brunch

엄마는 미국 시민 since yesterday

꼼꼼한 심사관에 대처하는 방법

by 캐미 스토리텔러

MK Jr.2의 시민권 인터뷰 날짜는 MK 인터뷰 바로 다음 날인 2022년 2월 11일 오전 11시였다. 공식처럼 2시간 전에 출발하여 이동시간 1시간, 40분 동안 인터뷰를 위한 마지막 준비, 20분 전 인터뷰 장소로 입장하였다.


느긋한 성격이라 그런지 MK Jr.2는 그 40분 조차도 더 이상 할 게 없다며 빈둥 거렸고 인터뷰 준비도 겨우 2일 동안만 하는 모습이 그저 어이없을 뿐이었다.

MK와 황금손은 건물 앞 주차장에서 기다림에 지쳐가던 중 1시간여 만에 MK Jr.2로부터 문자가 왔다. '엄마, 주변에 있던 사람들 다 인터뷰하러 들어갔는데 저는 아직도 기다리고 있어요.'

MK Jr.2의 불안함이 전해지는 메시지였으나 그저 기다릴 수밖에...


그 후로 얼마간의 시간이 지나고 '엄마, 드디어 인터뷰 패스하고 선서하러 왔어요~'라는 텍스트를 받고 나서야 두 사람은 한 숨을 돌릴 수 있었다.

20여분의 시간이 지나자 MK Jr.2 가 밝은 얼굴을 하고 차로 돌아와 긴 시간을 필요로 했던 심사관에 대한 흥미진진한 이야기를 들려주었다.


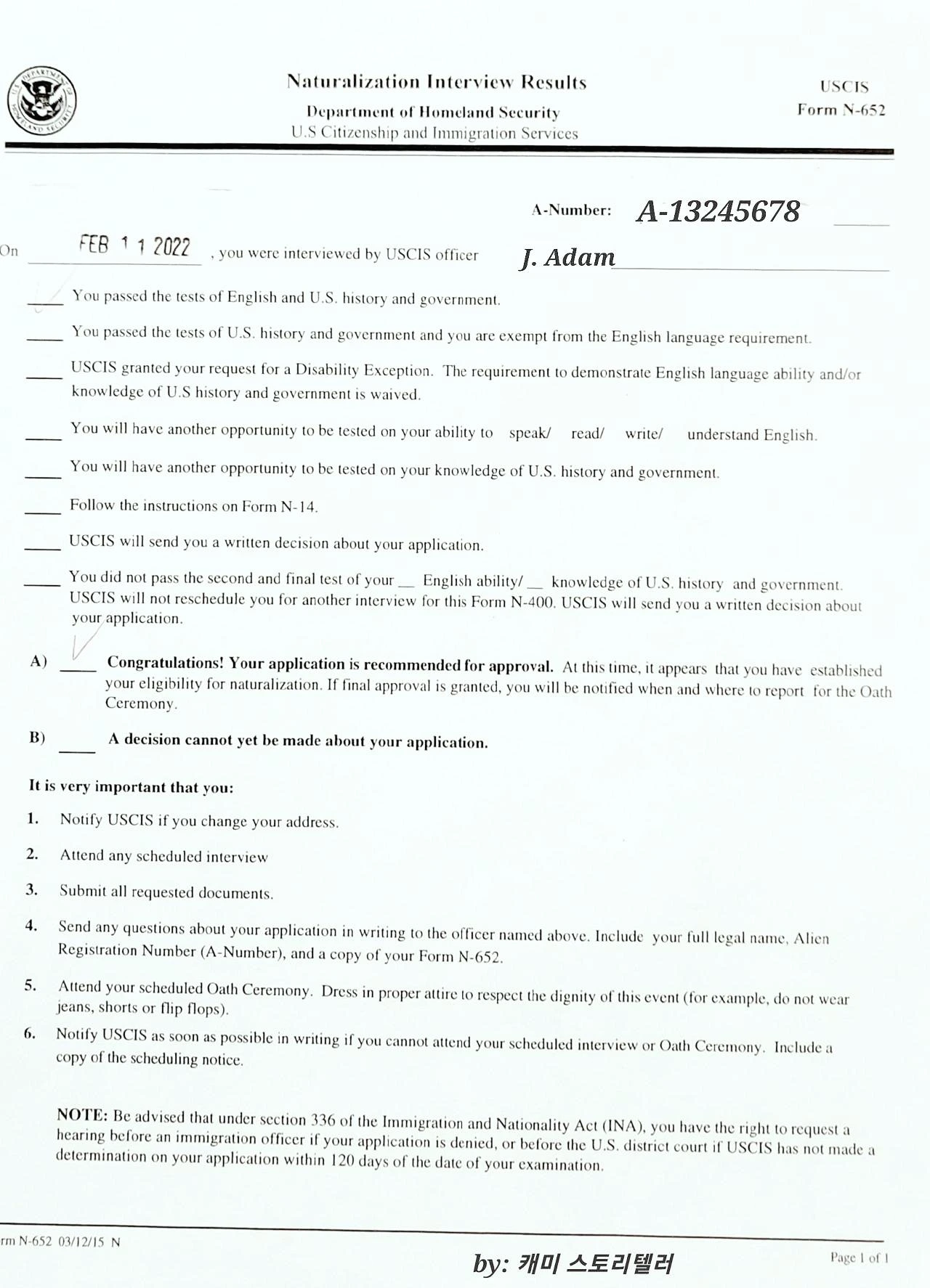
인터뷰가 끝난 후 받는 서류로서 (A)의 체크마크는 아무 문제없이 통화했다는 결과


