brunch

서비스 업계의 인공지능 (4/8)

by 라인하트

"서비스 업계의 인공지능(Artificial Intelligence in Service)은 Ming-Hui Huang과 Roland T. Rust 가 쓴 글입니다.


A Theory of AI Job Replaceme

인공지능 일자리 대체 이론


When Does AI Replace Employee Labor? (인공지능은 언제 직원의 노동을 대체할까요?)


To investigate this issue, we build a simple and stylized mathematical model based on the observed order of development of AI with respect to the four intelligence. We start by making a series of assumptions that are supported by the existing literature and then use them to develop testable propositions. In spite of the simplicity and relatively uncontroversial nature of the assumptions, some of the conclusions that result run counter to the current conventional wisdom. The technical proofs and derivations are provided in the Appendix.


이 주제를 조사하기 위해, 우리는 4가지 지능과 관련한 인공지능의 개발 순서를 바탕으로 단순하고 양식화된 수학적 모델을 만들었습니다. 먼저 기존의 연구 자료에 의해 뒷받침되는 일련의 가정들을 만든 다음 시험 가능한 가치제안 개발에 적용하였습니다. 그 가정들의 단순성과 비교적 논쟁의 여지가 없는 특성에도 불구하고, 어떤 결론의 일부는 현재의 통념과 상반됩니다. 기술적인 증명과 지침은 부록에 제시됩니다.



Assumptions (가정들)


Assumption 1: The advent of AI job replacement happens first for mechanical tasks, then for analytical tasks, followed by intuitive tasks and empathetic tasks.


가정 1: 인공지능의 일자리 대체는 가장 먼저 기계적인 업무, 분석적인 업무, 직관적인 업무 그리고 공감적인 업무 순서로 일어납니다.



Tasks require corresponding human or machine intelligence to accomplish. We separate the use of AI for service into five stages: Stage 1, starting at time t 1⁄4 0, in which AI is used for mechanical tasks; Stage 2, starting at time t 1⁄4 T1 > 0, in which AI begins to be used for analytical tasks; Stage 3, starting at time t 1⁄4 T2 > T1, in which AI begins to perform intuitive tasks; Stage 4, starting at time t 1⁄4 T3 > T2, in which AI begins to provide empathetic service; and Stage 5, as t 1⁄4 >1, in which AI can provide all kinds of service better than humans can.


업무를 완료할 수 있는 인간 또는 기계 지능이 필요합니다. 서비스 분야에 인공지능의 활용을 다음의 5단계로 구분합니다. 1 단계, 기계적인 업무에 인공지능이 사용되는 시간 t=0에서 시작. 2단계, 분석적인 업무에 인공지능이 사용되기 시작하는 시간 t=T1>0; 3단계, 인공 지능이 직관적인 업무를 수행하기 시작하는 시간 t=T2> T1에서 시작. 4단계, 인공지능이 공감 서비스를 제공하기 시작하는 시간 t=T3> T2에서 시작. 5단계, 인공지능이 인간보다 모든 종류의 서비스를 더 잘 제공할 수 있는 시간 t=>∞.



Assumption 1 considers that AI service provision generally occurs first with tasks that require lower intelligence. For example, mechanical tasks tend to be homogeneous and repetitive and can often be easily and directly automated by AI. Sawhney (2016) argues that tasks that are performed frequently (high volume) and require little sophistication (meaning knowledge or intelligence) are ideal for productization, that is, machine replacement. Chui, Manyika, and Miremadi (2015) consider that tasks that do not require knowledge are more likely to be automated.


가정 1은 일반적으로 인공지능 서비스 제공이 낮은 지능을 필요로 하는 업무에서 먼저 발생하는 것으로 간주합니다. 예를 들어 기계적인 업무는 균일하고 반복적인 경향이 있습니다. 인공지능에 의해 쉽고 직접 자동화될 수 있다. 쏘니는 자주 수행되고(대량) 정교하지(지식이나 지능을 의미) 않는 업무는 제조화에 이상적이라고 주장합니다. 추이, 다미카, 미레마디는 지식이 필요 없는 업무는 자동화 가능성이 높다고 봅니다.



Even if some jobs are more heterogeneous and require higher intelligence, as long as the jobs can be broken down into homogeneous tasks, they can be replaced by AI. For example, the systematic nature of analytical service renders it easier to be broken down into more homogeneous tasks to be performed by AI. Baidu’s chief scientist, Andrew Ng, in a recent Wall Street Journal interview (A. Ng and Jacobstein 2017) states that, as a rule of thumb, any tasks that can be done in less than 1 s of mental thought can be replaced with AI. He uses the example of a security guard monitoring security footage to illustrate this argument: such a job is complex, but the job can be broken down into a lot of smaller tasks, with many of the smaller tasks involving 1 s of cognitive thinking. AI can automate those 1-s tasks and leave the other tasks to the security guard.


