brunch

시민권 심사관은 확신이 필요해

이런 케이스는 추가 서류 요청받아요

by 캐미 스토리텔러

MK Jr.1의 인터뷰 일정은 2022년 2월 9일 오전 8시 5분, 3일 연속 황금손의 운전 서비스 지원하에 이민국 사무실로 출근 같은 방문을 했다.

MK가 인터넷 커뮤니티를 통해 얻은 정보에 의하면 최근 이민국에서 가장 중요하게 하는 질문이 '영주권을 어떻게 받게 되었는가?'인데 지원자 답변에 조금이라도 의심스러운 부분이 생기면 추가 서류를 요청하거나 시민권 심사에서 불합격하는 경우도 발생한다는 것이다.


MK Jr.1의 경우 현재 미국 내 대학이 아닌 캐나다 토론토 대학에서 석사 과정을 공부하고 있기 때문에 해외 체류기간이 길어 그에 대한 심사관의 예상 질문들과 어떠한 대답이 심사관에게 믿음을 줄 것인지에 대해 서로의 의견을 논하였다.


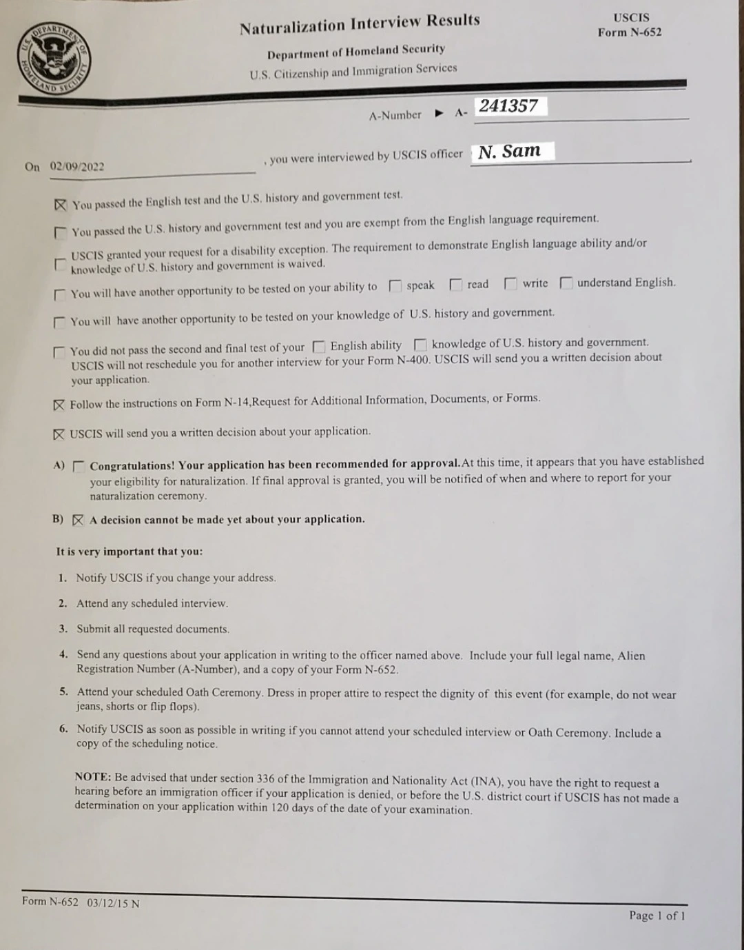
인터뷰 시간 20분 전 건물로 들어갔던 MK Jr.1은 1시간 정도의 시간이 지나 돌아왔는데 긴 인터뷰가 있었으나 시민권 패스 여부에 대한 결정은 추가로 요청한 자료를 검토한 결정하겠다는 통보를 받았다고 전했다.


7살 때부터 영어권에서 자란 MK Jr.1은 civic test와 읽고 쓰기는 간단히 통과했는데 '시민권 신청자는 지난 5년 동안 918일 이상 해외에 머물러서는 아니 된다'라는 기준에 의거, MK Jr.1의 10회에 달하는 출입국 기록을 심사관이 그 자리에서 직접 손 계산기를 사용하여 해외 체류기간을 계산하였고 모두 908일이니 기준은 넘지 않았다고 말했다.


그러나 MK Jr.1이 시민권 서류 접수 당시 USCIS 웹 사이트에서 자동으로 계산되는 해외 체류기간에는 분명 868일이었으므로 당황하지 않을 수 없었다.

왜 이렇게 큰 날짜 차이가 있는지 생각해 보니 지난 2022년 1월, MK Jr.1은 겨울 방학이 끝나고 새로운 학기를 위해 캐나다 토론토로 돌아갔다가 인터뷰 일정 통보를 받고 돌아와 30일이 해외 체류기간에 더해진 것이다.


누군가 이 글을 읽는 독자 중, 미국 시민권을 신청함에 있어 해외 체류 기간이 긴 경우라면 MK Jr.1의 케이스를 통해 다음 사항을 꼭 기억하기 바란다.

해외 체류기간은 서류 접수 시점 기준이 아니라 인터뷰하는 날 기준으로 계산되고, USCIS 웹 사이트에서 자동 계산되는 해외 체류 기간은 '24시간 이상 해외에 머문 경우'란 조건 때문에 1일씩 감하여 계산되니 착오 없길 바란다.


심사관은 MK Jr.1에게 현재 대학에서 무엇을 공부하고 있으며 미래에 하고 싶은 일은 무엇이고 왜 집 근처에 있는 대학을 선택하지 않고 캐나다에 있는 대학을 선택했는지에 대해 물었다.

이에 대해 MK Jr.1은 등록금이 두 나라 대학들 간에 큰 차이가 있고 일단 부모님으로부터 독립하고 싶은 마음도 컸기 때문이라 답했다.


현재는 대학에서 장학금도 받고 교수 연구에 참여하여 파트타임 일도 하며 학생 대출금 없이 공부하고 있는데, 박사과정은 미국에서 공부하고 직업도 찾고 싶다고 미래에 대한 MK Jr.1의 계획도 이야기했다.

그럼에도 불구하고 심사관은 MK Jr.1에게 미국 시민이 되어 미국에서 살며 시민의로서의 의무를 다할 것이라는 미래에 대한 확고한 의지를 보여야 한다며 추가 서류를 요청했다.


심사관이 요청한 과거의 서류들이 얼마만큼 MK Jr.1의 미래에 대한 의지를 보여 줄 수 있을지는 모르겠으나 집으로 돌아옴과 동시에 서류 준비에 돌입하였다.

편지에 제시되어 있는 내용 중 MK Jr.1의 시민권 서류 접수일 기준 5년 전부터의 은행 거래 내역, 신용카드 사용내역, 미국 안에 있는 학교의 졸업장 및 성적표, 병원 방문 기록, 증권 계좌 거래내역 등을 준비했다.


5일 동안 부지런을 떨어 추가 서류를 준비하니 500여 장이나 되어 너무 과하지 않을까 하는 생각을 아주 잠깐 하였으나 심사관이 강조한 '가. 능. 한. 많. 이'를 상기이며 분류별, 연도별로 잘 정리하여 우편으로 보냈다.

인터뷰 결과와 추가서류 요청 편지
이만큼 5년치의 믿음을 담아 심사관의 확신을 위해 보낸 문서

盡人事待天命(진인사대천명)이란 말처럼 MK Jr.1은 할 수 있는 모든 일을 다했고 이제는 간절한 기도와 함께 겸허히 결과를 기다리고 있다.



keyword
매거진의 이전글엄마는 미국 시민 since yesterday