brunch

[ABP: 피타고리안 승률의 원리]

팀 승률을 통계적으로 예측할 수 있을까?

by 권석준 Seok Joon Kwon

이제는 현대 야구 통계학을 이해하는데 있어 빼놓을 수 없는 세이버메트릭스 (sabermetrics)의 아버지라고도 불리는 빌 제임스 (George William James)는 다양한 통계 지표를 창안하여 보급한 인물로도 유명합니다. 사실 세이버의 saber는 기실 그 어원이 Society for American Baseball Research (SABR)에서 유래한 것으로서, 메이저리그 야구의 다양한 통계치를 분석하여 야구 선수나 팀의 성적을 분석하려는 움직임에서 시작한 것이기도 합니다.


빌 제임스가 창안한 통계 지표 중 하나로서 피타고리안 승률 (Pythagoream winning percentage)라는 것이 있습니다. 이름에서 볼 수 있듯, 이 지표는 마치 직각삼각형에 대한 피타고라스의 정리처럼, 어떤 야구팀의 승률 (승리할 확률, 혹은 총 게임 수에서 승리한 게임의 비율)이 그 팀이 득점한 점수 (이를 run scored (RS)라고 표시)와 실점한 점수 (이를 run allowed (RA)라고 표시)의 제곱값의 관계식으로 표현될 수 있다는 것에 착안한 지표입니다. 예를 들어 어떤 야구팀이 1년에 100게임을 치렀고, 그 동안 얻은 총 점수는 RS, 잃은 총 점수가 RA라고 했을 때, 이 팀의 기대 승률 P는


P = RS^2/(RS^2 + RA^2)


로 표현됩니다. 예를 들어 RS가 100점이었고, RA도 100점이었다면 P = 1/2 이 되니까 이 팀은 100게임 중 50게임을 이길 것이라고 '기대'됩니다.


image (1).png 그림 1. 2014년 시즌 메이저리그 각 팀의 피타고라스 승률과 실제 승률의 비교 (출처: https://winningwithanalytics.com/)


빌 제임스가 이러한 공식을 제안했을 당시에는 그는 이 공식에 대한 증명을 한 것은 아니었습니다. 그냥 오랜 관찰 데이터를 통해 유추한 경험 공식에 가깝다고 보는 것이 맞을 것입니다. 그럼에도 불구하고 이 지표는 생각보다 각 팀의 승률을 잘 설명하는 지표라는 것이 드러났습니다. 오죽했으면 이 지표를 활용하여 어떤 팀이 과도한 승리를 거두고 있는지, 혹은 불운하게 승리를 못 거두고 있는지도 판별할 수 있다고 믿게 될 정도였습니다. 예를 들어 어떤 팀의 RS가 200점이고, RA가 100점이라면 이 팀의 승률은 P = 4/5가 될 것입니다. 100게임을 치렀다면 80승을 거둘 것이라고 기대되는 것이죠. (사실 이 정도 승률은 메이저리그 역사를 통틀어서도 한 번도 안 나온 승률입니다. 메이저리그 역사에서 최고 승률은 1927년 뉴욕 양키즈가 기록한 110승 44패 (P = 0.714)입니다.) 그런데 만약 이 팀의 실제 성적이 70승 30패였다면, 이 팀은 원래 실력에 비해 10승을 손해 봤다고 볼 수도 있는 것이 됩니다. 반대의 경우도 마찬가지입니다. 어떤 팀의 피타고리안 승률이 0.6인데 실제 승리는 70승을 했다면 이 팀은 10승이나 원래 실력에 비해 더 거둔 셈으로 해석할 수 있습니다.


흥미로운 지점은 이러한 피타고리안 승률이 정규 시즌 종료 후, 각 팀의 성적을 평가하는 과정에서만 쓰이는 것이 아니라 시즌이 한창 진행되는 와중에도 쓰일 수 있다는 것입니다. 예를 들어 시즌이 50게임 정도 진행된 상황에서 그 시점까지의 어떤 팀의 피타고리안 승률이 0.6인데 실제로는 35승 정도 거두고 있다면 5승을 더 거둔셈이므로, 이 팀은 후반기 50게임에서는 오히려 5승을 손해볼 가능성이 높다는 것을 의미하기도 합니다. 즉, 평균으로 회귀할 것이라는 추정의 근거가 되기도 하는 것이죠. 그림 1은 2014년 시즌, 미국 메이저리그 야구팀들의 실제 승률과 피타고라스 승률을 비교한 결과인데, 팀별로 두 승률 사이에 다소간의 편차가 존재함을 알 수 있습니다.