MK Jr.2를 인터뷰한 심사관은 성격이 매우 꼼꼼해 보였고 상대방을 무시한다거나 괴롭히기 위해서가 아닌 일처리 방식이 그렇다 느꼈단다.

아시안계 남성이었는데 'Air Force' 신분증용 목 줄(lanyard)을 하고 있는 걸로 보아 전직 공군이 아니었나 하는 합리적 의심도 했다.


그는 처음부터 끝까지 N-400에 있는 모든 질문을 했고, 질문 중 하나인 부모의 시민권 유무에 관한 질문을 했는데 MK Jr.2의 대답에 재밌는 상황을 상상하며 서로 잠시 동안 미소의 쉼표를 갖기도 했단다.

Q: Is your mother U.S. citizen?
A: Yes, she is since yesterday.

또한, 학비나 생활비는 어떻게 충당하는지 질문하여 1학년 때부터 학교의 홍보담당 파트타임 일을 하고 있고 학비는 부모님이 지원해 주신다고 하니 부모의 세금신고서를 보여 달라 했는데 지난 3년 치를 준비해 가서 다행이었다.

그 외에도 지금 재학 중인 학교와 전공 등에 대해서도 자세히 질문했고 그 내용을 빠짐없이 기록했으며 part-12 추가 질문 또한 한 문장도 빠짐없이 묻고 답을 했단다.


물론, 5살 때부터 영어권에서 자라 원어민보다 월등한 영어를 구사하므로 영어에 있어서는 전혀 문제 될 게 없었지만 이 심사관은 참으로 철저한 성격이라 본인 담당한 모든 지원자들 마다 시간이 항상 길게 필요해서 예약 시간보다 1시간 초과되는 것이 일상인 듯 보인다.

인터뷰와 선서식까지 마치고 나온 MK Jr.2가 이민국 앞에서 환하게 웃고 있다

시민권 인터뷰에서 심사관을 선택할 수 없으므로 인터뷰 가기 전 준비서류들을 완벽하게 준비하는 것만이 최선이다.

미리 준비해야 할 서류들로는 3년 동안 낸 세금 보고서(IRA 웹사이트에서 Tax Return Transcript 출력), 출생증명서, 결혼 증명서, 여권(처음 미국 입국 시 받은 VISA나 정부 관련 서류가 있는 경우 구여권 포함), 은행 거래내역, 신용카드 사용내역, 여러 공과금 고지서 중 신청자 이름이 나와 있는 것 하나, SSN 카드, 병역증명서(한국에서 군필자는 정부24 웹사이트에서 영문으로 출력 가능), 미국에 있는 고등학교나 대학교 성적표 또는 졸업장, 또한 18세에서 26세 남성은 Selective Service 등록증(sss.gov 웹사이트에서 확인하고 출력하거나 원본이 있으면 지참할 것)이 필요한데 이것은 정부와 헌법이 요청할 경우 군에 참여한다는 등록증서이다.

Selective Service 등록했다는 증서

이처럼 완벽하게 인터뷰를 위해 준비해 간다면 심사관이 무엇을 묻고 또 무엇을 요구하더라도 주저함 없이 답하고 준비된 서류를 보여 줄 수 있으므로 반드시 시민권 심사에 합격하리라 확신한다.

keyword
매거진의 이전글나, 오늘부터 미국 시민