시장 미시구조와 정보 기반 모형 #4.

by 퀀트대디

시간이 지남에 따라 마켓 메이커가 제시하는 최적의 매수-매도 호가 그리고 이에 따른 스프레드의 수준은 계속 변한다. 앞서 살펴본 바와 같이 마켓 메이커의 최적 호가를 결정하는 결정 인자는 크게 세 가지가 있는데, 그중 마켓 메이커의 증권 가치에 대한 신념은 글로스텐-밀그롬 모형에서 상정하는 유일한 시간 가변적인 변수다. 여기서는 마켓 메이커들이 일련의 주문 흐름을 받아들이는 작업을 통해 그들의 신념을 어떻게 재조정해나가는가를 논의해 보려 한다.


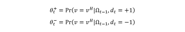
딜러들이 그들의 신념을 어떻게 재조정하는지 알아보기 위해 우선 t 시점에서 주문 흐름에 따라 그들이 증권 가치에 높은 값을 부여할 확률을 다음과 같이 양분하여 생각해 보자. 플러스 부호가 달린 세타는 고객으로부터 매수 주문이 들어온 경우 딜러의 신념을 나타내며, 반대로 마이너스 부호가 달린 세타는 매도 주문이 들어온 경우 딜러의 신념을 나타낸다.

image.png?type=w773 주문 흐름에 따른 마켓 메이커의 신념

이때, 각각의 확률을 실질적인 수식 값으로 계산하기 위해서는 베이즈 정리(Bayes' Rule)를 활용해 위의 표현식을 분해하여 생각할 필요가 있다. 다시 말해, 사건 A를 아무 조건이 없을 때 딜러가 증권이 높은 가치를 가질 것이라 생각하는 이벤트로 정의하고 사건 B를 t 시점에 매수 주문이 들어오는 이벤트로 정의한다면, 매수 주문을 받았다는 조건 하에서 증권 가치가 높을 것이라 생각하는 확률은 다음과 같이 표현할 수 있다.

image.png?type=w773 베이즈 정리를 통해 도출해 낸 결과

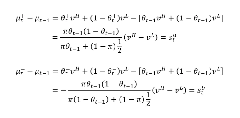
결론적으로 매수 주문을 받았을 때와 매도 주문을 받았을 때 딜러의 신념은 아래와 같이 t-1 시점의 신념으로부터 다시금 재조정된다는 것을 알 수 있다. 또한 매수 주문을 받았을 때의 신념은 t-1 시점의 그것보다 크고, 반대로 매도 주문을 받았을 때의 신념은 이보다 작아진다. 결국 매수 주문은 정보 기반 트레이더들이 호재를 알고 있을 가능성을 시사하므로, 마켓 메이커들은 매수 주문을 받을 때 해당 증권에 대해 보다 더 낙관적으로 변하게 되는 것이다. 매도 주문을 받았을 때는 이와 정반대의 논리가 작동한다.

image.png?type=w773 주문 흐름을 반영해 새롭게 업데이트된 신념

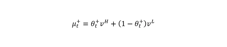
또한 이렇게 주문 흐름에 의해 즉각적으로 업데이트된 신념은 당연하게도 또다시 마켓 메이커의 증권 가치 추정치에 즉각적으로 반영되며 결국 이는 그들이 최적 매수 호가와 매도 호가에도 영향을 미친다. 우리는 이미 아래와 같이 마켓 메이커의 증권 가치 추정치가 그들이 가진 증권 가치에 대한 신념의 함수라는 사실을 알고 있다.

image.png?type=w773 업데이트된 신념에 기반한 새로운 증권 가치 추정치

이에 따라 증권 가치 추정치에 따른 호가 설정은 아래와 같이 일련의 주문 흐름에 따른 재귀적 영향을 받게 된다.

image.png?type=w773 주문 흐름에 따른 증권 가치 추정치의 변화

결론적으로 t 시점의 스프레드 수준은 마켓 메이커의 증권 가치 추정치 변화로 해석될 수 있으며, 글로스텐-밀그롬 모형은 정보 기반 트레이더의 존재로 인해 주문 흐름 자체가 정보의 원천이 된다는 점을 인정한다. 이제 우리가 해야 할 것은 해당 모델을 기반으로 시뮬레이션을 돌려 주문 흐름에 따른 마켓 메이커의 신념 변화가 어떻게 호가 변화로 이어지고 또 그것이 종국적으로 가격 발견으로까지 이어지는가를 알아보는 것이다.




매거진의 이전글시장 미시구조와 정보 기반 모형 #3.