brunch

딥시크(DeepSeek), 알잘딱깔센 정리합니다

by Mobiinside

한국에서는 설 연휴가 한창이던 2024년 1월 27일, 중국의 AI 스타트업 딥시크(DeepSeek)가 R1 모델을 공개하며 글로벌 AI 업계의 이목을 집중시켰습니다. 나스닥을 비롯한 글로벌 증시가 크게 반응했고, 명절을 맞아 휴일을 즐기던 국내 언론사들도 긴급하게 뉴스를 전하기 바빴습니다. 도대체 딥시크가 어떤 기업이길래 이렇게 큰 관심을 받게 된 걸까요? 테크잇슈에서 알잘딱깔센 정리해 봤습니다.






딥시크가 주목받는 두 가지 이유



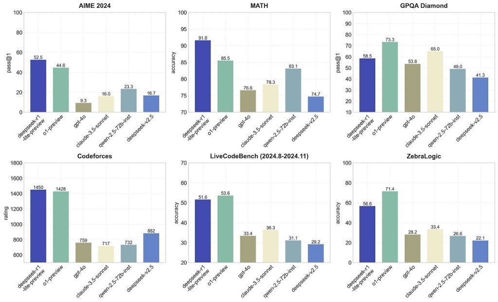
2023년 중국 헤지펀드사 하이 플라이어 퀀트에서 분사한 딥시크는 설립 이후 놀라운 성장세를 보입니다. 그리고 불과 1년 6개월 만에 OpenAI, Anthropic과 같은 세계 최고 수준의 AI 기업들과 어깨를 나란히 하는 성과를 이뤄냈는데요. 딥시크 측에서 공개한 벤치마크 결과는 다음과 같습니다.



250206_%EB%94%A5%EC%8B%9C%ED%81%AC_01-1024x620.jpg R1 벤치마크 결과 (출처 : DeepSeek)



AI 기술 경쟁에서 다소 뒤처져 있다고 평가받던 중국이 이처럼 빠르게 격차를 좁힌 것도 놀랍지만, 더 놀라운 사실이 두 가지가 더 남아있습니다.


첫째는 개발 비용입니다. 딥시크는 모델 훈련에 약 557만 6천 달러(약 80억 원)를 투입했다고 밝혔는데요. 이는 메타가 AI 개발에 투입한 비용의 10분의 1 수준에 불과합니다. 이러한 비용 절감이 가능했던 것은 CoT, MoE, MLA 등 기존의 개발 방법론을 적극 차용했던 결과로, 이를 두고 일부 전문가들 사이에서는 기술의 혁신이라기보다는, 기존의 이론을 효과적으로 조립한 결과라 칭하기도 합니다. 이러한 현상은 ChatGPT가 공개됐을 때도 비슷한 반응으로, 당시에도 일반인들은 굉장히 놀랐지만 전문가들은 예상됐던 결과물이라는 반응이 많았습니다.


둘째는 딥시크가 자사의 AI 모델을 오픈소스로 공개했다는 점입니다. 딥시크는 ‘DeepSeek-R1’을 MIT 라이선스 하에 완전 공개했는데요. 이 라이선스는 상업적 용도로도 제한 없이 사용할 수 있기에 많은 후발주자와 스타트업들이 모델을 테스트해 볼 수 있는 기회가 됐습니다. 더구나 OpenAI 모델과 유사한 성능을 가졌다고 공개됐기에 그 관심도가 순식간에 집중되는 효과가 되기도 했습니다.



250206_%EB%94%A5%EC%8B%9C%ED%81%AC_02-1024x684.jpg 출처 : blind



이러한 성과는 AI 오픈소스를 주도해 온 메타의 입지까지 위협하고 있습니다. 메타 내부에서는 자사 모델보다 우수한 성능의 모델이 훨씬 적은 비용으로 개발되었다는 사실에 충격을 받았다는 이야기가 흘러나오고 있는데요. AI 모델 개발에 투입한 막대한 비용을 어떻게 정당화할지 고민이라는 후문입니다.






의도치 않은 혁신의 촉매제



딥시크의 성과는 AI 업계에 큰 반향을 일으키고 있습니다. 미국 앱스토어에서 ChatGPT를 제치고 1위에 오른 것은 물론, 저성능 GPU로도 뛰어난 성과를 달성하며 엔비디아의 주요 경쟁력이었던 고성능 GPU의 필요성에 대해 의문이 제기되었는데요. 이는 1월 28일 엔비디아의 주가가 하루 만에 17% 급락하는 주요 원인이 되기도 했습니다. 즉, AI 시대의 주역이라 볼 수 있는 OpenAI와 엔비디아를 한 번에 격침시킨 꼴이 됐습니다.



250206_%EB%94%A5%EC%8B%9C%ED%81%AC_03-1024x409.png 출처 : App store, google



이러한 상황을 보며 불현듯 삼국지의 한 대목이 떠올랐습니다. 병법의 대가인 조조는 적을 공격할 때 항상 퇴로를 열어둔 것으로 유명합니다. 사방이 포위된 적은 마지막 저항을 위해 극단적인 반격을 시도할 수 있다는 것이 이유였습니다. 반면, 퇴로가 있다면 도망갈 수 있다는 희망이 생겨 공격 의지가 약화되고, 군사들이 하나로 뭉치기보다는 분산되면서 오히려 빈틈이 많아져 쉽게 무너뜨릴 수 있습니다.


