최적의 자산배분법, 수학적으로 증명해 보겠습니다

feat. 켈리 공식

by 머니맥락
자산 배분이 수익률의 90%를 결정한다




많은 사람들이 좋은 종목을 고르는 게 가장 중요하다고 생각하지만 실제로 주식 투자 수익률은 종목 선정보다 자산 배분의 영향을 더 많이 받습니다. 그런데 도대체 자산 배분은 어떻게 하는 게 좋을까요? 60:40 포트폴리오, 올웨더 포트폴리오, 영구 포트폴리오 등 다양한 방법이 존재하지만 어떤 것이 가장 좋을지는 알 수 없습니다. 이번에는 '켈리 공식'과 대가들의 철학을 연결해 발견한 최적의 자산배분법을 알려드리겠습니다.




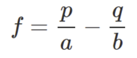
켈리 공식을 통해 반복되는 게임에서 파산 없이 자산을 불리기 위한 최적의 베팅 비율을 알 수 있습니다. 공식은 다음과 같습니다.


image.png


여기서,

f : 베팅규모(보유자금 대비 베팅금액의 비율)

a : 순손해율(1원을 베팅하고 패배할 경우 순손해 a원)

b : 순이익률(1원을 베팅하고 승리할 경우 순이익 b원)

p : 승리 확률

q : 패배확률(1−p)


경기순환주는 순이익률(b)과 순손해율(a) 모두 크지만 우량주는 순이익률(b)은 크지만 순손해율(a)은 작습니다. 위 공식에 따라 두 자산을 그래프 상에 나타내면 다음과 같습니다.


image.png


경기순환주는 x절편이 커 아주 높은 승률이 보장되지 않으면 투자가 불가능합니다. 반면 우량주는 x절편이 작아 낮은 승률에서도 투자가 가능합니다. 이는 모니시 파브라이가 말한 "단도 투자(Dhandho: 앞면이 나오면 크게 이기고, 뒷면이 나와도 조금만 잃는다)"의 원리와 정확히 일치합니다.

하워드 막스는 "최악의 대출은 최고의 시기에 이루어진다"며, 경기가 좋을수록 리스크는 커지고 기대수익률(승률)은 낮아진다고 역설했습니다. 즉, 대중이 환호하는 호황기는 수학적으로 '승률이 가장 낮은 시기'이며, 공포에 질린 불황기는 '승률이 가장 높은 시기'입니다. 역사적으로 S&P 500의 주가수익비율(PER)이 높았던 호황기 직후의 10년 수익률이 항상 저조했다는 데이터는 이 역설적인 승률의 변화를 증명합니다.

이제 수학과 철학을 합쳐 최적의 자산배분법을 도출해 보겠습니다. 경기가 안 좋을 때(승률이 높을 때)는 우량주와 경기순환주 모두 보유할 수 있습니다. 하지만 경기가 좋아져 승률이 떨어지기 시작하면 우량주는 서서히 분할매도해도 되는 반면 경기순환주는 빠르게 팔아 치워야 합니다. 켈리 공식에 따르면 손실 위험(a)이 큰 자산은 승률이 조금만 떨어져도 적정 보유 비중이 급격히 0으로 수렴하기 때문입니다. 피터 린치가 "경기순환주는 PER이 낮을 때(호황) 팔아야 한다"라고 조언한 것도 같은 맥락입니다.

결국 투자는 탐욕을 수학으로 제어하는 과정입니다. 많은 투자자가 호황기에 실적이 폭발하는 경기순환주에 매료되어 비중을 늘리는 실수를 범합니다. 하지만 켈리 공식과 하워드 막스의 이론은 "파티가 가장 뜨거울 때, 가장 위험한 친구(경기순환주)부터 먼저 집으로 보내라"라고 냉정하게 조언합니다. 경기의 고점을 정확히 맞출 수는 없지만, 시장이 과열될수록 변동성이 큰 주식부터 차분히 줄이고 우량주 위주로 압축하는 지혜, 이것이 불확실한 시장에서 당신의 자산을 지키는 가장 과학적인 생존법입니다.