수학이 돈이 됩니까? (2)

등비수열로 알아보는 복리

by 아빠를 공부하자

돈이 자라는 진짜 엔진, 곱셈(×)


지난 회차에서 우리는 자산을 불려주는 첫 번째 엔진, 더하기(+)를 살펴봤다.


채권이나 월세처럼 원금에 일정 금액이 붙는 구조는 단리, 즉 등차수열로 설명할 수 있었다. 이 방식은 이해하기 쉽고 계산도 간단하다. 매년 똑같은 이자가 나오고, 일정한 속도로 자산이 쌓여간다.


하지만 금융의 세계에서 사람들을 설레게 하고 동시에 긴장하게 만드는 것은 단리가 아니라 복리다.
복리는 돈이 단순히 쌓이는 게 아니라, 마치 언덕 위에서 굴러 내려오는 눈덩이처럼 점점 더 커지며 불어난다.


그리고 이 복리를 수학적으로 설명하는 원리가 바로 등비수열이다.


복리는 왜 곱셉인가?


단리에서는 이자가 원금에만 붙는다.
즉, 원금이 변하지 않고 늘 같은 크기의 이자만 쌓인다.


하지만 복리는 다르다.
원금뿐만 아니라 이자에도 다시 이자가 붙는다.
“돈이 돈을 번다”라는 말이 여기서 나온다.


예를 들어, 1,000만 원을 연 5% 이율로 투자한다고 해보자.


- 1년 뒤: 1,000만 원 × 1.05 = 1,050만 원

- 2년 뒤: 1,050만 원 × 1.05 = 1,102만 5천 원

- 3년 뒤: 1,102만 5천 원 × 1.05 = 1,157만 6천 원

- 10년 뒤: 약 1,628만 원


이처럼 자산이 일정한 배율로 늘어나는 모습은 전형적인 등비수열이다.


ChatGPT Image 2025년 8월 23일 오전 09_19_12.png 현명한 복리활용은 쉬운 자산증식 방법

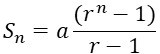
등비수열과 복리 공식


등비수열은 첫 번째 항에 일정한 비율을 계속 곱해 나가는 수열이다.


a = 원금

r = 1+이자율

n = 기간


즉, 복리는 그대로 등비수열로 표현된다.

그리고 n 년 동안의 합을 구할 때는

등비수열공식.jpg

이 공식은 단순히 이자율을 곱하는 것보다 더 직관적으로 복리가 왜 시간이 지날수록 폭발적으로 불어나는가를 보여준다.


단리와 복리의 저울질


앞 회차에서 월세를 매년 일정 금액만큼(10만 원) 인상하는 경우를 등차수열로 설명했었다.

이 경우는 매년 같은 ‘차이’가 생기니 단리 구조다.

그런데 이번에는 매년 일정 비율만큼 인상한다고 가정해 보자.


- 첫해: 100만 원

- 둘째 해: 5% 높아진 105만 원

- 셋째 해: 110만 2천5백 원

...


아래 캡처에 좌측이 지난 회차에 기재한 단리표이고, 우측이 복리표이다.

월세를 100만 원에서 10만 원씩 인상하는 게 꽤 큰 금액이었나 보다. 5% 인상률을 감안해도 단리의 연수익이 계속 높다 28년 차에 겨우 역전한다.

단리복리비교.jpg 단리 인상과 복리인상의 예시 표

하지만 주목해야 할 점, 설명하고 싶었던 점이 100년 차의 월세금액에서 보인다.

단리 인상의 경우도 1년 차 때 월 100만 원이었던 것을 감안하면 100년 차 때 1,090만 원이 된다. 하지만 복리 인상을 보면 똑같이 월 100만 원으로 출발했던 월세금액이 100년 차 때는 무려 약 1억 2,524만 원이 된다. 천만 원대 단위와 1억이 넘는 단위의 차이이다.

ChatGPT Image 2025년 8월 23일 오전 10_52_13.png


장기 임대 계약을 하는 임대인은 등차수열 합공식과 등비수열의 합공식을 활용한다면 보다 더 현명한 결정을 하는데 도움이 될 수 있을 것이다.


복리를 활용하는 자산 증식 전략 (1) - 단기채권 롤오버 전략


이전 회차에서 채권은 대표적인 단리투자 상품이라고 말했지만, 단기채권에 적용한다면 조금 다른 전략실행이 가능하다.

토스뱅크에 보이는 채권/발행어음/RP 상품들

위에 보면 채권이긴 하지만, 5개월, 6개월이 보인다. 이 경우 만기가 지나고 나서 다른 상품으로 갈아탄다면 복리효과를 누리게 되는 것이다. 이것이 단기채권 롤오버 전략이다.