피타고리안 승률 공식은 처음 제시된 이후, 여러 시즌, 여러 팀에 대해 누적된 승률 데이터를 비교적 잘 설명하는 지표로 여겨졌습니다. 그렇지만 앞서 언급했듯, 빌 제임스는 이 공식을 수학적으로 엄밀하게 증명한 것은 아니었습니다. 피타고라스 정리와 비슷하다고 해서 그 공식의 수학적 의미가 자동적으로 증명되는 것은 아니었기 때문입니다. 이에 대해 2006년 Williams College의 수학과 교수인 스티브 밀러 (Steven J. Miller)는 각 팀의 득점 (즉, 동시에 실점이기도 한) 확률이 Weibull 분포를 따르는 것으로 모사될 수 있다는 것에 착안하여, 빌 제임스의 피타고라스 승률 공식을 증명하려는 시도를 했습니다.*

*"A Derivation of the Pythagorean Won-Loss Formula in Baseball". Chance. 20: 40–48.

doi:10.1080/09332480.2007.10722831.


밀러 교수가 사용한 방법은 이렇습니다. 어떤 팀이 x만큼의 점수를 득점할 확률밀도함수 (probability density function (PDF)) f(x)는


image (2).png 그림 2. Weibull 분포에 근거한 각 팀의 득점 및 실점 확률밀도함수 (출처: 권석준)


그림 2. Weibull 분포에 근거한 각 팀의 득점 및 실점 확률밀도함수 (출처: 권석준)같이 표현될 수 있습니다. 그 팀이 실점할 확률은 상대팀이 득점할 확률과 같으므로, 그 팀의 실점 확률밀도함수도 동일한 함수 형태로 표현될 수 있습니다. Weibull 분포에서 분포의 형태를 결정 짓는 것은 lambda (scale)과 k (shape)입니다.


정말 각 야구팀들의 득점 혹은 실점 확률은 Weibull 분포를 따를까요? Weibull 분포는 그림 3에 표현한 것 같은 확률밀도함수를 갖습니다.


image (3).png 그림 3. Weibull 분포 확률밀도함수 (출처: 권석준)


image (4).png 그림 4. 2014-2018 시즌, 한국프로야구 (KBO) 각 팀의 게임 당 득점 분포 (출처: KBO)


image (5).png 그림 5. 2014 시즌, 메이저리그 각 팀의 게임 당 득점 분포 (출처: MLB.com)


image (6).png 그림 6. Weibull 분포의 평균과 분산 (출처: 권석준)


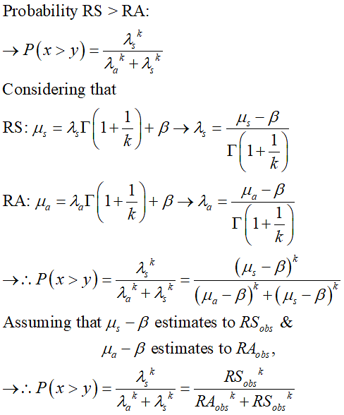
그림 4와 5에 보인 것 같이, 각 팀의 득점 분포도는 Weibull 분포로 잘 설명될 수 있습니다. 이를 바탕으로 밀러 교수는 Weibull 분포의 평균이 그림 6에 유도한 것과 같음을 이용하여, 두 팀의 승률을 설명하는 공식을 만들었습니다. 그림 7에 보인 것 같이, 어떤 팀의 득점 점수가 실점 점수를 앞설 확률은 득점 분포와 실점 분포를 설명하는 Weibull 분포의 scale 값들의 멱함수 비율로 설명될 수 있는 것으로 나옵니다.


