brunch

진화를 꿈꾸다, 척추내시경

의학 기술은 끊임없이 발전한다 - 제다이로 살기 -

by 안용

- 나는 척추내시경 수술 전문가다

누군가가 갑자기 당신은 무엇을 하는 사람인가요?라고 묻는다면 즉시 대답한다. 척추내시경 수술을 통해 환자의 안심낙관을 추구하는 의사라고...

누구나 척추 수술을 두려워한다. 전신마취하에 큰 피부절개를 통해 뼈를 제거하고 나사못을 여러 개 박아서 수술한 후 장기간의 재활기간을 거쳐야 하는 어려운 과정이다. 만일, 똑같은 병을 전신마취 없이 내시경을 통해 비절개로 수술하여 빠른 복귀와 우수한 효과를 볼 수 있다면 누구나 안심하고 기꺼이 자가 척추를 맡길 것이다. 그러니 척추의사로서 이기술에 매달리는 것이 보람 있다.


- 8년 전에 내 기술의 발전은 끝난 줄 알았다.

8년 전 척추 전문병원에서 현재 근무하는 대학병원 교수로 이직했다. 전문병원에서 일하는 동안 척추 내시경 분야에 집중적으로 연구하였고 꽤 많은 논문을 썼다. 그 실적을 인정받아 의대 교수가 되었고 내심 내 기술이 척추 내시경 기술의 정점에 있다고 생각했다. 기술은 완성되었고 앞으로는 그 기술을 대학병원에서 수행하면서 후배들에게 전수하는 것이 내 사명이라고 생각했었다. 심지어 이 분야에서 은퇴하겠다는 말을 공공연히 하기도 했다. 8년이 지난 지금은 어떨까. 놀랍게도 그동안 나의 기술은 훨씬 더 발전하였고 그 수준이 업그레이드되어 거의 진화했다고 할 정도가 되었다. 끝인 줄 알았던 곳이 끝이 아니었던 것이다.


- 학습곡선의 진실

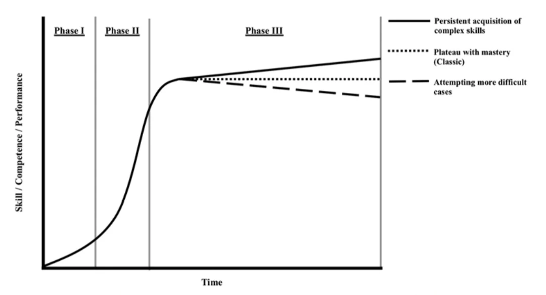
학습곡선 (learning curve)이란 특정한 대상을 학습하는 데 투입된 시간 대비 학습 성취도를 나타내는 그래프이다.

전통적인 개념의 학습곡선은 시술 횟수가 늘어날수록 치료효과가 일정 속도로 향상되다가 어느 수준의 숙련도에 다다르면 평탄한 수준을 유지하는 과정을 보여준다. 스킬의 발전에 끝이 있다는 이론이다.

현실에서는 어떨까? 플라토가 있을까?

최근의 연구에 따르면 학습곡선의 운명은 평탄한 플라토로 끝나지만은 않는 것으로 보인다.

세 가지의 시나리오가 있다. 1. 정점에서 평탄함을 유지하는 경우, 2. 정점에서 퇴보하기 시작하는 경우, 그리고 3. 정점에서 계속 진보하는 경우 등이다.

필자의 경우 내시경 수술 기술이 정점을 뚫고 계속 발전한 경험을 한 것이다. 이런 경우를 단순 발전이나 개선이 아닌 진화라고 표현한다. 차원이 달라졌기 때문이다.

-내시경 수술법은 끊임없이 진화한다. 이 끔찍한 (?) 변화를 나는 몸소 체험했다. 전혀 의도치 않았지만 지금의 발전속도라면 곧 모든 척추 수술을 내시경하에서 하게 될 것 같다. 그리고 다음 단계로는 모든 내시경 수술을 부분 마취하에서 시행할 수 있을 것이다. 그래서 나이가 많다고 또는 너무 병이 광범위하다고 수술을 포기하고 고통을 감내하는 삶을 거부할 수 있을 것이다. 필자가 추구하는 안심낙관의 단계이다.


- 치료방법을 선택할 때 도움이 된다.

그렇다면 환자의 입장에서 어떻게 의료진과 치료법을 택할 것인가? 혁신적인 기술에는 항상 리스크가 따른다. 일관성 있는 진짜와 공허한 허세를 구분해야 한다. 쉬운 문제가 아니지만 현재로서 가장 이상에 가까운 선택기준은 '과학적 근거 (evidence)'이다. 아무리 혁신적이고 환상적인 기술이라도 비판적이고 보수적인 잣대로 판단하는 게 좋다. 해당 기술에 관련된 SCI급 논문이 출판되어 있는지 찾아보면 된다. 구글에서 pubmed라고 검색하면 검색엔진이 나온다. 이 사이트에서 해당 수술법을 검색하여 확인해 볼 수 있다. 너무 전문적이어서 어려우면 해당 의사나 지인의사에게 물어봐도 된다. 물론 이 방법도 허점이 많지만 최소한 사기당하는 일은 어느 정도 막을 수 있다. 나와 내 가족의 건강에 관한 문제인데 이 정도의 수고는 각오해야 한다.


- 죽을 때까지 진화하기

나는 죽을 때까지 라는 말을 좋아한다. 죽을 때까지 섹시하기, 죽을 때까지 날씬하기, 죽을 때까지... 등 책 제목으로 쓰인 말들도 많다. 자연은 죽음을 디폴트로 본다. 순리에 따르고 자연스럽게 흘러가는 대로 두면 내 몸과 자연의 경계는 없어지고 내 몸은 죽음과 함께 자연으로 돌아간다. 반대로 삶은 역행이고 본질적으로 부자연스러운 것이다. 자연과 내 몸의 경계릉 끊임없이 유지해야 하는 것이다. 그러니 삶을 유지한다는 것은 어느 정도 억지스러운 일이다. 미래를 생각해 본다. 죽기 직전까지 나중에 커서 뭐 되지 하면서 끊임없이 전진하겠지. 기술의 완성이 없듯이 인생의 완결도 없다. 그렇게 나아가다 어느 날 갑자기 멈출 것이다. 그 과정에서 사람들의 안심낙관을 목격하고 희로애락을 겪으면서 나름 행복하게 종지부를 찍을 것이다.


한 줄 요약: 기술의 완성은 없다. 수준이 달라질 뿐이다. 끊임없이 진화하는 의사를 선택하길...

keyword
작가의 이전글보존요법은 언제나 옳다