장기채권의 경우 금리를 고정하여 안정적인 수익을 실현할 수 있다는 장점이 있지만, 동시에 돈의 유동성은 없다 봐도 무방하다.


단기채권 활용은 유동성을 확보하고 복리효과를 누릴 수 있는 장점이 있다. 물론 금리 변동성에 민감해지고, 수수료나 세금 등에 장기채권 대비해 불리한 점이 있긴 하다.


100만 원 자본금으로 위 사진에 있는 1년 미만의 채권들을 시간의 흐름을 무시하고, 순서대로 매입하고 만기 정리를 하고 타 채권을 매입하고 만기 정리하는 식의 시나리오를 가정해 보자.


1. 애큐온캐피탈 1년 3.69%

2. 롯데지주 5개월 3.49%

3. 삼성카드 6개월 3.32%

4. 키움패피탈 12일 3.29%

단리계산.jpg 위 계산의 엑셀 계산

713일의 거치기간을 끝으로 100만 원을 투자하여 약 107만원으로 약 7만 원의 투자효과가 있었다. 이것을 단리 금리로 역산에 보면 연에 약 3.59%으로 추정된다.


이런 식으로 안정성이 특징인 채권 상품에 유동성과 복리효과를 부여하는 것이 단기채권 롤오버 전략이다.

ChatGPT Image 2025년 8월 23일 오후 04_22_55.png


복리를 활용하는 자산 증식 전략 (2) - 배당 재투자(DRIP)


배당주나 배당 ETF 투자에 대한 관심이 뜨거워지며 배당 재투자 전략에 대한 설명도 필요하겠다 싶었다.

일정기간 후 분배되는 배당금을 받아 쓰지 않고, 다시 주식을 사면, 다음 해 배당은 더 큰 금액이 된다. 주식 수가 늘어나고, 배당금도 늘어나며, 그 배당으로 또 주식을 사고... 이렇게 반복되는 순환구조가 바로 복리다.


이야말로 돈이 돈 버는 구조라고 말할 수 있겠다.

ChatGPT Image 2025년 8월 23일 오후 04_36_43.png 분명 돈이 돈을 벌게 해야 부자가 된다고 들었다...

아래 미국 월배당 ETF로 유명한 JEPQ라는 종목에 시나리오를 해봤다.


매월 초에 JEPQ를 한화로 10만 원어치 매수하고, 배당을 받자마자 배당수익을 통해 추가 주식을 매입하는 시나리오로 22년 7월부터 25년 6월까지 3년간의 시뮬레이션을 확인해 보았다.

(계산의 편의를 위해 배당수익으로 매수하는 주식도 월초일자의 종가기준으로 확인하였고, 원화환산은 월말주식수를 차월의 환율로 기준하였다)

JEPQ.jpg 3년간 JEPQ 월 10만 원 누적 시뮬레이션

첫월에 배당금을 통해 0.0155개의 주식을 살 수 있었던데 비하면 마지막달에는 0.5043개까지 살 수 있을 만큼 올라왔다. 점점 돈이 돈을 버는 구조가 확실해지는 모습이다.


예시에서는 가격의 등락이라는 변수가 있었기에, 지속적인 수익증가는 아니었지만, 이해를 돕는 예시로 봐주면 좋겠다.


복리의 그림자 - 손실도 복리다


많은 사람이 복리의 장점만 이야기하지만, 사실 복리는 손실에도 똑같이 작동한다.


예를 들어, 100만 원이 10% 손실되면 90만 원이 된다.
이후 다시 10% 이익을 본다면?
90만 원 × 1.1 = 99만 원, 원금이 회복되지 않는다.


반대로 10%를 먼저 벌고 다시 10% 이익을 본다면?

110만 원 X 0.9 = 99만 원, 역시 원금이 회복되지 않는다.


앞서 말한 10% 손실 > 10% 이익의 반복을 A열에, 10% 이익 > 10% 손실의 반복을 B열에 놓아본 엑셀표이다.

10프로.jpg

계속해서 반복하다 보면 결국 0으로 수렴하게 된다.


더 드라마틱하게 본다면 50% 손실을 맞은 후 원금을 회복하려면?

100%의 수익이 필요하다.


즉, 복리는 수익에는 마법처럼 작동하지만, 손실에도 같은 곱셈 원리가 적용되기 때문에 이 곱셈의 무서운 역습을 조심해야 한다.


독자는 지금 자산을 단리의 세계에서 '덧셈'으로 불리고 있는지 아니면 복리의 세계에서 '곱셈'으로 불리고 있나 질문해 보자.


Albert_Einstein_Head_cleaned.jpg

아인슈타인 - "복리야 말로 인간의 가장 위대한 발명이다"

작가의 이전글수학이 돈이 됩니까? (1)