일부 직업은 더 이질적이고 더 높은 지능이 요구된다고 해도, 그 직업을 일정한 업무로 세분화할 수 있는 한, 인공지능이 대체할 수 있습니다. 예를 들어, 분석 서비스의 체계적 특성은 인공지능이 수행할 수 일정한 업무로 세분화하기 쉽습니다. 바이두의 수석 과학자 앤드류 응은 최근 월스트리트 저널 인터뷰에서 1초도 안 되는 지적 사고로 할 수 있는 모든 일을 인공지능으로 대체할 수 있다고 주장합니다. 그는 보안 감시 카메라의 사례로 설명합니다. 보안 감시는 복잡하지만 많은 작은 업무로 쪼갤 수 있고, 세분화된 작은 업무들은 1초의 인지적 사고로 처리할 수 있습니다. 인공지능은 이러한 1단계 업무를 자동화하고 다른 업무는 경비원에게 맡길 수 있다.



Assumption 2: AI job replacement for a particular intelligence is proportional to AI task replacement.


가정 2: 특정 지능을 위한 인공지능 일자리 대체는 인공 지능 업무 대체와 비례한다.


If AI is able to replace half of all mechanical tasks, then we assume that only about half of the original number of people will be required to provide the same service. As an example, consider telephone customer service phone menus. Those automated systems replace the relatively mindless mechanical labor that was formerly performed by low-paid employees. It is clear that the number of telephone customer service personnel has declined as telephone customer service has become increasingly automated (U.S. Department of Labor 2008). For example, we have witnessed that ATM replaces human tellers in handling repetitive cash withdraws and deposits, and robotic servants replace human waiters/waitresses to serve customers at restaurants. A recent New York Times reports that robots are predicted to win the race for American jobs (C. C. Miller 2017). For one more robot per thousand industrial workers, the employment to population ratio is predicted to reduce .18% to .34% and wages by .25% to .5% (Acemoglu and Restrepo 2017).



만일 인공지능이 모든 기계적인 업무들의 절반을 대체할 수 있다면, 우리는 같은 서비스를 제공하기 위해 절반 정도의 인력만이 필요할 것이라 가정합니다. 예를 들어, 전화 고객 서비스의 전화 메뉴를 생각해 봅시다. 자동화된 전화 응대 시스템은 과거의 저임금 근로자가 수행하던 무신경한 단순 기계 노동을 대체하였습니다. 분명히 전화 고객 서비스가 점점 자동화되면서 전화 고객 서비스 지원 인력의 수가 감소하고 있습니다. 예를 들어, ATM은 반복적으로 현금 인출과 예금을 처리하는 은행 출납원을 대체하고, 레스토랑에서 손님을 접대하는 웨이터를 대체하는 것을 우리는 목격했다. 최근 뉴욕타임스는 로봇이 미국 일자리 경쟁에서 이길 것으로 예측된다고 보도했습니다. 제조업 인력 1000명 당 로봇 1대가 인구 대비 고용 비율을 0.18%에서 0.34%로, 임금은 0.25%에서 0.5%로 감소될 것으로 전망했습니다.


This assumption links task replacement to employee labor replacement. The more tasks of a job that AI takes on, the fewer employees are needed for doing that job. The transition stage when a job is partially done by AI and partially done by employee labor is commonly known as augmentation (Daven- port and Kirby 2015). However, as long as AI continues advancing its intelligence and taking over more tasks, employee labor will be steadily replaced. This can be evidenced in that even just for recent years, the prediction that skilled jobs will be more secure (e.g., knowledge workers in Davenport and Kirby 2015) has changed, with portfolio managers being replaced by big data AI (Javelosa 2017). Therefore, task replacement directly implies employee labor replacement.


가정 2는 업무 대체를 직원의 노동 대체와 연결시킵니다. AI가 맡을 수 있는 업무가 더 많을수록 더 적은 인력이 필요합니다. 인공 지능이 직업의 일부를 수행하고 직원이 일부를 수행하는 전환 단계는 일반적으로 증강이라고 알려져 있습니다. 하지만 인공지능이 계속 고도화되고 더 많은 업무를 처리하는 한, 인공지능은 직원의 노동을 꾸준히 대체할 것입니다. 최근 몇 년 동안만 해도 숙련된 직업이 더 안전할 것이라는 예측이 바뀌었습니다. 빅데이터 인공지능이 포트폴리오 관리자를 대체하고 있습니다. 그러므로 업무 대체는 직접적으로 직원의 노동을 대체합니다.



Assumption 3: The rate of AI job replacement within a specific intelligence is proportional to the number of human workers within that intelligence.


가정 3: 특정 지능 영역에서 인공 지능 일자리 대체 비율은 해당 지능 영역 내의 근로자 수에 비례합니다.


