시장 미시구조와 정보 기반 모형 #3.

by 퀀트대디

글로스텐-밀그롬 모형이 어떻게 매수-매도 스프레드의 존재를 정당화하는지 살펴보았다. 이제 본격적으로 해당 모형에 기반한 최적의 매수, 매도 호가를 계산해 보도록 하자. 우선은 최적 매도 호가다. 최적 매도 호가를 계산할 수 있다면 대칭적 구조를 가지기 때문에 자연스럽게 최적 매수 호가 또한 계산할 수 있다.


이 모델에서는 위험 중립적인 성향을 지닌 마켓 메이커들이 완전 경쟁 시장을 이루고 있다고 가정하고 있기 때문에, 매도 호가는 딜러들의 기대 이익이 제로가 되는 지점, 즉 정보 기반 트레이더와의 거래에서 발생하는 손실이 유동성 트레이더와의 거래에서 얻는 이익으로 상쇄되는 평균 지점까지 하락하게 된다. 따라서 마켓 메이커는 다음의 두 가지 상황 중 하나에 맞닥뜨릴 수 있다는 것을 고려해야 한다.


1) 마켓 메이커는 정보 기반 트레이더를 만나게 되며 이때 마켓 메이커는 매도 호가와 증권의 높은 가치의 차이만큼 손실을 보게 된다. 정보 기반 트레이더는 증권이 높은 가치를 가질 때에만 매수에 나서기 때문이다. 또한 이때 마켓 메이커는 정보 기반 트레이더가 나타날 사건에 πθt-1만큼의 확률을 부여한다.


2) 마켓 메이커는 유동성 트레이더를 만나게 되며 이때 마켓 메이커는 매도 호가와 딜러 추정치의 차이만큼 이익을 얻게 된다. 유동성 트레이더가 등장한다는 조건에서는 주문 흐름에 어떠한 정보도 담겨있지 않기 때문에 딜러가 생각하는 추정치는 μt-1로 유지된다. 유동성 트레이더로부터 매수 주문을 받게 될 확률은 (1-π)/2다.


위의 케이스를 매도 주문으로까지 확장해 특정 시점에 발생할 수 있는 모든 사건들을 정리해 보면 다음과 같은 확률 테이블을 얻을 수 있다.

image.png?type=w773

또한 위의 확률 테이블을 활용해 우리는 매도 호가에서의 거래로 인해 발생하는 마켓 메이커의 기대 순이익(Expected Net Profit)을 아래와 같이 쓸 수 있다.

image.png?type=w773 t 시점에서 마켓 메이커의 기대 순이익

직관적인 이해를 돕기 위해 마켓 메이커가 사전에 상정하는 높은 가치의 확률을 1/2로 가정한 후 가장 처음 시점의 기대 순이익을 계산해 본다면 우리는 위의 수식을 아래처럼 단순화시킬 수 있다.

image.png?type=w773 초기 시점에서 마켓 메이커의 기대 순이익


만약 위에서 언급한 바와 같이 마켓 메이커들이 완전 경쟁 시장을 이루고 있다면, 매도 호가는 기대 순이익이 0이 되도록 설정될 것이다. 결국 위의 수식을 0으로 만드는 매도 호가는 다음과 같이 계산된다.

image.png?type=w773 초기 최적 매도 호가

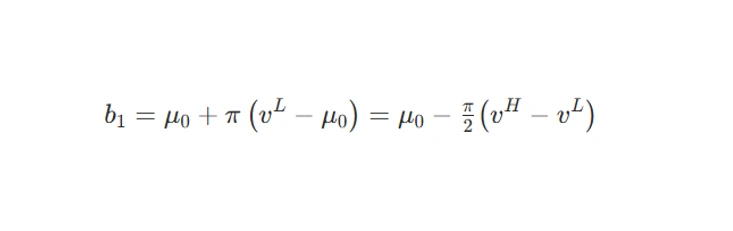
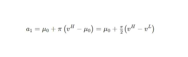
따라서 딜러의 매도 호가는 증권에 대한 초기 추정치에다가 두 번째 항만큼의 프리미엄이 얹어지게 된다. 수식에서 알 수 있듯이 이러한 프리미엄은 정보 기반 트레이더가 존재할 확률이 있고 그들이 증권과 관련된 정보를 알고 있어 높은 가치와 낮은 가치에 차이가 나는 경우에만 발생한다. 이와 대칭적으로 초기 매수 호가 또한 다음과 같이 표현할 수 있다.

image.png?type=w773 초기 최적 매수 호가

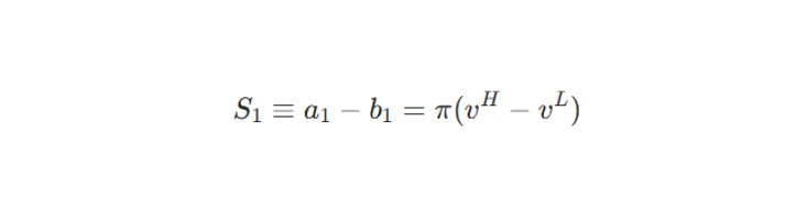
결국 딜러의 첫 번째 호가에서 발생하는 매수-매도 스프레드는 다음과 같다.

image.png?type=w773 초기 매수-매도 스프레드

이러한 결과는 매수-매도 스프레드라는 것이 마켓 메이커들이 정보 기반 트레이더와 거래할 때 발생하는 손실을 보상하기 위해 요구하는 대가임을 명확히 보여준다. 이러한 손실은 흔히 '역선택 비용'이라 불린다. 위의 역선택 비용은 아래 두 가지 요인이 결합된 함수다.


