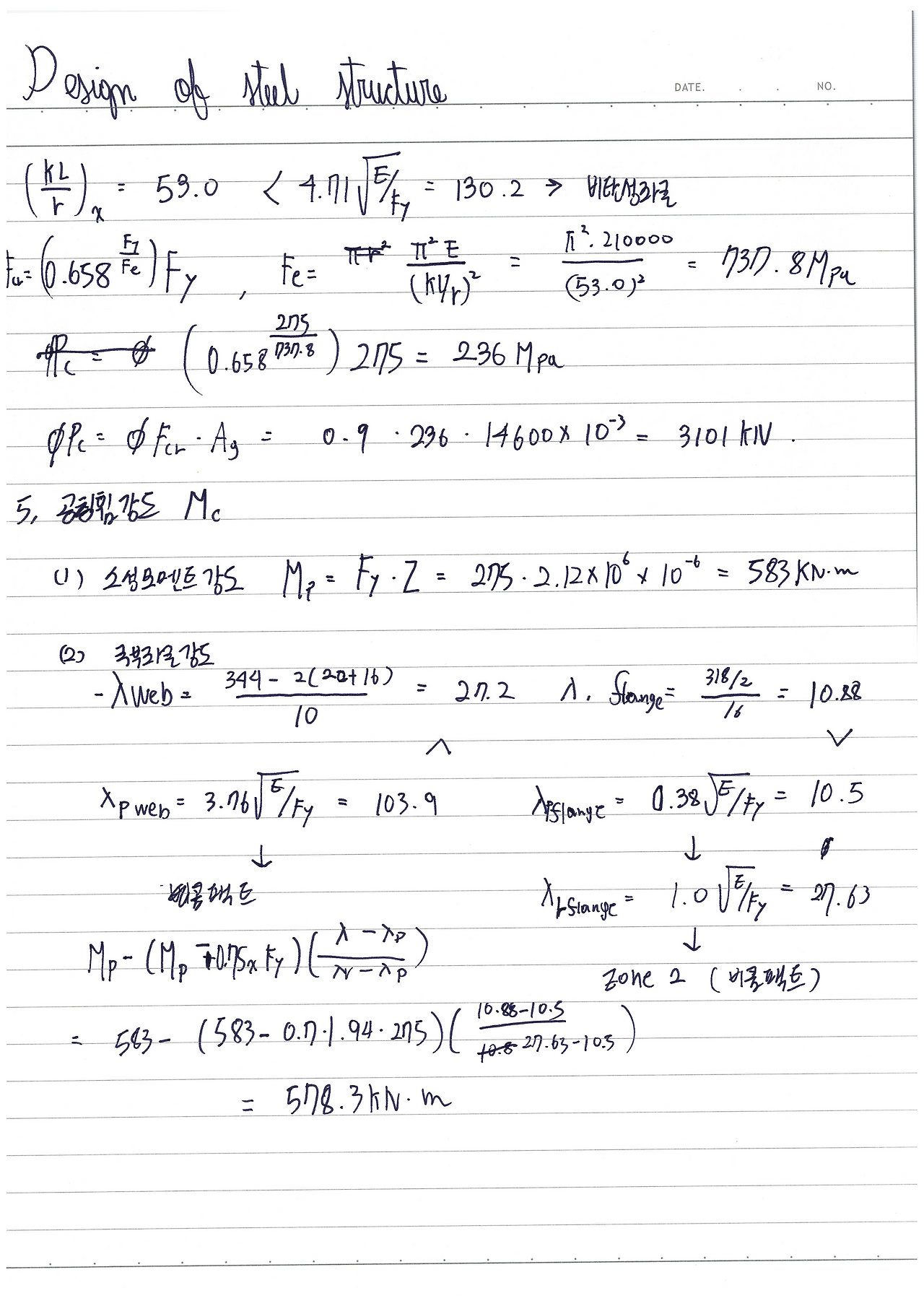