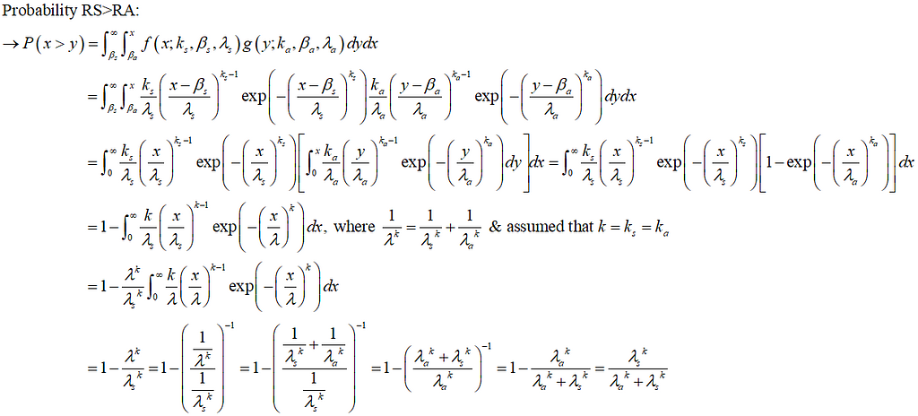
image (7).png 그림 7. Weibull 분포에 따른 득점 > 실점의 확률 계산 과정 (출처: 권석준)


이 공식은 한 게임을 치렀을 때, 그 게임에서 득점이 실점보다 높을 확률을 계산하는 공식입니다. 그렇지만 이 공식은 여러 게임으로도 확장될 수 있습니다. 즉, 이 공식을 이용하여 어떤 팀이 여러 게임을 치렀을 때 그 게임의 평균 득점 점수가 평균 실점 점수보다 높을 확률을 계산할 수 있는 것입니다. 이 과정을 그림 8에 설명했습니다.


image (8).png 그림 8. 피타고라스 승률 공식 유도 과정 (출처: 권석준)


신기하게도 그림 8에서 보인 것 같이 최종적으로 유도된 승률 공식은 빌 제임스가 제시한 피타고라스 승률 공식과 매우 비슷합니다. 다만 밀러 교수가 유도한 공식은 조금 더 일반적인 형태를 가지고 있습니다. 일반적인 피타고라스 승률 공식은 득점과 실점에 붙는 지수가 2이지만, 유도된 공식의 지수는 k이기 때문입니다.


밀러 교수는 주어진 경기 데이터를 이용하여 메이저리그 피타고라스 승률 공식에 해당하는 k값을 찾아 보려 했습니다. 통계적 분석을 통해 그는 k값이 1.74 (최빈값 기준), 1.79 (least square 기준) 사이에 있을 것임을 추정했습니다. 흥미롭게도 이는 수치적인 방법을 동원하여 이전에 추정된 지수값인 1.82에 근접하는 값이기도 했습니다.


여기까지 오면 야구에서 피타고라스 승률 공식이 제법 잘 먹히는 것 같다는 생각을 할 수 있을 것입니다. 그렇다른 다른 스포츠는 어떨까요? 밀러 교수의 연구가 나온 이후, 다양한 점수제 스포츠에 대한 분석이 이뤄졌습니다. 일반적인 피타고라스 승률 공식을 가정하여 각 팀의 득점/실점 데이터에 기초하여 연구자들은 피타고라스 승률에 해당하는 지수값을 찾아냈는데, 예를 들어 NFL (미국풋볼리그)에서는 k = 2.37, NHL (북미아이스하키리그)에서는 k = 2.1-2.4, NBA (북미프로농구리그)에서는 k = 13.9-16.5, 크리켓에서는 k = 7.41, 영국프로럭비에서는 k = 2.31, EPL (잉글랜드프리미어리그)에서는 k = 1.3으로 나타났습니다.


