‘어물쩡’의 기원? 언어학, 연어와 통계

'어물쩍'과 ‘넘어가다/넘기다’의 공기 빈도

by 사오 김 Sao Kim

'어물쩍'의 비표준형으로 '어물쩡'이 있다.

'어물쩍'의 뒤에는 동사 어근 '넘-'이 꽤 자주 등장하는 듯 보인다.

너무 자주 등장해서 '어물쩍'의 마지막 자음 /ㄱ/이 '넘-'의 첫 자음 /ㄴ/에 의해 /ㅇ/으로 비음 동화되는 일이 그만큼 자주 일어나다 보니,

결국 비음 동화가 일어나지 않을 환경에까지 일반화되어 '어물쩡'이라는 어형이 만들어진 것 아닐까 하는 생각이 든다.


그런 의혹을 검증해 보기 위해, 지난번에 '곧이곧대로'와 '믿(다)'의 연어 분석에서 사용했던 9,942,848어절의 세종코퍼스 자료를 가지고 이번에는 '어물쩍'과 '넘기(다)', '넘어가(다)'의 연어 관계를 계산해 보겠다.

(‘곧이곧대로’와 ‘믿다’의 연어는 아래 글 참고)

(물론 연어 관계가 확인된다고 해도 '어물쩡'의 어원이 확정적으로 증명되는 것은 아니다. 그리고 나는 '어물쩡'과 관련된 다른 데이터도 전혀 알지 못하는데, 만약 다른 데이터를 고려하면 전혀 다른 결론이 나올 수도 있을 것이다.)


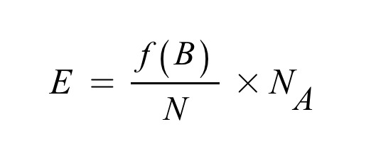
위 글에서 소개했던 기대 빈도 계산 수식은 아래와 같다. (고려대 강범모 교수님의 <언어, 컴퓨터, 코퍼스 언어학> 참조)

기대 빈도 계산 수식

- E 값은 '넘기(다)'나 '넘어가(다)'가 '어물쩍'과 연어 관계가 전혀 없다고 가정했을 때 '어물쩍'의 뒷자리에서 '넘기(다)'나 '넘어가(다)'가 출현할 것으로 기대되는 빈도값이다.(Expected frequency)


- f(B) 는 '넘기(다)'나 '넘어가(다)'가 코퍼스 전체에서 실제로 출현하는 빈도이다.

+ 전에 사용했던 이 코드에 '넘기/VV'를 넣고 엑셀의 '모두 찾기'를 통해 확인한 결과 '넘기(다)'는 약 9백만 어절 중에 총 1,396번 출현했다.

+ '넘어가/VV'를 넣어서 같은 방법으로 확인해 보니 '넘어가(다)'는 총 1,173번 출현했다.


- N 은 코퍼스 전체의 어절 수 9,942,848이다.


- N_A 는 '어물쩍'의 출현 빈도이다. '어물쩍'은 코퍼스 전체에서 총 16회 출현했다. 참고로 '어물쩡'은 6회 출현했다. (원래의 N_A 개념은 좀 다르지만 여기서는 결과적으로 '어물쩍'의 출현 빈도와 같다. 자세히는 이 글 참조)



- '넘기(다)'가 '어물쩍'과 아무런 연어 관계가 없다고 가정할 경우, 우리는 '어물쩍'의 바로 뒤에서 '넘기(다)'를 약 0.0022464...회 관찰할 것으로 기대할 수 있다. (1,396 / 9,942,848 * 16)


- '넘어가(다)'가 '어물쩍'과 아무런 연어 관계가 없다고 가정할 경우, '어물쩍'의 바로 뒤에서 '넘어가(다)'는 약 0.0018875...회 출현할 것으로 기대된다. (1,173 / 9,942,848 * 16)



그런데 세종코퍼스에서 '어물쩍'이 등장한 문장 16개를 모두 확인한 결과,

- '어물쩍'의 바로 뒤에 '넘기(다)'가 등장한 횟수는 총 3회였으며,

- '어물쩍'의 바로 뒤에 '넘어가(다)'가 등장한 횟수는 무려 5회였다.

(이렇게 실제로 관찰된 빈도값 Observed frequency를 보통 O로 나타낸다.)