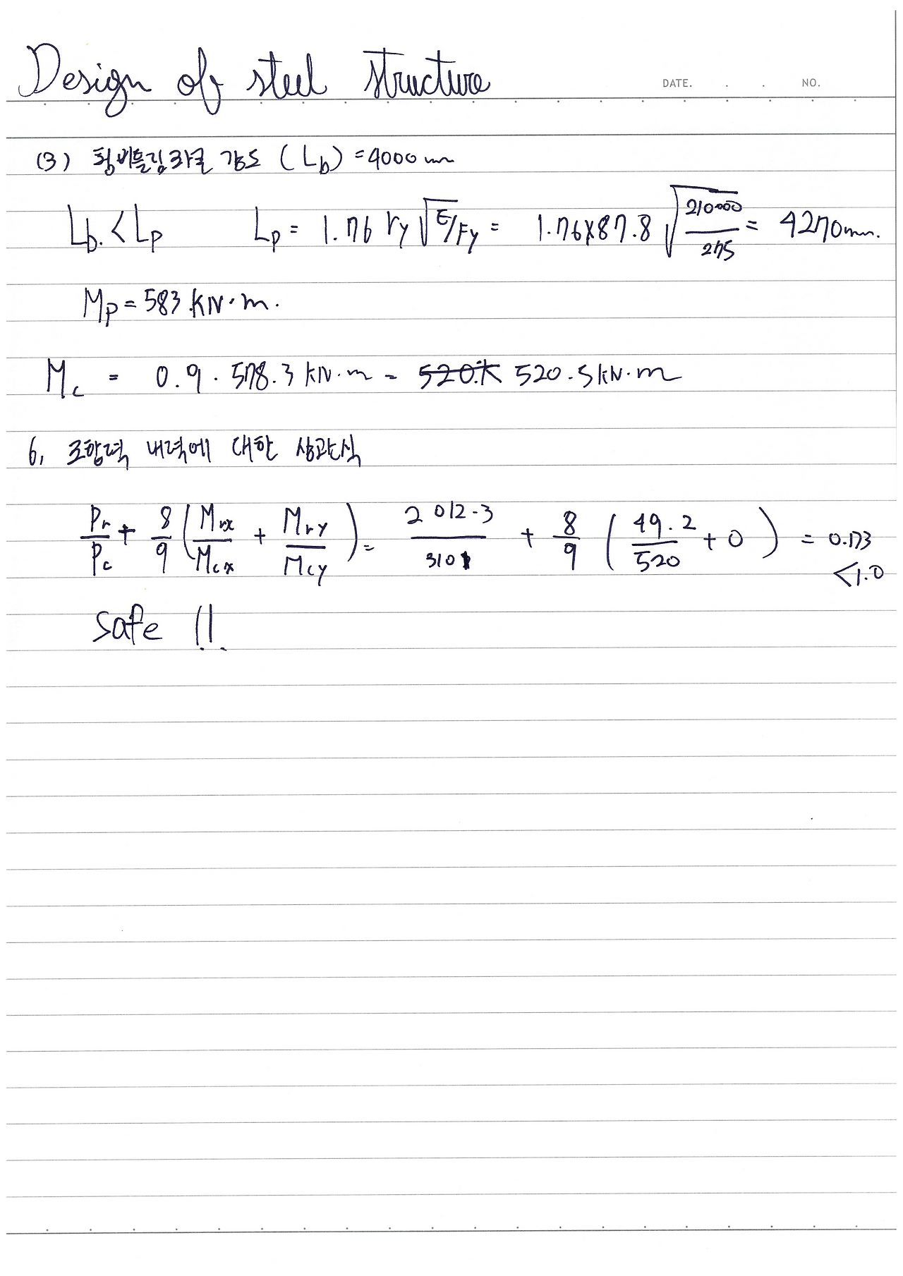
강구조2_1.png 8장 총정리 문제