농구의 승패를 결정짓는 것은?

KT소닉붐 파이팅!

by 꿈꾸는나비

나는 농구를 좋아한다. 농구팀 KT 소닉붐을 응원하고 있는데 이번 시즌엔 예상과 다르게 성적이 저조하다. 대체 무엇이 문제인지 최근 경기를 보면 좀 답답했다. 지난 2주간 브레이크타임으로 경기가 없었는데 이 시간에 KT의 성적저하의 원인을 파악하기 위해 KBL 홈페이지에 등재된 경기기록들을 토대로 KT의 17경기를 분석해 봤다.


KT는 17경기 중 9승 8패를 기록했는데 상자그림을 이용하여 승패에 따른 기록 데이터를 분석했다. 참고로

상자그림(boxplot)은 수치형 데이터 분석 도구로 이용되며 데이터들의 값들을 크기순으로 나열해 봤을 때 50%에 위치하는 값을 중앙값, 25%에 해당하는 값을 Q1, 75%에 해당하는 값을 Q3라고 하며 Q3-Q1이 상자의 크기를 결정한다. 상자의 길이가 짧을 때는 해당 지표의 기록이 일관적이라는 뜻이고 길이가 길면 해당 지표의 기록의 변동성이 크다는 것을 의미한다. 따라서 중앙값과 상자의 길이를 비교해 데이터의 분포를 확인해 볼 수 있다.


KT의 경기 기록을 크게 슈팅효율과 수비, 조직력, 공수 효율성으로 나누어 봤다. 우선 슈팅 효율을 보면 2점 성공률은 승패에 상관없이 비슷한데 3점 슛 성공률에서 큰 차이를 보이고 있다. 승리했던 경기에서는 3점 슛이 30% 정도의 중간값을 갖고 박스길이가 작은 반면 패했던 경기에서는 중간값이 25% 정도이며 박스의 길이가 길어 변동이 큰 것을 알 수 있다. 또한 자유투 성공률은 오히려 승리했던 경기에서 변동성이 컸던 반면 패했던 경기에서 고르게 높게 나오고 있는데 이는 승리했던 경기에서는 자유투의 영향도가 크지 않았지만 패한 경기에서는 흐름을 뺏기고 오히려 파울을 유도한 결과가 아닐까 추측해 볼 수 있다.


두 번째로 수비활동량을 보면 스틸을 제외한 리바운드, 블록샷, 세컨드찬스득점이 승리한 경기에서 우월하다는 것을 알 수 있는데 이는 KT의 경기에서 수비의 견고함의 여부가 승패를 가르는 중요한 요소라고 볼 수 있다. 특히 KT의 경우 수비가 강점인 팀인데 수비 리바운드가 공격권을 가져와 찬스로 이어진 경우가 많다는 반증이기도 하다.


Rplot03.jpeg

세 번째는 조직력 관련하여 어시스트와 턴오버를 비교해 봤는데 승리했던 경기에 비해 패한 경기에서 턴오버가 확연히 많은 것을 볼 수 있다. 그만큼 패한 경기에서는 집중력이 떨어지고 상대의 압박에 대한 대처가 미흡했던 게 아닐까 생각한다.


Rplot04.jpeg

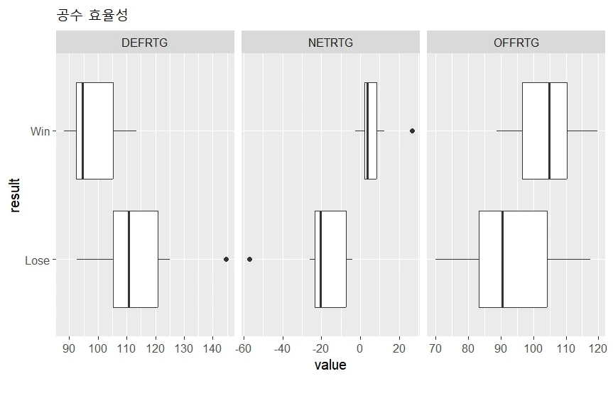
마지막으로는 경기기록에서 파생된 공수효율 결과이다. 순 공격효율은 공격효율에서 수비 효율울 뺀 값인데 포제션당 득실점 마진을 나타낸다.

NETRTG(순 공격 효율) = OFFRTG(공격 효율) -DEFRTG(수비 효율)

NETRTG값이 양수이면 팀/선수가 상대방보다 효율적으로 경기를 운영했음을 의미하며, 음수인 경우는 상대방에게 효율성에서 뒤처졌음을 의미합니다. 승리했을 때 NETRTG값을 보면 모두 양수이며 공격효율은 높고 수비효율은 낮은데 이는 그만큼 좋은 공격력에 수비력을 보여줬다는 의미로 해석될 수 있다.


지난 17경기를 분석해 본 결과 KT의 가장 큰 문제점은 3점 슛 성공률 저하와 수비력에 있었다고 판단된다. 3점이 제대로 들어가 공격력을 높이고 수비가 이루어진다면 지금의 분위기를 끊어낼 수 있으리라. 당연한 결과이지만 최근 경기들을 보면 무엇보다 선수들의 조직력이 좀 더 탄탄해야겠다는 생각이 든다. 새로운 루키들도 들어오고 국대선수들도 복귀하여 다시 팀을 정비하고 조직력부터 신경 쓴다면 앞으로 3라운드부터는 좀 더 나은 경기를 하지 않을까. 오늘도 KT의 경기가 있는데 이렇게나마 팬으로서 응원해 본다.

제발 3점 성공률 30% 이상에 수비만 잘해주세요! 제발~!!


*데이터 출처 : KBL홈페이지 내 경기기록

*사용한 프로그램 : R