'넘기(다)'의 관찰 빈도는 기대 빈도보다 약 1,335배 크고,

'넘어가(다)'의 관찰 빈도는 기대 빈도보다 약 2,649배 크다.

('어물쩍'의 출현 빈도가 워낙 작다 보니 부풀려진 면이 있겠지만)


'어물쩍'의 바로 뒷자리에 등장한 다른 요소들로는

- 동사 파생 접미사 '-거리(다)' (총 3회)

- 피하(다) '어물쩍 피해 버린다' (총 1회)

- 비키(다) '어물쩍 비켜 서고 말았다' (총 1회)

- 풀어주(다) '어물쩍 풀어주는 관행' (총 1회)

- 꽁무니를 '어물쩍 꽁무니를 빼는' (총 1회)

- 주저앉(다) '어물쩍 주저앉아버린' (총 1회)

가 있었다.


그러니까 총 16회의 '어물쩍' 중에서 바로 뒤에 '넘-'이 등장한 경우가 총 8회로 무려 절반을 차지한 것이다.


한편 '어물쩡'에 대해서도 비슷했다.

총 6회 등장한 '어물쩡' 중에

'어물쩡 넘어가(다)'는 총 3회, '어물쩡 넘기(다)'는 총 1회 출현하여

'넘-'을 뒤에 달고 나온 '어물쩡'이 총 4개였다.

(위의 계산에서는 '어물쩡'을 넣지 않았지만, 만약 넣었다면 연어 관계가 더 강하게 계산되었을 것이다.)


나머지 2회는 형용사파생접미사 '-하(다)' ('어물쩡한 재산 공개 방식'), 동사파생접미사 '-대(다)' ('주변에 어물쩡대는 형사들')이었다.



이제 z-값, I-값, t-값 등 연어에 관련된 다양한 통계값을 활용해 볼 수도 있겠지만, '어물쩍(~어물쩡)'과 '넘기다', '넘어가다'는 그런 작업이 무의미해 보일 정도로 확연한 연어 관계인 것 같다.


참고삼아 전에 다루었던 개념을 한 번 더 소개해 둔다.

(1) z-스코어: (O-E)를 표준편차로 나누기 (같은 차이값이라도 편차가 작은 분포에서 나타나는 차이가 더 유의미함)

(2) I-값: O/E에 밑이 2인 로그 씌우기 (O가 E의 몇 배인지를 직접 계산하여 밑이 2인 로그 값으로 표현)

(3) t-스코어: (O-E)를 O의 제곱근으로 나누기 (저빈도 단어가 과대대표되는 것을 방지)


(자세한 설명은 아래 글과 강범모 교수님의 책 <언어, 컴퓨터, 코퍼스 언어학>을 참고)

https://blog.naver.com/ks1127zzang/222842167040

https://blog.naver.com/ks1127zzang/222834572569

+ 음성상징을 연구하시는 언어학자 분이 '어물쩍'과 '어물쩡' 사이에 '덜컥~덜컹, 찰칵~찰캉, 퍽~펑, 들썩~들썽, 슉슉~슝슝' 등에서 보이는 것과 유사한 관계가 있을 수 있다는 의견을 주셨다. 파열음 종성은 짧은 시간이나 지속되지 않는 모양, 비음 종성은 긴 시간이나 지속되는 모양과 관련한 표현에 쓰이는 경향성이 있는 듯하다.


++ 적어도 '어물쩡대다'의 경우는 '얼쩡대다'와 연관이 있을 수 있어 보인다. 코퍼스에 등장한 '어물쩡대다'의 용법이 '얼쩡대다'와 비슷해 보였다.


뭐든 그렇지만 어떤 언어현상이 일어나는 데에는 여러가지의 동기가 함께 작용할 수 있는 듯.



+++ ‘될락 말락 하다’ 등에서 쓰이는 '-락'을 '-랑'으로 생각하고 쓰는 사람이 많은 것도 비슷한 이유가 아닐까 싶다.

나도 어딘가에서 규범 교육을 받기 전까지는 '-랑말랑'처럼 생각하고 썼던 것 같다.


표준국어대사전에는 '자락 깨락'이나 '쓰락 지우락'같은 예문이 실려 있는데

나한테는 '집안일은 하였자 티가 안 난다'만큼 어색하다.

keyword
매거진의 이전글between you and I의 과도교정과 ‘설명’