수학이 돈이 됩니까? (1)

등차수열의 합공식을 부동산 임대로 접근해 보기

by 아빠를 공부하자

돈이 자라는 두 가지 엔진, 덧셈(+)과 곱셈(*)


자산이 불어나는 원리는 생각보다 단순하다.

새로운 돈을 더하는 덧셈(+)과 기존 돈이 일정 비율만큼 불어나는 곱셈(*), 이 두 가지가 전부다.


우리는 금융상품을 볼 때 “한정판매 연 X.XX%” “기간 한정 연 Y.YY%”와 같은 광고 문구를 자주 접한다. 하지만 실제로 이자가 어떻게 계산되는지, 또 정기적금처럼 시점별 예치금이 다른 경우에는 어떤 방식으로 정확한 수익을 따질 수 있는지 이해한다면 훨씬 계획적인 금융상품 검토와 자산 관리가 가능하다.


그 시작으로 단리부터 살펴보자.


단리는 등차수열


단리의 특징은 간단하다. 원금에만 이자가 붙는다. 그리고 이자율이 일정하다면 매년 발생하는 이자 금액도 동일하다.


대표적인 예가 바로 채권이고, 또 우리가 일상에서 쉽게 접하는 주택 월세 역시 단리 개념으로 이해할 수 있다.

ChatGPT Image 2025년 8월 15일 오전 02_35_43.png 채권과 부동산임대 등 큰 투자라고 생각되는 곳에 단리가 많이 적용된다

예를 들어 보자. 내가 3억 원에 주택을 매입하고, 임차인에게 매달 100만 원의 월세를 받는다고 하자. 그렇다면 연간 수익은 1,200만 원이고, 이는 원금 대비 약 4.0%의 수익률이 된다.

월세이율.jpg 월세 이율 계산

위 예시에서 (A)/(C)를 해본다면 25가 되는데, 월세를 변동하지 않는 가정하에, 내가 구입한 주택의 구매가를 월세수익으로 충당하는데 25년이 걸린다는 계산이 된다.


등차수열과 단리계산


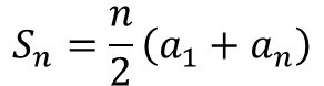
고등학교 수학 과정에서 배우는 등차수열의 합 공식은 바로 이런 상황에 응용할 수 있다.
등차수열은 각 항이 일정한 차이(공차)를 두고 나열된 수열이다.

공식은 다음과 같다.

등차수열공식.jpg 등차수열 합 공식

Sn은 초항부터 n항까지의 합

a1은 초항의 값, an은 n항의 값을 의미한다.


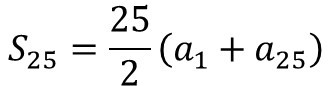
위에 예시를 들었던 월세수익으로 주택구매가를 충당하는 기간이 25년이라고 했던 것을 응용해서, 25년까지의 월세수익 합을 계산해 보자.

25대입.jpg

첫해의 수익이 1,200만 원이었고, 25년 차 되는 해의 수익도 1,200만 원이면, 아래와 같이 수식을 적용할 수 있겠다.

1200만원.jpg 수식도 세워보고
3천만원.jpg 엑셀로도 해보자

이 등차수열의 합을 적용하니까, 이 계산은 굳이 왜 이렇게 복잡하게 해? 그냥 25 곱하기 1,200만 원을 하면 되는 것을 이라고 생각할 수 있겠다.


공차가 0인 등차수열이어서 그렇다.


공차란 등차수열 내에서 첫째항과 그다음 차항의 차이를 공차라고 한다.

위 예시에서는 첫해 월세도 월 100만 원이어서 연 1,200만 원이었고, 둘째 해 월세도 100만 원이어서, 연 1,200만 원이었기에, 첫째 항도 1,200만 원, 둘째 항도 1,200만 원. 공차가 0인 등차수열이었다.


매년 월세를 인상한다면?


그렇다면 조금 스토리를 바꿔보자.

ChatGPT Image 2025년 8월 15일 오전 03_16_24.png 난 언제쯤 월세 올리는 행위를 해볼 수 있을까

내가 매년 월세를 10만 원씩 인상하기로 했다고 하자. 그렇다면 첫해의 월세수익은 1,200만 원이 되고, 둘째 해의 월세수익은 1,320만 원이 된다. 공차가 120만 원이 생기는 것이다.


엑셀로 계산이야 첫째 해에서, 둘째 해에 되는 셀에 +1,200,000을 하고 그것을 25년 차까지 쭉~ 긁으면 되고, 그 나온 값들의 합으로 손쉽게 구할 수 있다.


등차수열 합의 원리


등차수열 합 공식은 단순히 암기하는 공식이 아니다. 그 안에는 흥미로운 논리가 숨어 있다.


첫째 항과 마지막 항의 합은, 둘째 항과 끝에서 두 번째 항의 합과 같다.
예컨대, 1년 차 수익과 25년 차 수익을 더한 값은, 2년 차와 24년 차 수익을 더한 값과 같다.
이렇게 항들을 짝지어 보면 항상 동일한 합이 나오고, 결국 “평균값 × 항의 개수”라는 구조가 만들어진다.

이 원리가 바로 등차수열 합 공식이다.


아래 엑셀 캡처에서 좌측 표는 각 연차별 연수익의 표다.


중간 표는 1년 차 월세수익과 25년 차의 월세수익의 합이 2년 차 월세수익과 24년 차 월세수익의 합이 같다는 것을 보여주기 위해 만든 표다.

이렇게 같은 합이 나오는 것끼리 짝지를 계속 지어주는 논리가 등차수열 합공식의 논리이다.


해서 우측의 표는 이 2개년의 합의 평균을 보여주고 이 평균은 모두 같다는 것을 보여준다.

시나리오3.jpg

이렇게 훑어보고 나면 아래 다시 붙여본 등차수열 합공식에 대한 개념이 잡히지 않을까 짐작해 본다.

등차수열공식.jpg 등차수열 합 공식

채권, 월세 같은 투자에서는 단리 구조가 적용된다.
특히 임대료처럼 일정하게 반복되거나, 정기적으로 소폭 상승하는 현금흐름은 등차수열의 개념으로 명확히 설명할 수 있다.


수학 교과서에서 배운 공식이 이렇게 우리의 투자와 연결된다는 사실을 알게 되면, 숫자 계산이 훨씬 더 흥미롭게 다가올 것이다.

작가의 이전글엑셀로 보는 평균의 함정