This assumes that job replacement happens at a fixed rate proportional to the number of workers. If there are many human workers, there is more potential for replacement. As the number of human workers approaches zero, the number of workers replaced declines. Similar assumptions are employed by the Bass model of new product diffusion (Bass 1969; Mahajan, Muller, and Bass 1990) and its many variants. As in the Bass model, this assumption is concisely stated using differential equations. In our case, applying Assumptions 1 and 2, we have:


가정 3은 일자리 대체가 근로자 수에 비례하는 일정한 비율로 일어난다고 가정합니다. 근로자가 많다면 대체 가능성도 커집니다. 근로자의 수가 0에 가까워짐에 따라 대체 인력의 수도 감소합니다. 신제품 확산의 Bass 모델과 유사한 모델에서 비슷한 가정을 사용합니다. Bass 모델에서와 같이, 이 가정은 차등 방정식을 사용하여 간결하게 기술합니다. 우리의 경우 가정 1과 2를 적용하는 것은 다음과 같다.

Screen Shot 2019-10-18 at 3.15.07 PM.png



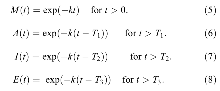
where M(t), A(t), I(t), and E(t) are the proportion of the original workers associated with mechanical, analytical, intuitive, and empathetic tasks, respectively, and k > 0 is the rate of AI job replacement. For simplicity of exposition, we use the same rate of job replacement across intelligences.4 Some may argue that the lengths of the stages should increase over time, reflecting the greater difficulty of devising higher intelligence AI; our model is fully general to this possibility, and none of the pro- positions would be affected.


M(t), A(t), I(t), E(t)는 각각 기계, 분석, 직관 및 공감 업무와 관련된 기존 근로자의 비율입니다. k > 0은 일자리 대체율입니다. 간단한 설명을 위해, 우리는 지능 전반에 걸쳐 동일한 일자리 대체 비율을 사용합니다. 일부 사람들은 더 높은 수준의 지적인 인공지능을 개발하는 어려움을 반영하기 우해 더 많은 시간을 주어야 한다고 주장할지도 모릅니다; 우리의 모델은 일반적인 방식으로 접근하고 어떠한 고려 사항에 영향을 받지 않을 것입니다.


The above first-order differential equations may be solved to provide the following closed form expressions for M(t), A(t), I(t), and E(t):


M(t), A(t), I(t) 및 E(t)에 대해 다음과 같은 폐쇄형 식을 제공하기 위해 위의 1차 차등 방정식을 해결합니다.


Screen Shot 2019-10-18 at 3.15.16 PM.png


Figure 2 provides a graphical illustration of the proportion of jobs remaining for each intelligence over time, as related to the five stages of AI replacement discussed previously.


그림 2는 앞에서 설명한 인공지능 대체 5단계와 관련하여 시간이 경과함에 따라 각각의 인공지능이 남아 있는 업무의 비율을 그래픽으로 나타낸 것이다.


<표 2> 일자리 대체 단계에 따른 각 인공 지능의 비율

Screen Shot 2019-10-18 at 4.31.27 PM.png


We also wish to explore the relative importance of the intelligences over time for human service employment because if the relative importance of an intelligence changes over time, this would have implications on the kinds of skills that service workers should have, and the kind of education and training that they should receive. To evaluate this, we define the relative importance of an intelligence at time t as being the proportion of the original number of jobs related to that intelligence, normalized by the sum across all intelligences. For example, the relative importance of mechanical intelligence, M*(t), is defined as:


우리는 시간의 경과에 따른 인간 서비스 고용에 따른 지능의 상대적 중요성을 탐구하기를 원합니다. 왜냐하면 시간이 지남에 따라 지능의 상대적 중요성이 변한다면, 서비스 근로자들이 가져야 할 기술의 종류와 그들이 받아야 할 교육과 훈련의 종류에 영향을 미칠 것이기 때문입니다. 이것들을 평가하기 위해, 우리는 모든 지능들에 대한 합계에 의해 정규화되고 그 지능과 관련된 기존 일자리의 수의 비율을 활용하여 시간 t에 지능들의 상대적 중요도를 정의 합니다. 예를 들면, 기계 지능의 상대적인 중요도 M*(t)는 다음과 같이 정의합니다.



Screen Shot 2019-10-18 at 4.42.41 PM.png


where SUM(t) = M(t) + A(t) + I(t) + E(t). and A*(t), I*(t), and E*(t) are defined analogously.


합계(t) = M(t) + A(t) + I(t) + E(t)로 정의합니다. 각각의 중요도 A*(t), I*(t), and E*(t) 도 유사하게 정의합니다.



We now explore Stages 1 through 5 individually and derive propositions about how the service jobs environment will change. All derivations and proofs of propositions are supplied in the Appendix.


우리는 이제 1단계부터 5단계까지 개별적으로 탐구하고 서비스 작업 환경이 어떻게 변화할 것인지에 대한 가치 제안을 도출합니다. 모든 가치제안의 도출과 증명은 부록에서 제공됩니다.


keyword
매거진의 이전글서비스 업계의 인공지능 (3/8)