스포츠 종류나 방식에 상관 없이, 점수제로 승부가 가려지는 종목이라면 신기하게도 피타고라스 승률 공식이 제법 잘 먹히는 것 같습니다. 흥미롭게도 각 스포츠의 특성은 피타고라스 승률에서 득점/실점의 멱함수 특징을 결정짓는 지수값인 k값에 따라 달라지는 것으로 관찰됩니다. 그렇다면 이러한 지수값이 의미하는 것은 무엇일까요?

image (9).png 그림 9. 피타고라스 승률과 득점/실점 비율 사이의 함수 관계 (출처: 권석준)


피타고라스 승률 공식을 잘 살펴보면 실점 대비 득점의 비율이 1보다 작을 때는 로 근접할수록 승률이 급격하게 증가하지만, 1을 넘어가는 순간부터 승률이 증가하는 속도가 감소하여 1로 수렴합니다. 그림 9에 보인 것처럼, k값이 10을 넘어가면 거의 계단함수 같이 급격하게 변하는 양상을 확인할 수 있습니다. 실제로 관측된 값을 따져 본다면, NBA 같은 종목에서는 k값이 15 내외로 나타나는데, 이는 득점이 실점보다 조금이라도 높아지면 승률이 확 올라감을 의미합니다. k값이 가장 작은 종목은 EPL로서 k = 1.3 인데, 이 정도 지수를 갖는 경우라면 득점이 실점보다 많아진다고 해서 승률이 금방 상승하지는 않습니다.


왜 종목별로 이러한 지수 차이가 나타나는 것일까요? 잘 살펴 보면 점수가 많이 나는 종목일수록 k값이 커지는 경향이 보입니다. 물론 NFL 같은 경우 겉으로 나는 점수에 비해, 실제 득점/실점은 훨씬 적은데 (예를 들어 터치다운 한 번에 7점), 이를 감안하면 NFL의 k값은 납득이 됩니다. 즉, 단위 플레이 당 점수만 놓고 봤을 때, 점수가 많이 나는 종목일수록 k값은 커지게 될 것임을 의미합니다. 종목들간의 k값을 비교해 보면 어떤 종목들이 실점 대비 득점의 중요도가 더 큰 지도 알 수 있습니다. 농구 같은 경우는 초박빙 승부에서 승부가 갈리는 경우가 많은 것도 알 수 있습니다.


피타고라스 승률 공식이 여러 점수제 스포츠의 승률을 추정하는 좋은 접근법이긴 하지만, 반드시 그것만이 진리라고 단정짓는 것은 무리입니다. 예를 들어 승률 공식은 2차함수로도 표현될 수 있습니다.


image (10).png 그림 10. 2차함수로 표현된 승률 공식 (출처: J. Lee, J. Kor. Data & Infor. Sci. Soc. (27, 1585 (2016))


2차함수로 표현된 공식은 피타고라스 승률 공식과 거의 비슷한 통계적 정확도를 가지고 있는데, 예를 들어 피타고라스 승률 공식의 RMSE (root-mean square error)값이 2.835 정도일 때, 2차함수 공식의 RSME는 2.851 정도로 나타납니다. 즉, 두 공식은 거의 비슷한 정확도로 주어진 승률 데이터를 설명한다고도 볼 수 있습니다. 그럼에도 불구하고 피타고라스 승률 공식은 여전히 점수제 스포츠의 승률 공식을 설명하는데 있어 정말 요긴한 아이디어를 제공하는 것에는 변함이 없습니다.


빌 제임스가 처음 창안한 이후, 피타고라스 승률 공식은 여전히 많은 프로 스포츠의 전략에 기초 자료로 활용되고 있습니다. 앞서 언급한 것처럼 실제 승률이 피타고라스 승률과 얼마나 차이나는지를 분석하여 전력을 더 보강해야 할지, 아니면 후반기 선수단 구성을 어떻게 가져갈지, 혹은 전략을 바꿀지 여부를 조정할 수 있는 신호를 주는 셈이죠. 구단마다 이 신호를 얼마나 진지하게 받아들이느냐는 다르겠습니다만, 결국 평균으로의 회귀를 떠올린다면 피타고라스 승률은 일종의 가이드라인이 될 수 있고, 이를 통해 우연과 실력을 조금이라도 더 뚜렷하게 구분할 수 있는 지점이 될 수 있을 것이라 생각합니다.

keyword
작가의 이전글[ABP: 나무에서 반도체를 만들 수 있을까?]