1) 시장에 존재하는 정보 기반 트레이더의 비율

정보 기반 트레이더가 내는 주문이 많을수록 딜러의 손실 위험이 커지며, 이에 따라 유동성 공급에 대한 보상 요구도 증가한다. 이는 정보 비대칭이 어떻게 유동성 부족을 초래하는지 보여주며, 내부자 거래 금지 및 공시 의무와 같은 정보 비대칭을 줄이기 위한 정책의 필요성을 시사한다.


2) 증권의 높은 가치와 낮은 가치의 차이로 측정되는 증권 가치의 변동성

증권이 가질 수 있는 가치의 범위 즉, 높은 가치와 낮은 가치의 차이가 클수록 정보 기반 트레이더와 거래하는 마켓 메이커가 입을 수 있는 손실은 커진다. 따라서 변동성이 증가할수록 마켓 메이커들은 더 많은 보상 즉, 더 넓은 매수-매도 스프레드를 설정한다. 실제로 스톨(Stoll, 2000)이 저술한 『Friction』이라는 논문에 따르면 다른 조건이 동일할 경우, 변동성이 높은 증권일수록 스프레드가 더 벌어지는 경향이 있다고 한다.


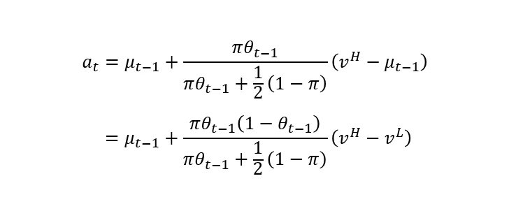
위의 논리를 이제 재귀적으로 확장해 적용하면, 주문 흐름을 반영해 수정한 증권 가치 추정치를 기반으로 t 시점에서의 매수-매도 호가를 도출해낼 수 있다. 특정 시점에 증권이 높은 가치를 지닐 것이라는 확률은 이제 더 이상 1/2이 아니라 θt-1일 것이다. 마켓 메이커의 기대 순이익을 계산하는 일반 식으로 돌아가 이를 0이 되게 하는 t 시점에서의 매도 호가 at를 계산하면 다음과 같은 결과를 얻게 된다.

image.png?type=w773 t 시점에서의 최적 매도 호가

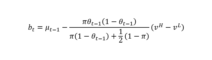
따라서 마켓 메이커는 언제나 그들의 매도 호가를 증권 가치 추정치보다 높게 설정한다. 위의 첫 번째 수식에서 볼 수 있듯이 매도 호가와 증권 추정치 간의 차이는 상대방이 매수 주문이라는 조건 하에 정보 기반 트레이더로부터 주문을 받을 확률에 비례하게 된다. 마찬가지 논리를 적용하면 아래와 같이 최적 매수 호가 bt 또한 유도할 수 있다.

image.png?type=w773 t 시점에서의 최적 매수 호가

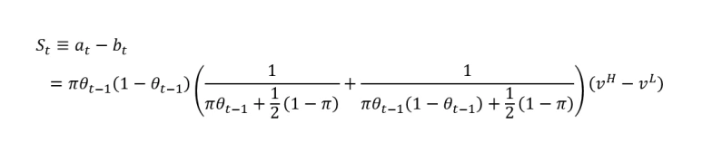
최적 매도 호가와 매수 호가를 계산한 두 결과를 통해 우리는 글로스텐-밀그롬 모형이 제시하는 t 시점에서의 매수-매도 스프레드 값을 최종적으로 얻을 수 있다.

image.png?type=w773 t 시점에서의 매수-매도 스프레드


앞에서 언급한 바와 같이 여기서도 매수-매도 스프레드는 정보 기반 트레이더의 비율 및 증권 가치의 변동성이 증가함에 따라 커진다. 더불어 위의 수식에서는 역선택 비용에 영향을 미치는 세 번째 결정 요인 또한 찾아볼 수 있는데, 그것은 바로 마켓 메이커의 증권 가치에 대한 믿음(θt-1)이다. 처음 두 요인과 다르게 이 결정 요인은 시간 가변적이다. 이는 마켓 메이커가 시간이 지남에 따라 그들의 가치 추정을 계속해서 재조정함을 뜻한다. 매수-매도 스프레드는 이 값이 0.5가 될 때 최대가 되며, 1 또는 0으로 갈수록 0으로 수렴한다. 이는 정보 엔트로피(Information Entropy) 이론과도 일맥상통한데, 시장 방향에 대한 불확실성이 높을수록 마켓 메이커는 딜링에 대한 위험 부담을 더 크게 느끼기 때문에 스프레드를 더 벌리게 되는 것이다. 이는 주요 경제지표 및 기업 실적 발표 같은 중요한 정보 공개 이전에 매수-매도 스프레드가 종종 확대되는 양상을 보이는 이유이며, 시장이 막 개장했을 때 스프레드가 장중보다 더 큰 경향성을 보이는 것 또한 마찬가지 논리다.

매거진의 이전글시장 미시구조와 정보 기반 모형 #2.