그러나 미국은 중국에게 퇴로를 열어주지 않았습니다. 미국은 기술 경쟁력이 미래를 좌우한다는 판단 아래, 최대 경쟁국인 중국으로의 기술 유출을 모든 수단을 동원해 차단했는데요. 이는 역설적으로 중국의 혁신을 촉발하는 계기가 된 듯 보입니다. AI 개발의 필수재라 불리는 고성능 GPU 수급이 제한되자, 중국은 컴퓨팅 파워 한계를 극복하기 위한 혁신적인 접근을 모색해야 했고, 그 결과물이 바로 딥시크로 나타났다고 볼 수 있습니다.


이는 ChatGPT 출시 이후 상대적으로 넉넉한 리소스를 바탕으로 모델의 크기가 크면 성능이 좋아진다는 ‘스케일링 법칙’에 집중하다가, 최근에서야 새로운 방식의 필요성을 느낀 미국보다 오히려 더 빠른 전환점이 된 셈입니다.






확대 해석은 금물



혜성같이 등장한 딥시크로 인해 언론은 흥분된 모습입니다. 그러나 상황을 기술적 관점에서 냉정히 분석할 필요가 있습니다.


우선 딥시크의 성과는 AI 업계의 전반적인 트렌드를 반영한 결과물이라는 점을 이해해야 합니다. 최근 AI 효율화는 이미 업계의 주요 과제였고, 실제로 구글이 최근 발표한 제미나이 2.0 Flash 버전 역시 비슷한 성능을 보유하고 있으며, 저렴한 가격에 제공하면서 이러한 흐름에 동참하고 있습니다.



250206_%EB%94%A5%EC%8B%9C%ED%81%AC_04-1024x570.jpg 딥시크 프라이버시 정책 (출처 : 딥시크)



또한 중국 기업들은 여전히 데이터 취급과 프라이버시 보호 측면에서 국제 사회의 우려를 완전히 해소하지 못한 상태입니다. 지금 당장은 많은 사용자들이 호기심에 이것저것 시도해보고 있지만, 실제 중요한 데이터를 다루는 작업에는 사용을 꺼리는 것이 현실인데요. 당장 일본 정부에서는 공무원에 사용 금지 권고를 내렸고, 대만을 비롯해 유럽에서도 사용을 금지하려는 움직임이 포착됐습니다. 이러한 신뢰도 문제를 해결하지 못한다면, 아무리 뛰어난 기술력을 보유하고 있더라도 의료나 금융과 같은 고부가가치 서비스 영역에서의 활용은 제한적일 수밖에 없을 것입니다.


엔비디아의 고성능 GPU 수요 역시 여전히 견고할 것으로 전망됩니다. 초격차 기술 개발과 자율주행 같은 첨단 연구 분야에서는 처리해야 할 데이터의 규모와 복잡도가 계속해서 증가하고 있어, 고성능 컴퓨팅 파워의 필요성은 여전히 존재합니다.


이러한 이유들로 딥시크의 장기적 성공 여부는 시간을 조금 더 두고 지켜봐야 할 것으로 보입니다. 현재 미국이 겪고 있는 혼란도 머지않아 안정화될 가능성이 높습니다.






기회를 잡아야 하는 한국



딥시크의 궁극적인 성공 여부와는 별개로, 이번 사례는 한국 AI 산업에 중요한 시사점을 던져주고 있습니다. 그동안 AI 개발, 특히 LLM 모델은 막대한 자본이 필요한 이른바 ‘쩐의전쟁’으로 인식되어 왔고, 국내에서도 미국의 기술력과 자본을 따라잡기는 불가능하다는 비관론이 지배적이었습니다.


하지만 딥시크의 사례는 AI 개발에 있어 반드시 천문학적인 비용이 필요한 것은 아니며, 효율적인 접근 방식으로도 의미 있는 성과를 낼 수 있다는 것을 보여주었습니다. 이는 수조 원의 투자 없이도 독자적 LLM 모델 개발이 가능하며, 글로벌 테크 기업에 의존하지 않고도 경쟁력 있는 서비스를 만들어낼 수 있다는 가능성이 확인됐습니다.


한국은 과거 반도체 산업에서 무에서 유를 창조하며 세계적인 성공을 거둔 바 있습니다. 분명한 저력이 있는 나라인 만큼, AI 개발에서도 전문성을 집중한다면 제한된 자원으로도 글로벌 시장에서 충분한 경쟁력을 갖출 수 있을 것으로 기대됩니다. AI 분야에서도 선택과 집중을 통해 한국만의 새로운 성공 스토리를 만들어내기를 바랍니다.




*위 글은 ‘테크잇슈’ 뉴스레터에 실린 글입니다.

테크잇슈는 제가 직접 만드는 쉽고 재밌는 IT 트렌드 레터입니다.
IT 이슈 모음과 위와 같은 칼럼을 전달드리고 있으니, 관심 있는 분들은 구독 부탁드립니다 �

테크잇슈 구독하러 가기


해당 글은 테크잇슈님과 모비인사이드의 파트너십으로 제공되는 기사입니다.

%EC%A0%80%EC%9E%91%EA%B6%8C-%EC%9D%B4%EB%AF%B8%EC%A7%80-6.png

모비인사이드의 뉴스레터를 구독해보세요

keyword
매거진의 이전글720조 스타게이트, AI 세상의 문을 열다!?